Advances in Biosensors for the Rapid Detection of Marine Biotoxins: Current Status and Future Perspectives
Abstract
1. Introduction
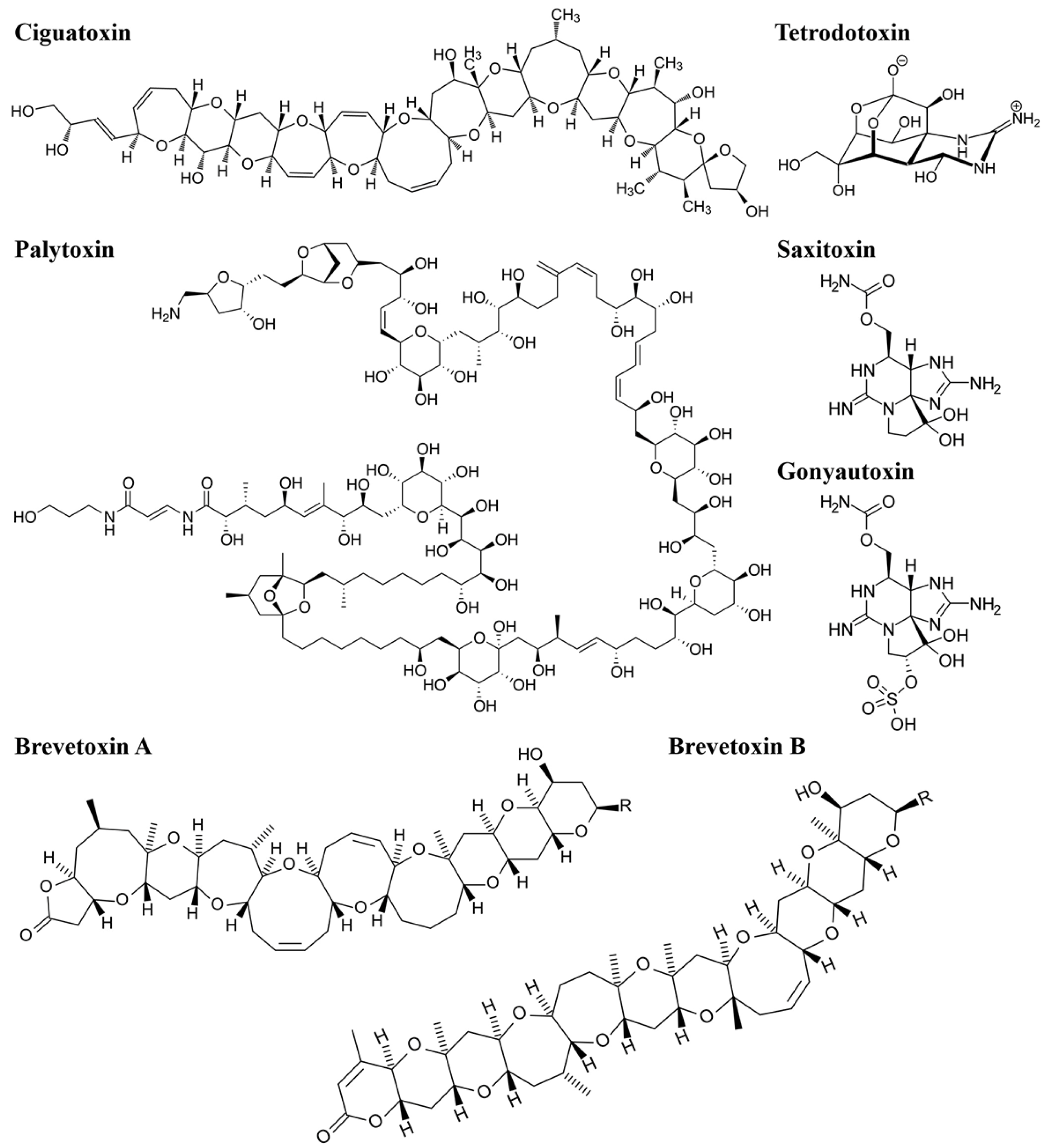
2. Types and Sources of MBs
3. Hazards and Impacts of MBs
4. Development and Application of Biosensors
4.1. Fluorescent Biosensors
4.2. Surface-Enhanced Raman Scattering Biosensors
4.3. Colorimetric Biosensors
4.4. Surface Plasmon Resonance Sensors
4.5. Electrochemical Biosensors
4.6. Piezoelectric Biosensors
5. Conclusions
- (1)
- Miniaturization and portability: There is a growing trend towards the miniaturization and portability of biosensors, enabling the on-site and real-time detection of MBs. This enables the rapid and automated detection of MBs with minimal sample volumes and processing steps, and facilitates field monitoring and early-warning systems for MB outbreaks.
- (2)
- Multiplexed detection: Biosensors capable of multiplexed detection, i.e., detecting multiple toxins simultaneously, are gaining attention. This trend is driven by the need for the comprehensive monitoring of marine environments and reducing analysis time and costs.
- (3)
- Nanotechnology integration: The integration of nanotechnology into biosensor designs allows for enhanced sensitivity and selectivity. Nanomaterials such as nanoparticles and nanocomposites are being explored for improving the performance of biosensors for marine biotoxin detection.
- (4)
- Surface functionalization techniques: Advances in surface functionalization techniques enable the immobilization of biomolecules (e.g., antibodies, aptamers) onto sensor surfaces, enhancing the specificity and stability of biosensors for marine biotoxin detection.
- (5)
- Integration with IoT and data analytics: Biosensors are increasingly being integrated with the Internet of Things (IoT) and data analytics platforms for real-time monitoring and data analysis. This integration enables the continuous surveillance of marine environments and timely responses to toxin events.
- (6)
- Despite these advancements, biosensors for MB detection face challenges such as cross-reactivity, sample matrix interference, standardization and validation issues, as well as concerns regarding field deployment and reliability. Addressing these challenges while capitalizing on emerging trends will drive further advancements in biosensors for the detection of MBs, ultimately contributing to the improved monitoring and management of marine ecosystems and public health.
Author Contributions
Funding
Institutional Review Board Statement
Informed Consent Statement
Conflicts of Interest
References
- Englander, G. Property Rights and the Protection of Global Marine Resources. Nat. Sustain. 2019, 2, 981–987. [Google Scholar] [CrossRef]
- Wightman, E.; Renegar, D.A. The Microscopic Threat with a Macroscopic Impact: Microplastics along the Southeast Florida Reef Tract. Mar. Pollut. Bull. 2023, 191, 114917. [Google Scholar] [CrossRef] [PubMed]
- Liu, Y.; Yu, R.C.; Kong, F.Z.; Li, C.; Dai, L.; Chen, Z.F.; Geng, H.X.; Zhou, M.J. Contamination Status of Lipophilic Marine Toxins in Shellfish Samples from the Bohai Sea, China. Environ. Pollut. 2019, 249, 171–180. [Google Scholar] [CrossRef] [PubMed]
- Otero, P.; Silva, M. Emerging MBs in European Waters: Potential Risks and Analytical Challenges. Mar. Drugs 2022, 20, 199. [Google Scholar] [CrossRef] [PubMed]
- Turnbull, A.; Malhi, N.; Seger, A.; Jolley, J.; Hallegraeff, G.; Fitzgibbon, Q. Accumulation of Paralytic Shellfish Toxins by Southern Rock Lobster Jasus Edwardsii Causes Minimal Impact on Lobster Health. Aquat. Toxicol. 2021, 230, 105704. [Google Scholar] [CrossRef] [PubMed]
- Ruberu, S.R.; Langlois, G.W.; Masuda, M.; Kittredge, C.; Perera, S.K.; Kudela, R.M. Receptor Binding Assay for the Detection of Paralytic Shellfish Poisoning Toxins: Comparison to the Mouse Bioassay and Applicability under Regulatory Use. Food Addit. Contam. Part. A Chem. Anal. Control Expo. Risk Assess. 2018, 35, 144–158. [Google Scholar] [CrossRef] [PubMed]
- Dell’Aversano, C.; Tartaglione, L.; Polito, G.; Dean, K.; Giacobbe, M.; Casabianca, S.; Capellacci, S.; Penna, A.; Turner, A.D. First Detection of Tetrodotoxin and High Levels of Paralytic Shellfish Poisoning Toxins in Shellfish from Sicily (Italy) by Three Different Analytical Methods. Chemosphere 2019, 215, 881–892. [Google Scholar] [CrossRef] [PubMed]
- Costa, C.Q.V.; Afonso, I.I.; Lage, S.; Costa, P.R.; Canário, A.V.M.; Da Silva, J.P. Quantitation Overcoming Matrix Effects of Lipophilic Toxins in Mytilus Galloprovincialis by Liquid Chromatography-Full Scan High Resolution Mass Spectrometry Analysis (LC-HR-MS). Mar. Drugs 2022, 20, 143. [Google Scholar] [CrossRef] [PubMed]
- Wu, H.; Guo, M.; Tan, Z.; Cheng, H.; Li, Z.; Zhai, Y. Liquid Chromatography Quadrupole Linear Ion Trap Mass Spectrometry for Multiclass Screening and Identification of Lipophilic MBs in Bivalve Mollusks. J. Chromatogr. A 2014, 1358, 172–180. [Google Scholar] [CrossRef]
- Eangoor, P.; Indapurkar, A.S.; Vakkalanka, M.D.; Knaack, J.S. Multiplexed ELISA Screening Assay for Nine Paralytic Shellfish Toxins in Human Plasma. Analyst 2019, 144, 4702–4707. [Google Scholar] [CrossRef]
- Du, W.C.; Liao, J.J.; Liu, K.; Zhang, R.R.; Lin, S.W. Organic Electrochemical Transistor Based Biosensor for Detecting Marine Diatoms in Seawater Medium. Sens. Actuators B Chem. 2014, 203, 677–682. [Google Scholar] [CrossRef]
- Shan, W.; Sun, J.; Liu, R.; Xu, W.; Shao, B. Duplexed Aptamer-Isothermal Amplification-Based Nucleic Acid-Templated Copper Nanoparticles for Fluorescent Detection of Okadaic Acid. Sens. Actuators B Chem. 2022, 352, 131035. [Google Scholar] [CrossRef]
- Zhao, Q.; Li, G.; Li, X. Aptamer Sensor Based on Hybrid Chain Reaction and CRISPR-Cas9 System for STX Detection. Chemosensors 2023, 11, 183. [Google Scholar] [CrossRef]
- Cao, C.; Li, P.; Liao, H.; Wang, J.; Tang, X.; Yang, L. Cys-Functionalized AuNP Substrates for Improved Sensing of the Marine Toxin STX by Dynamic Surface-Enhanced Raman Spectroscopy. Anal. Bioanal. Chem. 2020, 412, 4609–4617. [Google Scholar] [CrossRef] [PubMed]
- Juneja, S.; Zhang, B.; Nujhat, N.; Wang, A.X. Quantitative Sensing of Domoic Acid from Shellfish Using Biological Photonic Crystal Enhanced SERS Substrates. Molecules 2022, 27, 8364. [Google Scholar] [CrossRef] [PubMed]
- Ji, Y.; Cai, G.; Liang, C.; Gao, Z.; Lin, W.; Ming, Z.; Feng, S.; Zhao, H. A Microfluidic Immunosensor Based on Magnetic Separation for Rapid Detection of Okadaic Acid in Marine Shellfish. Anal. Chim. Acta 2023, 1239, 340737. [Google Scholar] [CrossRef] [PubMed]
- Li, X.; Cheng, Y.; Xu, R.; Zhang, Z.; Qi, X.; Chen, L.; Zhu, M. A Smartphone-Assisted Microarray Immunosensor Coupled with GO-Based Multi-Stage Signal Amplification Strategy for High-Sensitivity Detection of Okadaic Acid. Talanta 2022, 247, 123567. [Google Scholar] [CrossRef]
- Sassolas, A.; Catanante, G.; Hayat, A.; Marty, J.-L. Development of an Efficient Protein Phosphatase-Based Colorimetric Test for Okadaic Acid Detection. Anal. Chim. Acta 2011, 702, 262–268. [Google Scholar] [CrossRef] [PubMed]
- Fonfría, E.S.; Vilariño, N.; Campbell, K.; Elliott, C.; Haughey, S.A.; Ben-Gigirey, B.; Vieites, J.M.; Kawatsu, K.; Botana, L.M. Paralytic Shellfish Poisoning Detection by Surface Plasmon Resonance-Based Biosensors in Shellfish Matrixes. Anal. Chem. 2007, 79, 6303–6311. [Google Scholar] [CrossRef]
- McCoy, G.R.; McNamee, S.; Campbell, K.; Elliott, C.T.; Fleming, G.T.; Raine, R. Monitoring a Toxic Bloom of Alexandrium Minutum Using Novel Microarray and Multiplex Surface Plasmon Resonance Biosensor Technology. Harmful Algae 2014, 32, 40–48. [Google Scholar] [CrossRef]
- Leonardo, S.; Gaiani, G.; Tsumuraya, T.; Hirama, M.; Turquet, J.; Sagristà, N.; Rambla-Alegre, M.; Flores, C.; Caixach, J.; Diogène, J.; et al. Addressing the Analytical Challenges for the Detection of Ciguatoxins Using an Electrochemical Biosensor. Anal. Chem. 2020, 92, 4858–4865. [Google Scholar] [CrossRef]
- Nelis, J.L.D.; Migliorelli, D.; Mühlebach, L.; Generelli, S.; Stewart, L.; Elliott, C.T.; Campbell, K. Highly Sensitive Electrochemical Detection of the Marine Toxins Okadaic Acid and Domoic Acid with Carbon Black Modified Screen Printed Electrodes. Talanta 2021, 228, 122215. [Google Scholar] [CrossRef] [PubMed]
- Karaseva, N.A.; Farafonova, O.V.; Ermolaeva, T.N. Highly Sensitive Detection of Okadaic Acid in Seafood Products via the Unlabeled Piezoelectric Sensor. Food Anal. Methods 2016, 9, 1495–1501. [Google Scholar] [CrossRef]
- Alvarez, C.; Soto, C.; Cabezas, S.; Alvarado-Mesén, J.; Laborde, R.; Pazos, F.; Ros, U.; Hernández, A.M.; Lanio, M.E. Panorama of the Intracellular Molecular Concert Orchestrated by Actinoporins, Pore-Forming Toxins from Sea Anemones. Toxins 2021, 13, 567. [Google Scholar] [CrossRef] [PubMed]
- Turner, M.W.; Marquart, L.A.; Phillips, P.D.; McDougal, O.M. Mutagenesis of α-Conotoxins for Enhancing Activity and Selectivity for Nicotinic Acetylcholine Receptors. Toxins 2019, 11, 113. [Google Scholar] [CrossRef] [PubMed]
- Wang, B.; Wang, Q.; Wang, C.; Wang, B.; Qiu, L.; Zou, S.; Zhang, F.; Liu, G.; Zhang, L. A Comparative Analysis of the Proteomes and Biological Activities of the Venoms from Two Sea Snakes, Hydrophis Curtus and Hydrophis Cyanocinctus, from Hainan, China. Toxicon 2020, 187, 35–46. [Google Scholar] [CrossRef] [PubMed]
- Guryanova, S.V.; Balandin, S.V.; Belogurova-Ovchinnikova, O.Y.; Ovchinnikova, T.V. Marine Invertebrate Antimicrobial Peptides and Their Potential as Novel Peptide Antibiotics. Mar. Drugs 2023, 21, 503. [Google Scholar] [CrossRef] [PubMed]
- Fu, J.; Liao, Y.; Jin, A.H.; Gao, B. Discovery of Novel Peptide Neurotoxins from Sea Anemone Species. Front. Biosci. (Landmark Ed) 2021, 26, 1256–1273. [Google Scholar] [CrossRef]
- Ghazarossian, V.E.; Schantz, E.J.; Schnoes, H.K.; Strong, F.M. Identification of a Poison in Toxic Scallops from a Gonyaulax Tamarensis Red Tide. Biochem. Biophys. Res. Commun. 1974, 59, 1219–1225. [Google Scholar] [CrossRef]
- Shin, C.; Jo, H.; Kim, S.H.; Kang, G.J. Exposure Assessment to Paralytic Shellfish Toxins through the Shellfish Consumption in Korea. Food Res. Int. 2018, 108, 274–279. [Google Scholar] [CrossRef]
- Wan, X.; Yao, G.; Liu, Y.; Chen, J.; Jiang, H. Research Progress in the Biosynthetic Mechanisms of Marine Polyether Toxins. Mar. Drugs 2019, 17, 594. [Google Scholar] [CrossRef]
- Mondal, A.; Bose, S.; Banerjee, S.; Patra, J.K.; Malik, J.; Mandal, S.K.; Kilpatrick, K.L.; Das, G.; Kerry, R.G.; Fimognari, C.; et al. Marine Cyanobacteria and Microalgae Metabolites-A Rich Source of Potential Anticancer Drugs. Mar. Drugs 2020, 18, 476. [Google Scholar] [CrossRef] [PubMed]
- Álvarez, G.; Uribe, E.; Regueiro, J.; Blanco, J.; Fraga, S. Gonyaulax Taylorii, a New Yessotoxins-Producer Dinoflagellate Species from Chilean Waters. Harmful Algae 2016, 58, 8–15. [Google Scholar] [CrossRef]
- Valdiglesias, V.; Prego-Faraldo, M.V.; Pásaro, E.; Méndez, J.; Laffon, B. Okadaic Acid: More than a Diarrheic Toxin. Mar. Drugs 2013, 11, 4328–4349. [Google Scholar] [CrossRef] [PubMed]
- Noureen, B.; Ullah, N.; Tian, Y.; Du, L.; Chen, W.; Wu, C.; Wang, P. An Electrochemical PAH-Modified Aptasensor for the Label-Free and Highly-Sensitive Detection of Saxitoxin. Talanta 2022, 240, 123185. [Google Scholar] [CrossRef] [PubMed]
- Ramos-Sosa, M.J.; García-Álvarez, N.; Sanchez-Henao, A.; Silva Sergent, F.; Padilla, D.; Estévez, P.; Caballero, M.J.; Martín-Barrasa, J.L.; Gago-Martínez, A.; Diogène, J.; et al. Ciguatoxin Detection in Flesh and Liver of Relevant Fish Species from the Canary Islands. Toxins 2022, 14, 46. [Google Scholar] [CrossRef]
- Liu, S.; Huo, Y.; Deng, S.; Li, G.; Li, S.; Huang, L.; Ren, S.; Gao, Z. A Facile Dual-Mode Aptasensor Based on AuNPs@MIL-101 Nanohybrids for Ultrasensitive Fluorescence and Surface-Enhanced Raman Spectroscopy Detection of Tetrodotoxin. Biosens. Bioelectron. 2022, 201, 113891. [Google Scholar] [CrossRef]
- Gu, H.; Hao, L.; Ye, H.; Ma, P.; Wang, Z. Nuclease-Assisted Target Recycling Signal Amplification Strategy for Graphene Quantum Dot-Based Fluorescent Detection of MBs. Microchim. Acta 2021, 188, 118. [Google Scholar] [CrossRef]
- Huang, G.; Zhou, Y.; Li, F.; Tan, X.; Cai, Z.; Luo, D.; Chen, T.; Zhang, M. An Effective and Reliable Fluorescent Sensor for Selective Detection of Methylamine Gas Based on In-Situ Formation of MAPbBr3 Perovskite Nanocrystals in Electrospun Fibers. Sens. Actuators B Chem. 2021, 347, 130618. [Google Scholar] [CrossRef]
- Cheng, S.; Zheng, B.; Yao, D.; Wang, Y.; Tian, J.; Liu, L.; Liang, H.; Ding, Y. Determination of Saxitoxin by Aptamer-Based Surface-Enhanced Raman Scattering. Anal. Lett. 2019, 52, 902–918. [Google Scholar] [CrossRef]
- Zhao, P.; Liu, H.; Zhu, P.; Ge, S.; Zhang, L.; Zhang, Y.; Yu, J. Multiple Cooperative Amplification Paper SERS Aptasensor Based on AuNPs/3D Succulent-like Silver for Okadaic Acid Quantization. Sens. Actuators B Chem. 2021, 344, 130174. [Google Scholar] [CrossRef]
- Qiang, L.; Zhang, Y.; Guo, X.; Gao, Y.; Han, Y.; Sun, J.; Han, L. A Rapid and Ultrasensitive Colorimetric Biosensor Based on Aptamer Functionalized Au Nanoparticles for Detection of Saxitoxin. RSC Adv. 2020, 10, 15293–15298. [Google Scholar] [CrossRef] [PubMed]
- Zhao, Y.; Li, L.; Ma, R.; Wang, L.; Yan, X.; Qi, X.; Wang, S.; Mao, X. A Competitive Colorimetric Aptasensor Transduced by Hybridization Chain Reaction-Facilitated Catalysis of AuNPs Nanozyme for Highly Sensitive Detection of Saxitoxin. Anal. Chim. Acta 2021, 1173, 338710. [Google Scholar] [CrossRef] [PubMed]
- Patel, K.; Halevi, S.; Melman, P.; Schwartz, J.; Cai, S.; Singh, B. A Novel Surface Plasmon Resonance Biosensor for the Rapid Detection of Botulinum Neurotoxins. Biosensors 2017, 7, 32. [Google Scholar] [CrossRef] [PubMed]
- Yakes, B.J.; Prezioso, S.; Haughey, S.A.; Campbell, K.; Elliott, C.; DeGrasse, S.L. An Improved Immunoassay for Detection of Saxitoxin by Surface Plasmon Resonance Biosensors. Sens. Actuators B Chem. 2011, 156, 805–811. [Google Scholar] [CrossRef]
- McNamee, S.E.; Elliott, C.T.; Delahaut, P.; Campbell, K. Multiplex Biotoxin Surface Plasmon Resonance Method for MBs in Algal and Seawater Samples. Environ. Sci. Pollut. Res. Int. 2013, 20, 6794–6807. [Google Scholar] [CrossRef] [PubMed]
- Ha, S.J.; Park, J.H.; Lee, B.; Kim, M.G. Label-Free Direct Detection of Saxitoxin Based on a Localized Surface Plasmon Resonance Aptasensor. Toxins 2019, 11, 274. [Google Scholar] [CrossRef] [PubMed]
- Jin, X.; Chen, J.; Zeng, X.; Xu, L.; Wu, Y.; Fu, F. A Signal-on Magnetic Electrochemical Immunosensor for Ultra-Sensitive Detection of Saxitoxin Using Palladium-Doped Graphitic Carbon Nitride-Based Non-Competitive Strategy. Biosens. Bioelectron. 2019, 128, 45–51. [Google Scholar] [CrossRef] [PubMed]
- Park, J.A.; Kwon, N.; Park, E.; Kim, Y.; Jang, H.; Min, J.; Lee, T. Electrochemical Biosensor with Aptamer/Porous Platinum Nanoparticle on Round-Type Micro-Gap Electrode for Saxitoxin Detection in Fresh Water. Biosens. Bioelectron. 2022, 210, 114300. [Google Scholar] [CrossRef]
- Zheng, W.; Liu, X.; Li, Q.; Shu, Z.; Li, Z.; Zhang, L. A Simple Electrochemical Aptasensor for Saxitoxin Detection. RSC Adv. 2022, 12, 23801–23807. [Google Scholar] [CrossRef]
- Tian, Y.; Zhu, P.; Chen, Y.; Bai, X.; Du, L.; Chen, W.; Wu, C.; Wang, P. Piezoelectric Aptasensor with Gold Nanoparticle Amplification for the Label-Free Detection of Okadaic Acid. Sens. Actuators B Chem. 2021, 346, 130446. [Google Scholar] [CrossRef]
- Tang, A.X.J.; Pravda, M.; Guilbault, G.G.; Piletsky, S.; Turner, A.P.F. Immunosensor for Okadaic Acid Using Quartz Crystal Microbalance. Anal. Chim. Acta 2002, 471, 33–40. [Google Scholar] [CrossRef]
- Zhang, X.; Fang, J.; Zou, L.; Zou, Y.; Lang, L.; Gao, F.; Hu, N.; Wang, P. A novel sensitive cell-based Love Wave biosensor for marine toxin detection. Biosens. Bioelectron. 2016, 77, 573–579. [Google Scholar] [CrossRef] [PubMed]
- Ramalingam, S.; Hayward, G.L.; Singh, A. A reusable QCR aptasensor for the detection of Brevetoxin-2 in shellfish. Talanta 2021, 233, 122503. [Google Scholar] [CrossRef]









| Classification of Toxins | Major Toxin | Main Sources of Toxins | References |
|---|---|---|---|
| Peptide toxin | Conotoxin, sea anemone peptide toxins, sea serpent toxins | Taro snails, sea anemones, sea snakes | [24,25,26] |
| Polyether toxin | Ciguatoxin, rock sand anemone toxin, nudibranch toxin | Algae of the genus verbascum gangbytis, short nudibranchs, and sand group anemones | [11,27,28] |
| Alkaloid toxin | Tetrodotoxin, saxitoxin, genotoxin | Puffer fish, shellfish, gonyaulax | [29,30] |
Disclaimer/Publisher’s Note: The statements, opinions and data contained in all publications are solely those of the individual author(s) and contributor(s) and not of MDPI and/or the editor(s). MDPI and/or the editor(s) disclaim responsibility for any injury to people or property resulting from any ideas, methods, instructions or products referred to in the content. |
© 2024 by the authors. Licensee MDPI, Basel, Switzerland. This article is an open access article distributed under the terms and conditions of the Creative Commons Attribution (CC BY) license (https://creativecommons.org/licenses/by/4.0/).
Share and Cite
Zhu, X.; Zhao, Y.; Wu, L.; Gao, X.; Huang, H.; Han, Y.; Zhu, T. Advances in Biosensors for the Rapid Detection of Marine Biotoxins: Current Status and Future Perspectives. Biosensors 2024, 14, 203. https://doi.org/10.3390/bios14040203
Zhu X, Zhao Y, Wu L, Gao X, Huang H, Han Y, Zhu T. Advances in Biosensors for the Rapid Detection of Marine Biotoxins: Current Status and Future Perspectives. Biosensors. 2024; 14(4):203. https://doi.org/10.3390/bios14040203
Chicago/Turabian StyleZhu, Xiangwei, Yufa Zhao, Long Wu, Xin Gao, Huang Huang, Yu Han, and Ting Zhu. 2024. "Advances in Biosensors for the Rapid Detection of Marine Biotoxins: Current Status and Future Perspectives" Biosensors 14, no. 4: 203. https://doi.org/10.3390/bios14040203
APA StyleZhu, X., Zhao, Y., Wu, L., Gao, X., Huang, H., Han, Y., & Zhu, T. (2024). Advances in Biosensors for the Rapid Detection of Marine Biotoxins: Current Status and Future Perspectives. Biosensors, 14(4), 203. https://doi.org/10.3390/bios14040203

