APHRODITE: A Compact Lab-on-Chip Biosensor for the Real-Time Analysis of Salivary Biomarkers in Space Missions †
Abstract
1. Introduction
2. System Overview
2.1. Assay Principle
- The reusability of the microfluidic network for multiple successive assays, as MBs can be temporarily captured within the channel during the assay and subsequently removed.
- Versatility, as different target analytes can be consecutively assayed in the same microfluidic network by selecting the appropriate reagents.
- Multiplexing allows for the simultaneous detection of cortisol and DHEA-S in a given oral fluid sample by trapping MBs coated with their respective specific antibody at distinct positions along the microfluidic channel.
2.2. APHRODITE System Design
- A disposable cartridge. It is a removable container with a series of reservoirs to host the reagents connected to fluidic subsystems. The cartridge also includes empty tanks for the introduction of the saliva sample to be analyzed and for the collection of waste solutions at the end of the analysis. The cartridge is 3D printed with a biocompatible material.
- A detection subsystem. It is the core of the system, and it is mainly composed of a glass microfluidic chip, which incorporates two channels made of a combination of medical-grade adhesive, glass substrate, and polymethyl methacrylate (PMMA). The microfluidic chip is comprised of two channels for redundancy; each channel accommodates a volume of 15 µL and exhibits a surface area measuring 245 mm2; the microfluidic connectors, which are at the interface between the inlet/outlet part of the chip and the microfluidic tubes from the fluidic dispensing sub-system, are specifically designed for the system and 3D printed.
- A fluidic dispensing subsystem. The fluidic dispensing subsystem consists of tubing, fluidic connectors, miniaturized solenoid valves, miniaturized pumps, a flowmeter, and other elements necessary for the movement of fluids within the analytical device from the disposable cartridge to the detection subsystem.
- Control electronics and interface. The control and interface electronics are composed by an auxiliary board that deals with the management of the detection and fluidic subsystems for the automatic implementation of the protocol and with the connection to the onboard computer for the storage and transmission of the acquired data.
- Mechanical housing. Its primary functions are to contain the device ergonomically, to keep the detection subsystem in the dark, and to prevent the user from accidentally accessing the internal parts of the device; it includes the slot in which to insert the disposable cartridge and the USB interface.
2.3. APHRODITE Protocol
- Antibody-functionalized MBs (specific for cortisol);
- Antibody-functionalized MBs (specific for DHEA-S);
- Labeled immunoreagent (specific for cortisol);
- Labeled immunoreagent (specific for DHEA-S);
- CL cocktail component A (luminol/enhancer);
- CL cocktail component B (peroxide);
- Accessory solution for washings during the assay procedure;
- Accessory solution for the final washing.
3. Materials and Methods
3.1. Chemicals
3.2. Dual Analytes Assay Procedure
3.3. Integration Test Procedure
4. Results
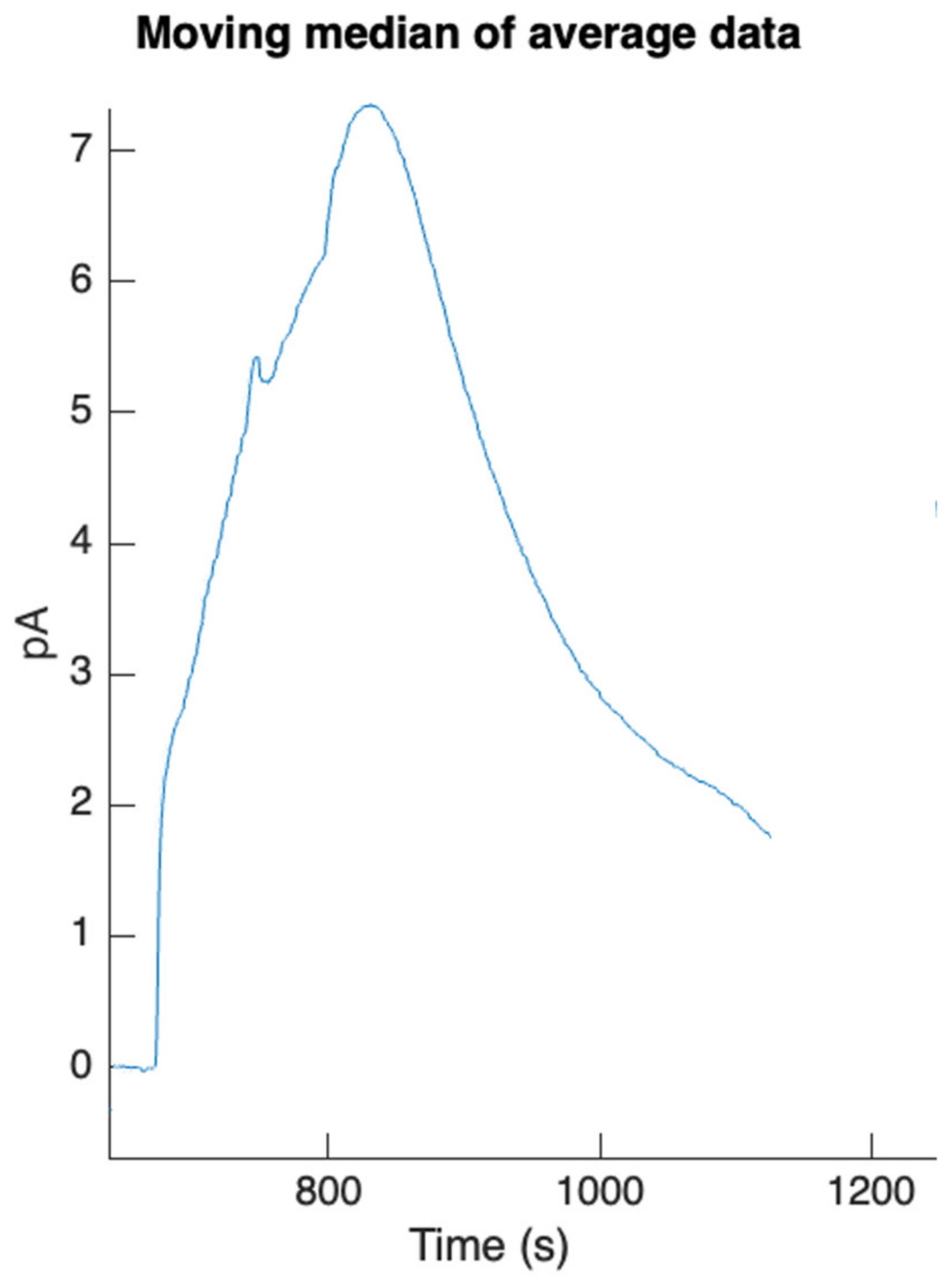
4.1. Dual Analytes Assay Results
4.2. APHRODITE Integration Test Results
5. Conclusions
Author Contributions
Funding
Institutional Review Board Statement
Informed Consent Statement
Data Availability Statement
Conflicts of Interest
Abbreviations
| a-Si:H | Hydrogenated amorphous silicon |
| ABCS | AstroBio CubeSat |
| AUX | Auxiliary |
| CL | Chemiluminescence |
| BSA | Bovine serum albumin |
| DHEA | Dehydroepiandrosterone |
| GUI | Graphic User Interface |
| ISS | International Space Station |
| LEO | Low Earth Orbit |
| LoC | Lab-on-Chip |
| LOD | Limit Of Detection |
| MARIE | Multichannel Array Readout Integrated Environment |
| MB | Microbeads |
| PBS | Phosphate-buffered saline |
| PCB | Printed circuit board |
| PMB | Paramagnetic microbeads |
| PMMA | Polymethyl methacrylate |
| RIE | Reactive Ion Etching |
References
- Roda, A.; Mirasoli, M.; Guardigli, M.; Zangheri, M.; Caliceti, C.; Calabria, D.; Simoni, P. Advanced Biosensors for Monitoring Astronauts’ Health during Long-Duration Space Missions. Biosens. Bioelectron. 2018, 111, 18–26. [Google Scholar] [CrossRef]
- Afshinnekoo, E.; Scott, R.T.; MacKay, M.J.; Pariset, E.; Cekanaviciute, E.; Barker, R.; Gilroy, S.; Hassane, D.; Smith, S.M.; Zwart, S.R.; et al. Fundamental Biological Features of Spaceflight: Advancing the Field to Enable Deep-Space Exploration. Cell 2020, 183, 1162–1184. [Google Scholar] [CrossRef] [PubMed]
- Chancellor, J.C.; Scott, G.B.I.; Sutton, J.P. Space Radiation: The Number One Risk to Astronaut Health beyond Low Earth Orbit. Life 2014, 4, 491–510. [Google Scholar] [CrossRef] [PubMed]
- Barcellos-Hoff, M.H. Cancer as an Emergent Phenomenon in Systems Radiation Biology. Radiat. Environ. Biophys. 2008, 47, 33–38. [Google Scholar] [CrossRef] [PubMed]
- Azzam, E.I.; Jay-Gerin, J.-P.; Pain, D. Ionizing Radiation-Induced Metabolic Oxidative Stress and Prolonged Cell Injury. Cancer Lett. 2012, 327, 48–60. [Google Scholar] [CrossRef] [PubMed]
- Available online: https://www.nasa.gov/hrp/exmc/ (accessed on 29 November 2023).
- Amador, J.R.; Thompson, W.K.; Mindock, J.A.; Urbina, M.O.; McGuire, K.M.; Boley, L.A.; Chavez, H.L.; Rakalina, T.Y.; Lee, E.; Mosher, T.B.; et al. Enabling Space Exploration Medical System Development Using a Tool Ecosystem. In Proceedings of the 2020 IEEE Aerospace Conference, Big Sky, MT, USA, 7–14 March 2020; IEEE: Big Sky, MT, USA, 2020; pp. 1–16. [Google Scholar]
- Wong, S. Diagnostics in Space: Will Zero Gravity Add Weight to New Advances? Expert Rev. Mol. Diagn. 2020, 20, 1–4. [Google Scholar] [CrossRef]
- Horneck, G.; Klaus, D.M.; Mancinelli, R.L. Space Microbiology. Microbiol. Mol. Biol. Rev. 2010, 74, 121–156. [Google Scholar] [CrossRef] [PubMed]
- Bijlani, S.; Stephens, E.; Singh, N.K.; Venkateswaran, K.; Wang, C.C.C. Advances in Space Microbiology. iScience 2021, 24, 102395. [Google Scholar] [CrossRef]
- Huang, B.; Li, D.-G.; Huang, Y.; Liu, C.-T. Effects of Spaceflight and Simulated Microgravity on Microbial Growth and Secondary Metabolism. Mil. Med. Res. 2018, 5, 18. [Google Scholar] [CrossRef]
- Sharma, G.; Curtis, P.D. The Impacts of Microgravity on Bacterial Metabolism. Life 2022, 12, 774. [Google Scholar] [CrossRef]
- Wilson, J.W.; Ott, C.M.; Zu Bentrup, K.H.; Ramamurthy, R.; Quick, L.; Porwollik, S.; Cheng, P.; McClelland, M.; Tsaprailis, G.; Radabaugh, T.; et al. Space Flight Alters Bacterial Gene Expression and Virulence and Reveals a Role for Global Regulator Hfq. Proc. Natl. Acad. Sci. USA 2007, 104, 16299–16304. [Google Scholar] [CrossRef] [PubMed]
- Agha, N.H.; Baker, F.L.; Kunz, H.E.; Spielmann, G.; Mylabathula, P.L.; Rooney, B.V.; Mehta, S.K.; Pierson, D.L.; Laughlin, M.S.; Markofski, M.M.; et al. Salivary Antimicrobial Proteins and Stress Biomarkers Are Elevated during a 6-Month Mission to the International Space Station. J. Appl. Physiol. 2020, 128, 264–275. [Google Scholar] [CrossRef] [PubMed]
- Bezdan, D.; Grigorev, K.; Meydan, C.; Pelissier Vatter, F.A.; Cioffi, M.; Rao, V.; MacKay, M.; Nakahira, K.; Burnham, P.; Afshinnekoo, E.; et al. Cell-Free DNA (CfDNA) and Exosome Profiling from a Year-Long Human Spaceflight Reveals Circulating Biomarkers. iScience 2020, 23, 101844. [Google Scholar] [CrossRef] [PubMed]
- Taylor, G.R.; Konstantinova, I.; Sonnenfeld, G.; Jennings, R. Chapter 1 Changes in the Immune System During and after Spaceflight. In Advances in Space Biology and Medicine; Bonting, S.L., Ed.; Advances in Space Biology and Medicine; Elsevier: Amsterdam, The Netherlands, 1997; Volume 6, pp. 1–32. [Google Scholar]
- Crucian, B.E.; Choukèr, A.; Simpson, R.J.; Mehta, S.; Marshall, G.; Smith, S.M.; Zwart, S.R.; Heer, M.; Ponomarev, S.; Whitmire, A.; et al. Immune system dysregulation during spaceflight: Potential countermeasures for deep space exploration missions. Front. Immunol. 2018, 9, 1437. [Google Scholar] [CrossRef] [PubMed]
- Bilancio, G.; Cavallo, P.; Lombardi, C.; Guarino, E.; Cozza, V.; Giordano, F.; Cirillo, M. Urea and minerals monitoring in space missions by spot samples of saliva and urine. Aerosp. Med. Hum. Perform. 2019, 90, 43–47. [Google Scholar] [CrossRef] [PubMed]
- Urbaniak, C.; Lorenzi, H.; Thissen, J.; Jaing, C.; Crucian, B.; Sams, C.; Pierson, D.; Venkateswaran, K.; Mehta, S. The influence of spaceflight on the astronaut salivary microbiome and the search for a microbiome biomarker for viral reactivation. Microbiome 2020, 8, 56. [Google Scholar] [CrossRef]
- Krieger, S.S.; Zwart, S.R.; Mehta, S.; Wu, H.; Simpson, R.J.; Smith, S.M.; Crucian, B. Alterations in saliva and plasma cytokine concentrations during long-duration spaceflight. Front. Immunol. 2021, 12, 725748. [Google Scholar] [CrossRef]
- Plomariti, C.E.; Frantzidis, C.A.; Dimitriadou, C.; Velana, M.; Nday, C.M.; Chriskos, P.; Chatziioannidis, L.; Ntakakis, G.; Nikolaidou, A.; Gkivogkli, P.T.; et al. Microgravity induced resting state networks and metabolic alterations during sleep onset. Acta Astronaut. 2022, 199, 445–455. [Google Scholar] [CrossRef]
- Gabel, L.; Liphardt, A.M.; Hulme, P.A.; Heer, M.; Zwart, S.R.; Sibonga, J.D.; Smith, S.M.; Boyd, S.K. Pre-flight exercise and bone metabolism predict unloading-induced bone loss due to spaceflight. Br. J. Sports Med. 2022, 56, 196–203. [Google Scholar] [CrossRef]
- Elsaesser, A.; Burr, D.J.; Mabey, P.; Urso, R.G.; Billi, D.; Cockell, C.; Cottin, H.; Kish, A.; Leys, N.; van Loon, J.J.W.A.; et al. Future Space Experiment Platforms for Astrobiology and Astrochemistry Research. npj Microgravity 2023, 9, 43. [Google Scholar] [CrossRef]
- Nelson, E.S. Design Principles for Microfluidic Biomedical Diagnostics in Space. In Biomedical Engineering—From Theory to Applications; IntechOpen: London, UK, 2011; ISBN 9789533076379. [Google Scholar]
- Karouia, F.; Peyvan, K.; Pohorille, A. Toward Biotechnology in Space: High-Throughput Instruments for in Situ Biological Research beyond Earth. Biotechnol. Adv. 2017, 35, 905–932. [Google Scholar] [CrossRef] [PubMed]
- Usov, N.A.; Serebryakova, O.N.; Tarasov, V.P. Interaction Effects in Assembly of Magnetic Nanoparticles. Nanoscale Res. Lett. 2017, 12, 489. [Google Scholar] [CrossRef] [PubMed]
- Burklund, A.; Tadimety, A.; Nie, Y.; Hao, N.; Zhang, J.X.J. Advances in Diagnostic Microfluidics. In Advances in Clinical Chemistry; Elsevier: Amsterdam, The Netherlands, 2020; Volume 95, pp. 1–72. ISBN 9780128211656. [Google Scholar]
- Nascetti, A.; Mirasoli, M.; Marchegiani, E.; Zangheri, M.; Costantini, F.; Porchetta, A.; Iannascoli, L.; Lovecchio, N.; Caputo, D.; De Cesare, G.; et al. Integrated Chemiluminescence-Based Lab-on-Chip for Detection of Life Markers in Extraterrestrial Environments. Biosens. Bioelectron. 2019, 123, 195–203. [Google Scholar] [CrossRef] [PubMed]
- Martinez-Cisneros, C.; Da Rocha, Z.; Seabra, A.; Valdés, F.; Alonso-Chamarro, J. Highly Integrated Autonomous Lab-on-a-Chip Device for on-Line and in Situ Determination of Environmental Chemical Parameters. Lab Chip 2018, 18, 1884–1890. [Google Scholar] [CrossRef] [PubMed]
- Petrucci, G.; Caputo, D.; Lovecchio, N.; Costantini, F.; Legnini, I.; Bozzoni, I.; Nascetti, A.; De Cesare, G. Multifunctional System-on-Glass for Lab-on-Chip Applications. Biosens. Bioelectron. 2017, 93, 315–321. [Google Scholar] [CrossRef] [PubMed]
- Maule, J.; Wainwright, N.; Steele, A.; Monaco, L.; Morris, H.; Gunter, D.; Damon, M.; Wells, M. Rapid Culture-Independent Microbial Analysis Aboard the International Space Station (ISS). Astrobiology 2009, 9, 759–775. [Google Scholar] [CrossRef] [PubMed]
- Dubeau-Laramée, G.; Rivière, C.; Jean, I.; Mermut, O.; Cohen, L.Y. Microflow1, a sheathless fiber-optic flow cytometry biomedical platform: Demonstration onboard the International Space Station. Cytom. Part A 2014, 85, 322–331. [Google Scholar] [CrossRef]
- Castro-Wallace, S.L.; Chiu, C.Y.; John, K.K.; Stahl, S.E.; Rubins, K.H.; McIntyre, A.B.R.; Dworkin, J.P.; Lupisella, M.L.; Smith, D.J.; Botkin, D.J.; et al. Nanopore DNA Sequencing and Genome Assembly on the International Space Station. Sci. Rep. 2017, 7, 18022. [Google Scholar] [CrossRef]
- Zangheri, M.; Mirasoli, M.; Guardigli, M.; Di Nardo, F.; Anfossi, L.; Baggiani, C.; Simoni, P.; Benassai, M.; Roda, A. Chemiluminescence-Based Biosensor for Monitoring Astronauts’ Health Status during Space Missions: Results from the International Space Station. Biosens. Bioelectron. 2019, 129, 260–268. [Google Scholar] [CrossRef]
- Calabria, D.; Trozzi, I.; Lazzarini, E.; Pace, A.; Zangheri, M.; Iannascoli, L.; Maipan Davis, N.; Gosikere Matadha, S.S.; Baratto De Albuquerque, T.; Pirrotta, S.; et al. AstroBio-CubeSat: A Lab-in-Space for Chemiluminescence-Based Astrobiology Experiments. Biosens. Bioelectron. 2023, 226, 115110. [Google Scholar] [CrossRef]
- Chandnani, K.; Rajput, N.; Jadav, T.; Pillai, M.; Dhakne, P.; Tekade, R.K.; Sengupta, P. Technological advancement and current standing of microfluidic chip based devices for targeted analysis of biomarkers. Microchem. J. 2023, 195, 109532. [Google Scholar] [CrossRef]
- Nardi, L.; Maipan Davis, N.; Sansolini, S.; De Albuquerque, T.B.; Laarraj, M.; Caputo, D.; de Cesare, G.; Shariati Pour, S.R.; Zangheri, M.; Calabria, D.; et al. APHRODITE: Design and preliminary tests of an autonomous and reusable photo-sensing device for immunological test aboard the International Space Station. In Proceedings of the SEIA 2023 Conference, Funchal, Portugal, 20–22 September 2023. [Google Scholar]
- Khizar, S.; Ben Halima, H.; Ahmad, N.M.; Zine, N.; Erachid, A.; Elaissari, A. Magnetic Nanoparticles in Microfluidic and Sensing: From Transport to Detection. Electrophoresis 2020, 41, 1206–1224. [Google Scholar] [CrossRef]
- Li, J.W.; Liu, Q.J.; Wan, Y.P.; Wu, X.S.; Yang, Y.; Zhao, R.X.; Chen, E.N.; Cheng, X.Y.; Du, M.H. Rapid detection of trace Salmonella in milk and chicken by immunomagnetic separation in combination with a chemiluminescence microparticle immunoassay. Anal. Bioanal. Chem. 2019, 411, 6067–6080. [Google Scholar] [CrossRef]
- Lazzarini, E.; Pace, A.; Trozzi, I.; Zangheri, M.; Guardigli, M.; Calabria, D.; Mirasoli, M. An origami paper-based biosensor for allergen detection by chemiluminescence immunoassay on magnetic microbeads. Biosensors 2022, 12, 825. [Google Scholar] [CrossRef]
- Choi, J.-W.; Oh, K.W.; Thomas, J.H.; Heineman, W.R.; Halsall, H.B.; Nevin, J.H.; Helmicki, A.J.; Henderson, H.T.; Ahn, C.H. An Integrated Microfluidic Biochemical Detection System for Protein Analysis with Magnetic Bead-Based Sampling Capabilities. Lab Chip 2002, 2, 27–30. [Google Scholar] [CrossRef] [PubMed]
- Gijs, M.A.M.; Lacharme, F.; Lehmann, U. Microfluidic Applications of Magnetic Particles for Biological Analysis and Catalysis. Chem. Rev. 2010, 110, 1518–1563. [Google Scholar] [CrossRef] [PubMed]
- Feng, Z.; Zhi, S.; Guo, L.; Zhou, Y.; Lei, C. An Integrated Magnetic Microfluidic Chip for Rapid Immunodetection of the Prostate Specific Antigen Using Immunomagnetic Beads. Microchim. Acta 2019, 186, 252. [Google Scholar] [CrossRef] [PubMed]
- Mirasoli, M.; Nascetti, A.; Caputo, D.; Zangheri, M.; Scipinotti, R.; Cevenini, L.; de Cesare, G.; Roda, A. Multiwell cartridge with integrated array of amorphous silicon photosensors for chemiluminescence detection: Development, characterization and comparison with cooled-CCD luminograph. Anal. Bioanal. Chem. 2014, 406, 5645–5656. [Google Scholar] [CrossRef] [PubMed]
- Caputo, D.; de Cesare, G.; Dolci, L.S.; Mirasoli, M.; Nascetti, A.; Roda, A.; Scipinotti, R. Microfluidic chip with integrated a-Si: H photodiodes for chemiluminescence-based bioassays. IEEE Sens. J. 2013, 13, 2595–2602. [Google Scholar] [CrossRef]
- Stenzel, C. Deployment of precise and robust sensors on board ISS—For scientific experiments and for operation of the station. Anal. Bioanal. Chem. 2016, 408, 6517–6536. [Google Scholar] [CrossRef]
- NASA Payload Developers and Principal Investigators Payload Planning, Integration and Operations Primer. 2010. Available online: https://explorers.larc.nasa.gov/HPSMEX/MO/pdf_files/ISS-External-Payload-Proposers-Guide.pdf (accessed on 29 November 2023).
- Kodaira, S.; Naito, M.; Uchihori, Y.; Hashimoto, H.; Yano, H.; Yamagishi, A. Space Radiation Dosimetry at the Exposure Facility of the International Space Station for the Tanpopo Mission. Astrobiology 2021, 21, 1473–1478. [Google Scholar] [CrossRef] [PubMed]
- Zhang, S.; Wimmer-Schweingruber, R.F.; Yu, J.; Wang, C.; Fu, Q.; Zou, Y.; Sun, Y.; Wang, C.; Hou, D.; Böttcher, S.I.; et al. First Measurements of the Radiation Dose on the Lunar Surface. Sci. Adv. 2020, 6, eaaz1334. [Google Scholar] [CrossRef]
- Li, W.; Hudson, M.K. Earth’s Van Allen Radiation Belts: From Discovery to the Van Allen Probes Era. JGR Space Phys. 2019, 124, 8319–8351. [Google Scholar] [CrossRef]
- Fereja, T.H.; Hymete, A.; Gunasekaran, T. A Recent Review on Chemiluminescence Reaction, Principle and Application on Pharmaceutical Analysis. ISRN Spectrosc. 2013, 2013, 230858. [Google Scholar] [CrossRef]












Disclaimer/Publisher’s Note: The statements, opinions and data contained in all publications are solely those of the individual author(s) and contributor(s) and not of MDPI and/or the editor(s). MDPI and/or the editor(s) disclaim responsibility for any injury to people or property resulting from any ideas, methods, instructions or products referred to in the content. |
© 2024 by the authors. Licensee MDPI, Basel, Switzerland. This article is an open access article distributed under the terms and conditions of the Creative Commons Attribution (CC BY) license (https://creativecommons.org/licenses/by/4.0/).
Share and Cite
Nardi, L.; Davis, N.M.; Sansolini, S.; Baratto de Albuquerque, T.; Laarraj, M.; Caputo, D.; de Cesare, G.; Shariati Pour, S.R.; Zangheri, M.; Calabria, D.; et al. APHRODITE: A Compact Lab-on-Chip Biosensor for the Real-Time Analysis of Salivary Biomarkers in Space Missions. Biosensors 2024, 14, 72. https://doi.org/10.3390/bios14020072
Nardi L, Davis NM, Sansolini S, Baratto de Albuquerque T, Laarraj M, Caputo D, de Cesare G, Shariati Pour SR, Zangheri M, Calabria D, et al. APHRODITE: A Compact Lab-on-Chip Biosensor for the Real-Time Analysis of Salivary Biomarkers in Space Missions. Biosensors. 2024; 14(2):72. https://doi.org/10.3390/bios14020072
Chicago/Turabian StyleNardi, Lorenzo, Nithin Maipan Davis, Serena Sansolini, Thiago Baratto de Albuquerque, Mohcine Laarraj, Domenico Caputo, Giampiero de Cesare, Seyedeh Rojin Shariati Pour, Martina Zangheri, Donato Calabria, and et al. 2024. "APHRODITE: A Compact Lab-on-Chip Biosensor for the Real-Time Analysis of Salivary Biomarkers in Space Missions" Biosensors 14, no. 2: 72. https://doi.org/10.3390/bios14020072
APA StyleNardi, L., Davis, N. M., Sansolini, S., Baratto de Albuquerque, T., Laarraj, M., Caputo, D., de Cesare, G., Shariati Pour, S. R., Zangheri, M., Calabria, D., Guardigli, M., Balsamo, M., Carrubba, E., Carubia, F., Ceccarelli, M., Ghiozzi, M., Popova, L., Tenaglia, A., Crisconio, M., ... Mirasoli, M. (2024). APHRODITE: A Compact Lab-on-Chip Biosensor for the Real-Time Analysis of Salivary Biomarkers in Space Missions. Biosensors, 14(2), 72. https://doi.org/10.3390/bios14020072

