Biological Recognition-Based Electrochemical Aptasensor for Point-of-Care Detection of cTnI
Abstract
1. Introduction
2. Materials and Methods
2.1. Materials and Reagents
2.2. Apparatus
2.3. Fabrication and Evaluation of Electrochemical Aptasensor
2.4. Construction of POCT Electrochemical System for cTnI Detection
3. Results
3.1. Fabrication and Characterization of SPCE-HFGNs
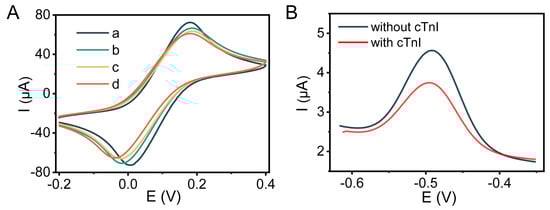
3.2. Feasibility of the Electrochemical Aptasensor
3.3. Detection Performance of the Electrochemical Aptasensor
| Electrode | Dynamic Range (ng/mL) | LOD (pg/mL) | Ref. |
|---|---|---|---|
| P2-SH/Au | 0.5–100 | 40 | [10] |
| DNA nanotetrahedron-Apt/SPGE | 0.05–100 | 16 | [33] |
| Ab/WNFs/GCE | 0.5–2 | 40 | [34] |
| Apt-SH/ND-Au | 0.05–500 | 8 | [35] |
| Apt-SH/SPCE-AuNPs | 0.024–2.4 | 24 | [23] |
| Ab1/Au | 0.005–10 | 1.7 | [36] |
| MB-Apt-SH/SPCE-HFGNs | 0.01–100 | 8.46 | This work |
3.4. Application of the Electrochemical Aptasensor in Serum Samples
3.5. Fully Integrated Handheld cTnI-Sensing Device
4. Conclusions
Supplementary Materials
Author Contributions
Funding
Institutional Review Board Statement
Informed Consent Statement
Data Availability Statement
Conflicts of Interest
References
- Bavia, L.; Lidani, K.C.F.; Andrade, F.A.; Sobrinho, M.I.A.H.; Nisihara, R.M.; de Messias-Reason, I.J. Complement Activation in Acute Myocardial Infarction: An Early Marker of Inflammation and Tissue Injury? Immunol. Lett. 2018, 200, 18–25. [Google Scholar] [CrossRef] [PubMed]
- Moeller, A.L.; Mills, E.H.A.; Gnesin, F.; Zylyftari, N.; Folke, F.; Lippert, F.K.; Torp-Pedersen, C. Symptom Presentation of Acute Myocardial Infarction—Can We Correctly Identify Patients with Atypical Symptoms of Myocardial Infarctions over the Phone? Eur. Heart J. 2020, 41, 1830. [Google Scholar] [CrossRef]
- Miranda, D.F.; Lobo, A.S.; Walsh, B.; Sandoval, Y.; Smith, S.W. New Insights into the Use of the 12-Lead Electrocardiogram for Diagnosing Acute Myocardial Infarction in the Emergency Department. Can. J. Cardiol. 2018, 34, 132–145. [Google Scholar] [CrossRef]
- Brady, W.J.; Perron, A.D.; Ullman, E.A.; Syverud, S.A.; Holstege, C.; Riviello, R.; Ghammaghami, C. Electrocardiographic ST Segment Elevation: A Comparison of AMI and Non-AMI ECG Syndromes. Am. J. Emerg. Med. 2002, 20, 609–612. [Google Scholar] [CrossRef] [PubMed]
- Lehmacher, J.; Neumann, J.T.; Sörensen, N.A.; Goßling, A.; Haller, P.M.; Hartikainen, T.S.; Clemmensen, P.; Zeller, T.; Blankenberg, S.; Westermann, D. Predictive Value of Serial Ecgs in Patients with Suspected Myocardial Infarction. J. Clin. Med. 2020, 9, 2303. [Google Scholar] [CrossRef]
- Katrukha, I.A.; Katrukha, A.G. Myocardial Injury and the Release of Troponins I and T in the Blood of Patients. Clin. Chem. 2021, 67, 124–130. [Google Scholar] [CrossRef]
- Hasić, S.; Kiseljaković, E.; Jadrić, R.; Radovanović, J.; Winterhalter-Jadrić, M. Cardiac Troponin I: The Gold Standard in Acute Myocardial Infarction Diagnosis. Biomol. Biomed. 2003, 3, 41–44. [Google Scholar] [CrossRef]
- Boeckel, J.-N.; Palapies, L.; Klotsche, J.; Zeller, T.; von Jeinsen, B.; Perret, M.F.; Kleinhaus, S.L.; Pieper, L.; Tzikas, S.; Leistner, D.; et al. Adjusted Troponin I for Improved Evaluation of Patients with Chest Pain. Sci. Rep. 2018, 8, 8087. [Google Scholar] [CrossRef]
- Han, X.; Li, S.; Peng, Z.; Othman, A.M.; Leblanc, R. Recent Development of Cardiac Troponin I Detection. ACS Sens. 2016, 1, 106–114. [Google Scholar] [CrossRef]
- Lang, M.; Luo, D.; Yang, G.; Mei, Q.; Feng, G.; Yang, Y.; Liu, Z.; Chen, Q.; Wu, L. An Ultrasensitive Electrochemical Sensing Platform for the Detection of cTnI Based on Aptamer Recognition and Signal Amplification Assisted by TdT. RSC Adv. 2020, 10, 36396–36403. [Google Scholar] [CrossRef]
- Yuan, Z.; Wang, L.; Chen, J.; Su, W.; Li, A.; Su, G.; Liu, P.; Zhou, X. Electrochemical Strategies for the Detection of cTnI. Analyst 2021, 146, 5474–5495. [Google Scholar] [CrossRef]
- Chen, H.; Li, Z.; Chen, J.; Yu, H.; Zhou, W.; Shen, F.; Chen, Q.; Wu, L. CRISPR/Cas12a-Based Electrochemical Biosensor for Highly Sensitive Detection of cTnI. Bioelectrochemistry 2022, 146, 108167. [Google Scholar] [CrossRef]
- Lee, T.; Chen, L.; Wang, E.; Wang, C.; Lin, Y.; Chen, W. Development of an Electrochemical Immunosensor for Detection of Cardiac Troponin I at the Point-of-Care. Biosensors 2021, 11, 210. [Google Scholar] [CrossRef]
- Cheng, D.; Zhou, Z.; Shang, S.; Wang, H.; Guan, H.; Yang, H.; Liu, Y. Electrochemical Immunosensor for Highly Sensitive Detection of cTnI Via in-Situ Initiated Rop Signal Amplification Strategy. Anal. Chim. Acta 2022, 1219, 340032. [Google Scholar] [CrossRef]
- Zhang, T.; Ma, N.; Ali, A.; Wei, Q.; Wu, D.; Ren, X. Electrochemical Ultrasensitive Detection of Cardiac Troponin I Using Covalent Organic Frameworks for Signal Amplification. Biosens. Bioelectron. 2018, 119, 176–181. [Google Scholar] [CrossRef] [PubMed]
- Wang, Z.; Zhao, H.; Chen, K.; Li, H.; Lan, M. Sandwich-Type Electrochemical Aptasensor Based on Hollow Mesoporous Carbon Spheres Loaded with Porous Dendritic Pd@Pt Nanoparticles as Signal Amplifier for Ultrasensitive Detection of Cardiac Troponin I. Anal. Chim. Acta 2021, 1188, 339202. [Google Scholar] [CrossRef]
- Marrazza, G. Aptamer Sensors. Biosensors 2017, 7, 5. [Google Scholar] [CrossRef]
- Xiao, Y.; Lai, R.Y.; Plaxco, K.W. Preparation of Electrode-Immobilized, Redox-Modified Oligonucleotides for Electrochemical DNA and Aptamer-Based Sensing. Nat. Protoc. 2007, 2, 2875–2880. [Google Scholar] [CrossRef]
- Sun, D.; Lin, X.; Lu, J.; Wei, P.; Luo, Z.; Lu, X.; Chen, Z.; Zhang, L. DNA Nanotetrahedron-Assisted Electrochemical Aptasensor for Cardiac Troponin I Detection Based on the Co-Catalysis of Hybrid Nanozyme, Natural Enzyme and Artificial Dnazyme. Biosens. Bioelectron. 2019, 142, 111578. [Google Scholar] [CrossRef]
- Han, Y.; Su, X.; Fan, L.; Liu, Z.; Guo, Y. Electrochemical Aptasensor for Sensitive Detection of Cardiac Troponin I Based on CuNWs/MoS2/rGO Nanocomposite. Microchem. J. 2021, 169, 106598. [Google Scholar] [CrossRef]
- Song, Z.; Song, J.; Gao, F.; Chen, X.; Wang, Q.; Zhao, Y.; Huang, X.; Yang, C.; Wang, Q. Novel Electroactive Ferrocene-Based Covalent Organic Frameworks Towards Electrochemical Label-Free Aptasensors for the Detection of Cardiac Troponin I. Sens. Actuators B Chem. 2022, 368, 132205. [Google Scholar] [CrossRef]
- Mokhtari, Z.; Khajehsharifi, H.; Hashemnia, S.; Solati, Z.; Azimpanah, R.; Shahrokhian, S. Evaluation of Molecular Imprinted Polymerized Methylene Blue/Aptamer as a Novel Hybrid Receptor for Cardiac Troponin I (cTnI) Detection at Glassy Carbon Electrodes Modified with New Biosynthesized Znonps. Sens. Actuators B Chem. 2020, 320, 128316. [Google Scholar] [CrossRef]
- Jo, H.; Her, J.; Lee, H.; Shim, Y.-B.; Ban, C. Highly Sensitive Amperometric Detection of Cardiac Troponin I Using Sandwich Aptamers and Screen-Printed Carbon Electrodes. Talanta 2017, 165, 442–448. [Google Scholar] [CrossRef] [PubMed]
- Li, M.; Li, Y.; Li, D.; Long, Y. Recent Developments and Applications of Screen-Printed Electrodes in Environmental Assays—A Review. Anal. Chim. Acta 2012, 734, 31–44. [Google Scholar] [CrossRef]
- Venge, P.; van Lippen, L.; Blaschke, S.; Christ, M.; Geier, F.; Giannitsis, E.; Hagström, E.; Hausfater, P.; Khellaf, M.; Mair, J.; et al. Equal clinical performance of a novel point-of-care cardiac troponin I (cTnI) assay with a commonly used high-sensitivity cTnI assay. Clin. Chim. Acta 2017, 469, 119–125. [Google Scholar] [CrossRef] [PubMed]
- Su, S.; Wu, Y.; Zhu, D.; Chao, J.; Liu, X.; Wan, Y.; Su, Y.; Zuo, X.; Fan, C.; Wang, L. On-Electrode Synthesis of Shape-Controlled Hierarchical Flower-Like Gold Nanostructures for Efficient Interfacial DNA Assembly and Sensitive Electrochemical Sensing of Microrna. Small 2016, 12, 3794–3801. [Google Scholar] [CrossRef]
- Wan, L.; Ma, J.; Yi, J.; Dong, Y.; Niu, R.; Su, Y.; Li, Q.; Zhu, D.; Chao, J.; Su, S.; et al. CRISPR-empowered hybridization chain reaction amplification for an attomolar electrochemical sensor. Chem. Commun. 2022, 58, 8826–8829. [Google Scholar] [CrossRef]
- Xu, X.; Makaraviciute, A.; Kumar, S.; Wen, C.; Sjödin, M.; Abdurakhmanov, E.; Danielson, U.H.; Nyholm, L.; Zhang, Z. Structural Changes of Mercaptohexanol Self-Assembled Monolayers on Gold and Their Influence on Impedimetric Aptamer Sensors. Anal. Chem. 2019, 91, 14697–14704. [Google Scholar] [CrossRef]
- Lazanas, A.C.; Prodromidis, M.I. Electrochemical Impedance Spectroscopy─a Tutorial. ACS Meas. Sci. Au 2023, 3, 162–193. [Google Scholar] [CrossRef]
- Pei, Y.; Che, H.; Yu, H.; Min, C.; Hsin, L.; Shey, L.; Chih, L. A Device Design of an Integrated CMOS Poly-Silicon Biosensor-on-Chip to Enhance Performance of Biomolecular Analytes in Serum Samples. Biosens. Bioelectron. 2014, 61, 112–118. [Google Scholar]
- Fathil, M.F.M.; Arshad, M.M.; Gopinath, S.C.; Hashim, U.; Adzhri, R.; Ayub, R.; Ruslinda, A.; Nuzaihan, M.; Azman, A.; Zaki, M.; et al. Diagnostics on acute myocardial infarction: Cardiac troponin biomarkers. Biosens. Bioelectron. 2015, 70, 209–220. [Google Scholar] [CrossRef]
- Agewall, S.; Giannitsis, E.; Jernberg, T.; Katus, H. Troponin Elevation in Coronary Vs. Non-Coronary Disease. Eur. Heart J. 2011, 32, 404–411. [Google Scholar] [CrossRef]
- Sun, D.; Luo, Z.; Lu, J.; Zhang, S.; Che, T.; Chen, Z.; Zhang, L. Electrochemical Dual-Aptamer-Based Biosensor for Nonenzymatic Detection of Cardiac Troponin I by Nanohybrid Electrocatalysts Labeling Combined with DNA Nanotetrahedron Structure. Biosens. Bioelectron. 2019, 134, 49–56. [Google Scholar] [CrossRef]
- Rezaei, B.; Shoushtari, A.M.; Rabiee, M.; Uzun, L.; Mak, W.C.; Turner, A.P.F. An Electrochemical Immunosensor for Cardiac Troponin I Using Electrospun Carboxylated Multi-Walled Carbon Nanotube-Whiskered Nanofibres. Talanta 2018, 182, 178–186. [Google Scholar] [CrossRef]
- Negahdary, M.; Behjati-Ardakani, M.; Sattarahmady, N.; Yadegari, H.; Heli, H. Electrochemical Aptasensing of Human Cardiac Troponin I Based on an Array of Gold Nanodumbbells-Applied to Early Detection of Myocardial Infarction. Sens. Actuators B Chem. 2017, 252, 62–71. [Google Scholar] [CrossRef]
- Feng, S.; Yan, M.; Xue, Y.; Huang, J.; Yang, X. Electrochemical Immunosensor for Cardiac Troponin I Detection Based on Covalent Organic Framework and Enzyme-Catalyzed Signal Amplification. Anal. Chem. 2021, 93, 13572–13579. [Google Scholar] [CrossRef]






Disclaimer/Publisher’s Note: The statements, opinions and data contained in all publications are solely those of the individual author(s) and contributor(s) and not of MDPI and/or the editor(s). MDPI and/or the editor(s) disclaim responsibility for any injury to people or property resulting from any ideas, methods, instructions or products referred to in the content. |
© 2023 by the authors. Licensee MDPI, Basel, Switzerland. This article is an open access article distributed under the terms and conditions of the Creative Commons Attribution (CC BY) license (https://creativecommons.org/licenses/by/4.0/).
Share and Cite
Ma, J.; Feng, L.; Li, J.; Zhu, D.; Wang, L.; Su, S. Biological Recognition-Based Electrochemical Aptasensor for Point-of-Care Detection of cTnI. Biosensors 2023, 13, 746. https://doi.org/10.3390/bios13070746
Ma J, Feng L, Li J, Zhu D, Wang L, Su S. Biological Recognition-Based Electrochemical Aptasensor for Point-of-Care Detection of cTnI. Biosensors. 2023; 13(7):746. https://doi.org/10.3390/bios13070746
Chicago/Turabian StyleMa, Jianfeng, Lin Feng, Jie Li, Dan Zhu, Lianhui Wang, and Shao Su. 2023. "Biological Recognition-Based Electrochemical Aptasensor for Point-of-Care Detection of cTnI" Biosensors 13, no. 7: 746. https://doi.org/10.3390/bios13070746
APA StyleMa, J., Feng, L., Li, J., Zhu, D., Wang, L., & Su, S. (2023). Biological Recognition-Based Electrochemical Aptasensor for Point-of-Care Detection of cTnI. Biosensors, 13(7), 746. https://doi.org/10.3390/bios13070746

