An Update on the Use of Natural Pigments and Pigment Nanoparticle Adducts for Metal Detection Based on Colour Response
Abstract
1. Introduction
2. Natural Pigments for Metal Detection
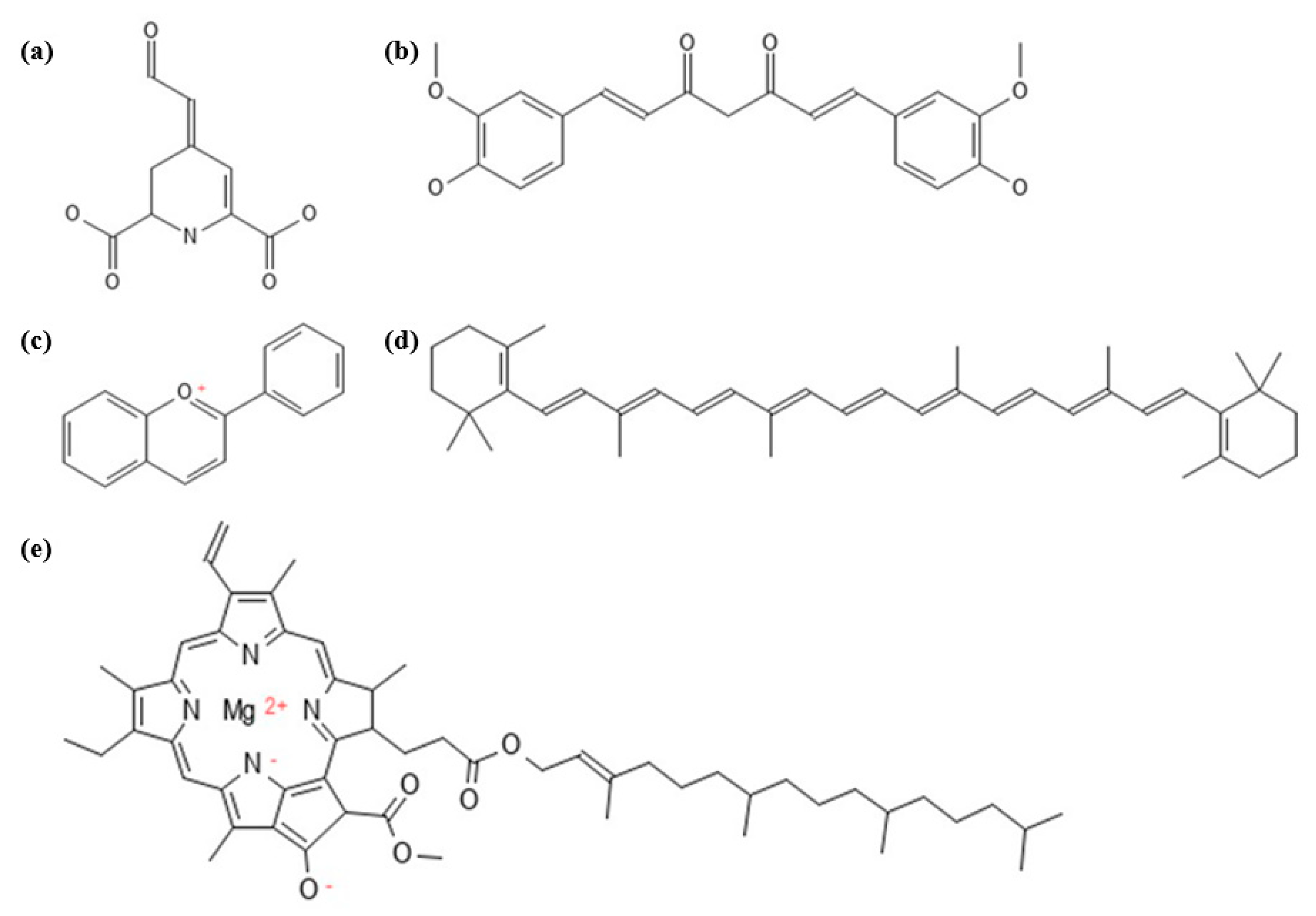
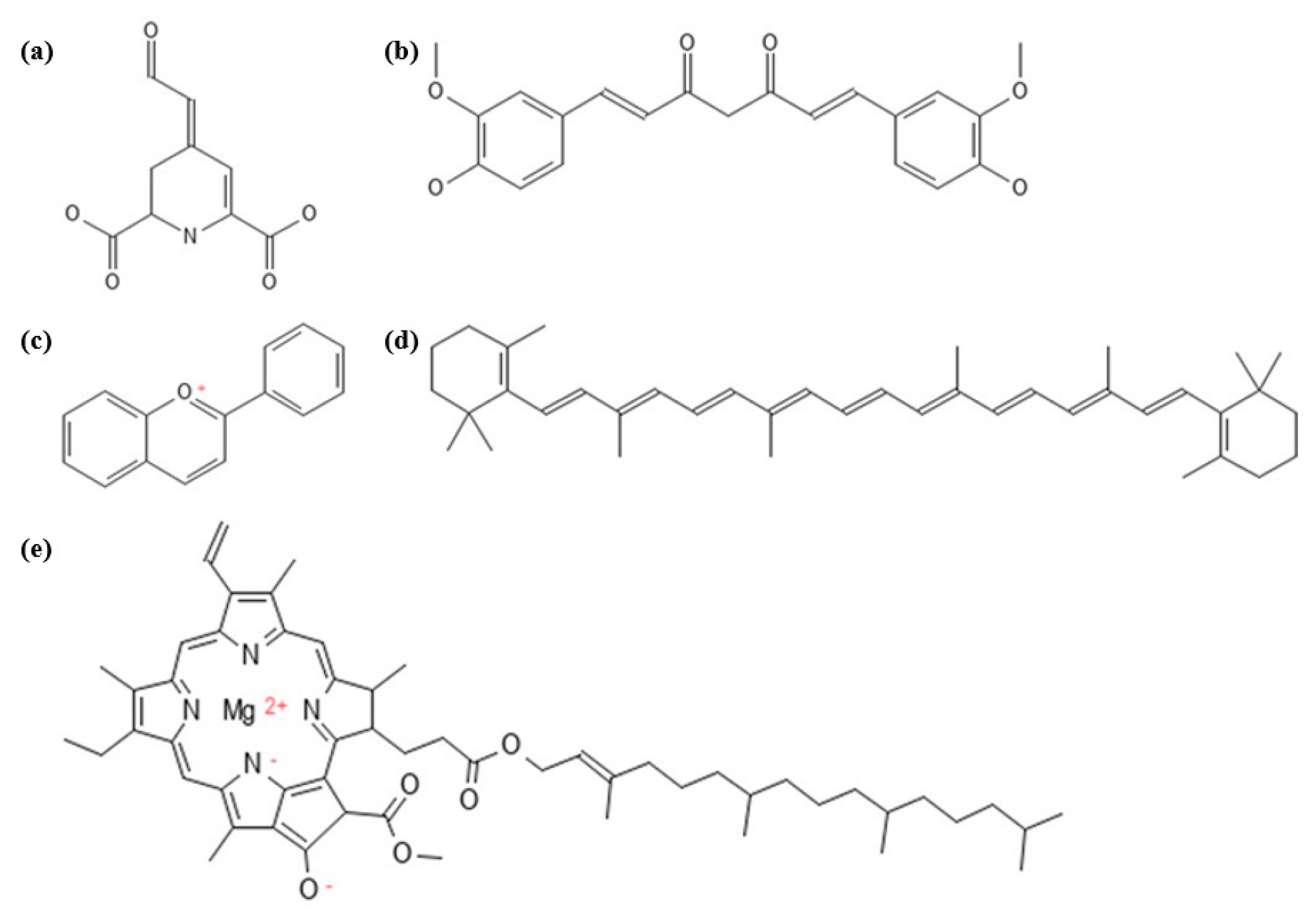
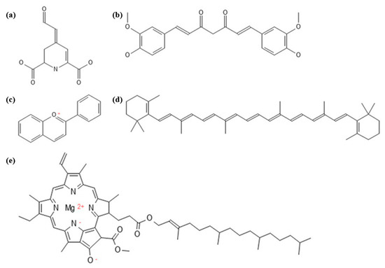
3. Betalains
4. Curcuminoids
5. Anthocyanin
6. Carotenoids and Chlorophyll
| Pigment | Sample | Metal Selectivity | Colour Change | Stability | Limit of Detection | References | |
|---|---|---|---|---|---|---|---|
| Real | Synthetic | ||||||
| Cell-bound carotenoid extracted from Daucus carota | Not tested | Cu/Zn/Pb solution added into media containing cell suspension | Cu2+ | Increased absorbance | Maximum optical density at 40 min of exposure | 0.157 µM (instrument measurement) | [32] |
| Zn2+ | Increased absorbance | Maximum optical density at 40 min of exposure | 0.153 µM (instrument measurement) | ||||
| Pb2+ | Increased absorbance | Maximum optical density at 40 min of exposure | 0.048 µM (instrument measurement) | ||||
| Chlorophyll-based silver nanoparticle (mint leaf extracts) | River water with pre-treatment of filtration | Hg2+ solution in ultrapure water | Hg2+ | Brown to light brown or colourless | Not tested | 2.7 µM (spectrophotometer UV-Vis), 60 µM (visual) | [117] |
7. Comparative Result of Metal Detector Using Natural Pigments
8. Conclusions
Author Contributions
Funding
Institutional Review Board Statement
Informed Consent Statement
Data Availability Statement
Acknowledgments
Conflicts of Interest
References
- Fliszar, K.A.; Walker, D.; Allain, L. Profiling of Metal Ions Leached from Pharmaceutical Packaging Materials. PDA J. Pharm. Sci. Technol. 2006, 60, 337–342. [Google Scholar] [PubMed]
- Pohl, H.R.; Wheeler, J.S.; Murray, H.E. Sodium and Potassium in Health and Disease. In Metal Ions in Life Sciences; Springer: London, UK, 2013; Volume 13, pp. 29–47. [Google Scholar]
- Baker, W.L. Treating Arrhythmias with Adjunctive Magnesium: Identifying Future Research Directions. Eur. Heart J. Cardiovasc. Pharmacother. 2016, 3, pvw028. [Google Scholar] [CrossRef] [PubMed]
- Vašák, M.; Hasler, D.W. Metallothioneins: New Functional and Structural Insights. Curr. Opin. Chem. Biol. 2000, 4, 177–183. [Google Scholar] [CrossRef] [PubMed]
- Zoroddu, M.A.; Aaseth, J.; Crisponi, G.; Medici, S.; Peana, M.; Nurchi, V.M. The Essential Metals for Humans: A Brief Overview. J. Inorg. Biochem. 2019, 195, 120–129. [Google Scholar] [CrossRef]
- Ali, H.; Khan, E.; Ilahi, I. Environmental Chemistry and Ecotoxicology of Hazardous Heavy Metals: Environmental Persistence, Toxicity, and Bioaccumulation. J. Chem. 2019, 2019, 6730305. [Google Scholar] [CrossRef]
- Ali, H.; Khan, E. What Are Heavy Metals? Long-Standing Controversy over the Scientific Use of the Term ‘Heavy Metals’—Proposal of a Comprehensive Definition. Toxicol. Environ. Chem. 2018, 100, 6–19. [Google Scholar] [CrossRef]
- Briffa, J.; Sinagra, E.; Blundell, R. Heavy Metal Pollution in the Environment and Their Toxicological Effects on Humans. Heliyon 2020, 6, e04691. [Google Scholar] [CrossRef]
- Masindi, V.; Muedi, K.L. Environmental Contamination by Heavy Metals. In Heavy Metals; InTech: Rijeka, Croatia, 2018. [Google Scholar]
- Miedico, O.; Pompa, C.; Moscatelli, S.; Chiappinelli, A.; Carosielli, L.; Chiaravalle, A.E. Lead, Cadmium and Mercury in Canned and Unprocessed Tuna: Six-Years Monitoring Survey, Comparison with Previous Studies and Recommended Tolerable Limits. J. Food Compos. Anal. 2020, 94, 103638. [Google Scholar] [CrossRef]
- Zhou, H.; Chen, Y.; Yue, X.; Ren, D.; Liu, Y.; Yang, K. Identification and Hazard Analysis of Heavy Metal Sources in Agricultural Soils in Ancient Mining Areas: A Quantitative Method Based on the Receptor Model and Risk Assessment. J. Hazard. Mater. 2023, 445, 130528. [Google Scholar] [CrossRef]
- Abedin, J.; Khan, R.; Bakar Siddique, A.; Al Nafi Khan, A.H.; Islam, T.; Rashid, B. Metal(Loid)s in Tap-Water from Schools in Central Bangladesh (Mirpur): Source Apportionment, Water Quality, and Health Risks Appraisals. Heliyon 2023, 9, e15747. [Google Scholar] [CrossRef]
- Pereira, L.D.A.; De Amorim, I.G.; Da Silva, J.B.B. Development of Methodologies to Determine Aluminum, Cadmium, Chromium and Lead in Drinking Water by ET AAS Using Permanent Modifiers. Talanta 2004, 64, 395–400. [Google Scholar] [CrossRef]
- Chen, J.; Teo, K.C. Determination of Cadmium, Copper, Lead and Zinc in Water Samples by Flame Atomic Absorption Spectrometry after Cloud Point Extraction. Anal. Chim. Acta 2001, 450, 215–222. [Google Scholar] [CrossRef]
- Zhang, N.; Suleiman, J.S.; He, M.; Hu, B. Chromium(III)-Imprinted Silica Gel for Speciation Analysis of Chromium in Environmental Water Samples with ICP-MS Detection. Talanta 2008, 75, 536–543. [Google Scholar] [CrossRef]
- Menéndez-Alonso, E.; Hill, S.J.; Foulkes, M.E.; Crighton, J.S. Speciation and Preconcentration of Cr(III) and Cr(VI) in Waters by Retention on Ion Exchange Media and Determination by EDXRF. J. Anal. At. Spectrom. 1999, 14, 187–192. [Google Scholar] [CrossRef]
- Luo, A.; Wang, H.; Wang, Y.; Huang, Q.; Zhang, Q. A Novel Colorimetric and Turn-on Fluorescent Chemosensor for Iron(III) Ion Detection and Its Application to Cellular Imaging. Spectrochim. Acta A Mol. Biomol. Spectrosc. 2016, 168, 37–44. [Google Scholar] [CrossRef]
- Doré, E.; Lytle, D.A.; Wasserstrom, L.; Swertfeger, J.; Triantafyllidou, S. Field Analyzers for Lead Quantification in Drinking Water Samples. Crit. Rev. Environ. Sci. Technol. 2021, 51, 2357–2388. [Google Scholar] [CrossRef]
- Nemiroski, A.; Christodouleas, D.C.; Hennek, J.W.; Kumar, A.A.; Maxwell, E.J.; Fernández-Abedul, M.T.; Whitesides, G.M. Universal Mobile Electrochemical Detector Designed for Use in Resource-Limited Applications. Proc. Natl. Acad. Sci. USA 2014, 111, 11984–11989. [Google Scholar] [CrossRef]
- ANDalyze Lead Testing and On-Site Calibration for Water Testing Detection Range: 2–100 ppb. Available online: http://andalyze.com/wp-content/uploads/Lead-AND010-7-2018.pdf (accessed on 12 December 2022).
- Mukherjee, S.; Bhattacharyya, S.; Ghosh, K.; Pal, S.; Halder, A.; Naseri, M.; Mohammadniaei, M.; Sarkar, S.; Ghosh, A.; Sun, Y.; et al. Sensory Development for Heavy Metal Detection: A Review on Translation from Conventional Analysis to Field-Portable Sensor. Trends Food Sci. Technol. 2021, 109, 674–689. [Google Scholar] [CrossRef]
- Wu, J.; Li, M.; Tang, H.; Su, J.; He, M.; Chen, G.; Guan, L.; Tian, J. Portable Paper Sensors for the Detection of Heavy Metals Based on Light Transmission-Improved Quantification of Colorimetric Assays. Analyst 2019, 144, 6382–6390. [Google Scholar] [CrossRef]
- March, G.; Nguyen, T.; Piro, B. Modified Electrodes Used for Electrochemical Detection of Metal Ions in Environmental Analysis. Biosensors 2015, 5, 241–275. [Google Scholar] [CrossRef]
- Kangas, M.J.; Burks, R.M.; Atwater, J.; Lukowicz, R.M.; Williams, P.; Holmes, A.E. Colorimetric Sensor Arrays for the Detection and Identification of Chemical Weapons and Explosives. Crit. Rev. Anal. Chem. 2017, 47, 138–153. [Google Scholar] [CrossRef]
- Alzahrani, E. Colorimetric Detection Based on Localized Surface Plasmon Resonance Optical Characteristics for Sensing of Mercury Using Green-Synthesized Silver Nanoparticles. J. Anal. Methods Chem. 2020, 2020, 6026312. [Google Scholar] [CrossRef] [PubMed]
- Sareen, D.; Kaur, P.; Singh, K. Strategies in Detection of Metal Ions Using Dyes. Coord. Chem. Rev. 2014, 265, 125–154. [Google Scholar] [CrossRef]
- Giuliani, A.; Cerretani, L.; Cichelli, A. Colors: Properties and Determination of Natural Pigments. In Encyclopedia of Food and Health; Elsevier: Amsterdam, The Netherlands, 2016; pp. 273–283. [Google Scholar]
- U.S. Food and Drug Administration. Code of Federal Regulations Part 70: Color Additives. In Title 21—Food and Drugs; The Government Publishing Office: Washington, DC, USA, 2023. [Google Scholar]
- Wybraniec, S.; Starzak, K.; Skopińska, A.; Szaleniec, M.; Słupski, J.; Mitka, K.; Kowalski, P.; Michałowski, T. Effects of Metal Cations on Betanin Stability in Aqueous-Organic Solutions. Food Sci. Biotechnol. 2013, 22, 353–363. [Google Scholar] [CrossRef]
- Raj, S.; Shankaran, D.R. Curcumin Based Biocompatible Nanofibers for Lead Ion Detection. Sens. Actuators B Chem. 2016, 226, 318–325. [Google Scholar] [CrossRef]
- Meelapsom, R.; Rattanakaroonjit, W.; Prakobkij, A.; Malahom, N.; Supasorn, S.; Ruangchai, S.; Jarujamrus, P. Smartphone-Assisted Colorimetric Determination of Iron Ions in Water by Using Anthocyanin from Ruellia Tuberosa L. as a Green Indicator and Application for Hands-on Experiment Kit. J. Chem. Educ. 2022, 99, 1660–1671. [Google Scholar] [CrossRef]
- Wong, L.S.; Choong, C.W. Rapid Detection of Heavy Metals with the Response of Carotenoids in Daucus Carota. Int. J. Environ. Sci. Dev. 2014, 5, 270–273. [Google Scholar] [CrossRef]
- Chen, C. Pigments in Fruits and Vegetables; Chen, C., Ed.; Springer: New York, NY, USA, 2015; ISBN 978-1-4939-2355-7. [Google Scholar]
- Davies, K. Plant Pigments and Their Manipulation: Annual Plant Review; Blackwell Publishing/CRC: Boca Raton, FL, USA, 2004; Volume 12. [Google Scholar]
- Hendry, G.A.F. Natural Food Colorants, 2nd ed.; Hendry, G.A.F., Houghton, J.D., Eds.; Springer: Boston, MA, USA, 1996; ISBN 978-1-4613-5900-5. [Google Scholar]
- Aberoumand, A. A Review Article on Edible Pigments Properties and Sources as Natural Biocolorants in Foodstuff and Food Industry. World J. Dairy Food Sci. 2011, 6, 71–78. [Google Scholar]
- Pereira, D.; Valentão, P.; Pereira, J.; Andrade, P. Phenolics: From Chemistry to Biology. Molecules 2009, 14, 2202–2211. [Google Scholar] [CrossRef]
- Gengatharan, A.; Dykes, G.A.; Choo, W.S. Betalains: Natural Plant Pigments with Potential Application in Functional Foods. LWT—Food Sci. Technol. 2015, 64, 645–649. [Google Scholar] [CrossRef]
- Yang, C.S.; Landau, J.M.; Huang, M.-T.; Newmark, H.L. Inhibition of Carcinogenesis by Dietary Polyphenolic Compounds. Annu. Rev. Nutr. 2001, 21, 381–406. [Google Scholar] [CrossRef]
- Croft, K.D. The Chemistry and Biological Effects of Flavonoids and Phenolic Acidsa. Ann. N. Y. Acad. Sci. 1998, 854, 435–442. [Google Scholar] [CrossRef]
- Vinha, A.F.; Rodrigues, F.; Nunes, M.A.; Oliveira, M.B.P.P. Natural Pigments and Colorants in Foods and Beverages. In Polyphenols: Properties, Recovery, and Applications; Elsevier: Amsterdam, The Netherlands, 2018; pp. 363–391. [Google Scholar]
- Shibata, K.; Shibata, Y.; Kasiwagi, I. Studies on Anthocyanins: Color Variation in Anthocyanins. J. Am. Chem. Soc. 1919, 41, 208–220. [Google Scholar] [CrossRef]
- Yoshida, K.; Mori, M.; Kondo, T. Blue Flower Color Development by Anthocyanins: From Chemical Structure to Cell Physiology. Nat. Prod. Rep. 2009, 26, 884. [Google Scholar] [CrossRef]
- Reynoso, R.; Garcia, F.A.; Morales, D.; Gonzalez de Mejia, E. Stability of Betalain Pigments from a Cactacea Fruit. J. Agric. Food Chem. 1997, 45, 2884–2889. [Google Scholar] [CrossRef]
- Stintzing, F.; Carle, R. 4.4 Betalains in Food: Occurrence, Stability, and Postharvest Modifications. In Food Colorants: Chemical and Functional Properties; Socaciu, C., Ed.; CRC Press: Boca Raton, FL, USA, 2007; pp. 277–290. [Google Scholar]
- Ratanapoompinyo, J.; Nguyen, L.T.; Devkota, L.; Shrestha, P. The Effects of Selected Metal Ions on the Stability of Red Cabbage Anthocyanins and Total Phenolic Compounds Subjected to Encapsulation Process. J. Food Process. Preserv. 2017, 41, e13234. [Google Scholar] [CrossRef]
- Li, Y. Effects of Different Metal Ions on the Stability of Anthocyanins as Indicators. IOP Conf. Ser. Earth Environ. Sci. 2019, 300, 052015. [Google Scholar] [CrossRef]
- Cortez, R.; Luna-Vital, D.A.; Margulis, D.; Gonzalez de Mejia, E. Natural Pigments: Stabilization Methods of Anthocyanins for Food Applications. Compr. Rev. Food Sci. Food Saf. 2017, 16, 180–198. [Google Scholar] [CrossRef]
- Gopinath, S.C.B.; Lakshmipriya, T.; Awazu, K. Colorimetric Detection of Controlled Assembly and Disassembly of Aptamers on Unmodified Gold Nanoparticles. Biosens. Bioelectron. 2014, 51, 115–123. [Google Scholar] [CrossRef]
- Bueno, D.; Gómez, A.; Dominguez, R.; Gutiérrez, J.; Marty, J.L. Optical Methods Using Smartphone Platforms for Mycotoxin Detection. In Smartphone-Based Detection Devices; Hussain, C., Ed.; Elsevier: Amsterdam, The Netherlands, 2021; pp. 37–56. [Google Scholar]
- Samanta, A.K. Colorimetry; Kumar Samanta, A., Ed.; IntechOpen: London, UK, 2022; ISBN 978-1-83962-940-2. [Google Scholar]
- Kafle, B.P. Spectrophotometry and Its Application in Chemical Analysis. In Chemical Analysis and Material Characterization by Spectrophotometry; Kafle, B.P., Ed.; Elsevier: Amsterdam, The Netherlands, 2020; pp. 1–16. [Google Scholar]
- Pena-Pereira, F.; Velázquez, A.; Lavilla, I.; Bendicho, C. A Paper-Based Colorimetric Assay with Non-Instrumental Detection for Determination of Boron in Water Samples. Talanta 2020, 208, 120365. [Google Scholar] [CrossRef]
- Kudo, H.; Maejima, K.; Hiruta, Y.; Citterio, D. Microfluidic Paper-Based Analytical Devices for Colorimetric Detection of Lactoferrin. SLAS Technol. 2020, 25, 47–57. [Google Scholar] [CrossRef] [PubMed]
- Shrivas, K.; Patel, S.; Sinha, D.; Thakur, S.S.; Patle, T.K.; Kant, T.; Dewangan, K.; Satnami, M.L.; Nirmalkar, J.; Kumar, S. Colorimetric and Smartphone-Integrated Paper Device for on-Site Determination of Arsenic (III) Using Sucrose Modified Gold Nanoparticles as a Nanoprobe. Microchim. Acta 2020, 187, 173. [Google Scholar] [CrossRef] [PubMed]
- Brudzyńska, P.; Sionkowska, A.; Grisel, M. Plant-Derived Colorants for Food, Cosmetic and Textile Industries: A Review. Materials 2021, 14, 3484. [Google Scholar] [CrossRef] [PubMed]
- Lellis, B.; Fávaro-Polonio, C.Z.; Pamphile, J.A.; Polonio, J.C. Effects of Textile Dyes on Health and the Environment and Bioremediation Potential of Living Organisms. Biotechnol. Res. Innov. 2019, 3, 275–290. [Google Scholar] [CrossRef]
- Cao, Y.; Liu, Y.; Li, F.; Guo, S.; Shui, Y.; Xue, H.; Wang, L. Portable Colorimetric Detection of Copper Ion in Drinking Water via Red Beet Pigment and Smartphone. Microchem. J. 2019, 150, 104176. [Google Scholar] [CrossRef]
- Saithongdee, A.; Praphairaksit, N.; Imyim, A. Electrospun Curcumin-Loaded Zein Membrane for Iron(III) Ions Sensing. Sens. Actuators B Chem. 2014, 202, 935–940. [Google Scholar] [CrossRef]
- Khattab, T.A.; El-Naggar, M.E.; Pannipara, M.; Wageh, S.; Abou Taleb, M.F.; Abu-Saied, M.A.; El Sayed, I.E.-T. Green Metallochromic Cellulose Dipstick for Fe(III) Using Chitosan Nanoparticles and Cyanidin-Based Natural Anthocyanins Red-Cabbage Extract. Int. J. Biol. Macromol. 2022, 202, 269–277. [Google Scholar] [CrossRef]
- Zin, M.M.; Márki, E.; Bánvölgyi, S. Conventional Extraction of Betalain Compounds from Beetroot Peels with Aqueous Ethanol Solvent. Acta Aliment. 2020, 49, 163–169. [Google Scholar] [CrossRef]
- Smeriglio, A.; De Francesco, C.; Denaro, M.; Trombetta, D. Prickly Pear Betalain-Rich Extracts as New Promising Strategy for Intestinal Inflammation: Plant Complex vs. Main Isolated Bioactive Compounds. Front. Pharmacol. 2021, 12, 722398. [Google Scholar] [CrossRef]
- Roriz, C.L.; Xavier, V.; Heleno, S.A.; Pinela, J.; Dias, M.I.; Calhelha, R.C.; Morales, P.; Ferreira, I.C.F.R.; Barros, L. Chemical and Bioactive Features of Amaranthus Caudatus L. Flowers and Optimized Ultrasound-Assisted Extraction of Betalains. Foods 2021, 10, 779. [Google Scholar] [CrossRef]
- Ehrendorfer, F. Closing Remarks: Systematics and Evolution of Centrospermous Families. Plant Syst. Evol. 1976, 126, 99–106. [Google Scholar] [CrossRef]
- Brockington, S.F.; Walker, R.H.; Glover, B.J.; Soltis, P.S.; Soltis, D.E. Complex Pigment Evolution in the Caryophyllales. New Phytol. 2011, 190, 854–864. [Google Scholar] [CrossRef]
- Herbach, K.M.; Stintzing, F.C.; Carle, R. Betalain Stability and Degradation—Structural and Chromatic Aspects. J. Food Sci. 2006, 71, 41–50. [Google Scholar] [CrossRef]
- Galaffu, N.; Bortlik, K.; Michel, M. An Industry Perspective on Natural Food Colour Stability. In Colour Additives for Foods and Beverages; Elsevier: Amsterdam, The Netherlands, 2015; pp. 91–130. [Google Scholar]
- Kuusi, T.; Pyysalo, H.; Pippuri, A. The Effect of Iron, Tin, Aluminium, and Chromium on Fading, Discoloration, and Precipitation in Berry and Red Beet Juices. Z. Fur Lebensm.-Unters. Und-Forsch. 1977, 163, 196–202. [Google Scholar] [CrossRef]
- Czapski, J. Heat Stability of Betacyanins in Red Beet Juice and in Betanin Solutions. Z. Fur. Lebensm.-Unters. Und-Forsch. 1990, 191, 275–278. [Google Scholar] [CrossRef]
- Skopińska, A.; Szot, D.; Starzak, K.; Wybraniec, S. Effect of Cu (II) Cations on 2-Decarboxy-Betanin Stability in Aqueous-Organic Solutions. Chem. Pharm. 2015, 6, 24–29. [Google Scholar]
- Barman, G.; Samanta, A.; Maiti, S.; Laha, J.K. Colorimetric Assays for the Detection of Hg(II) Ions Using Functionalized Gold and Silver Nanoparticles. Adv. Sci. Focus 2014, 2, 52–58. [Google Scholar] [CrossRef]
- Attoe, E.L.; Elbe, J.H. Oxygen Involvement in Betanin Degradation. Z. Fur. Lebensm.-Unters. Und-Forsch. 1984, 179, 232–236. [Google Scholar] [CrossRef]
- Gonçalves, L.C.P.; Da Silva, S.M.; DeRose, P.C.; Ando, R.A.; Bastos, E.L. Beetroot-Pigment-Derived Colorimetric Sensor for Detection of Calcium Dipicolinate in Bacterial Spores. PLoS ONE 2013, 8, e73701. [Google Scholar] [CrossRef]
- Paramasivam, M.; Poi, R.; Banerjee, H.; Bandyopadhyay, A. High-Performance Thin Layer Chromatographic Method for Quantitative Determination of Curcuminoids in Curcuma Longa Germplasm. Food Chem. 2009, 113, 640–644. [Google Scholar] [CrossRef]
- Anderson, A.M.; Mitchell, M.S.; Mohan, R.S. Isolation of Curcumin from Turmeric. J. Chem. Educ. 2000, 77, 359. [Google Scholar] [CrossRef]
- Cronin, J.R. Curcumin: Old Spice Is a New Medicine. Altern. Complement. Ther. 2003, 9, 34–38. [Google Scholar] [CrossRef]
- European Medicine Agency (EMA). Assessment Report on Curcuma longa L., Rhizoma Final; Committee on Herbal Medicine Products: London, UK, 2018. [Google Scholar]
- Rohman, A.; Wijayanti, T.; Windarsih, A.; Riyanto, S. The Authentication of Java Turmeric (Curcuma Xanthorrhiza) Using Thin Layer Chromatography and 1H-NMR Based-Metabolite Fingerprinting Coupled with Multivariate Analysis. Molecules 2020, 25, 3928. [Google Scholar] [CrossRef] [PubMed]
- Hardcastle, J.E. A Study of the Curcumin Method for Boron Determination. Master’s Thesis, University of Richmond, Richmond, VA, USA, 1960. [Google Scholar]
- Wikner, B.; Uppström, L. Determination of Boron in Plants and Soils with a Rapid Modification of the Curcumin Method Utilizing Different 1,3-diols to Eliminate Interferences. Commun. Soil Sci. Plant Anal. 1980, 11, 105–126. [Google Scholar] [CrossRef]
- Mehrotra, R.C.; Bohra, R.K.; Gaur, D.P. Metal β-Diketonates and Allied Derivatives; Academic Press: New York, NY, USA, 1978. [Google Scholar]
- Krishnankutty, K.; Venugopalan, P. Metal Chelates of Curcuminoids. Synth. React. Inorg. Met.-Org. Chem. 1998, 28, 1313–1325. [Google Scholar] [CrossRef]
- Borsari, M.; Ferrari, E.; Grandi, R.; Saladini, M. Curcuminoids as Potential New Iron-Chelating Agents: Spectroscopic, Polarographic and Potentiometric Study on Their Fe(III) Complexing Ability. Inorganica Chim. Acta 2002, 328, 61–68. [Google Scholar] [CrossRef]
- Ferrari, E.; Asti, M.; Benassi, R.; Pignedoli, F.; Saladini, M. Metal Binding Ability of Curcumin Derivatives: A Theoretical vs. Experimental Approach. Dalton Trans. 2013, 42, 5304. [Google Scholar] [CrossRef]
- Orteca, G.; Sinnes, J.P.; Piel, M.; Roesch, F.; Ferrari, E.; Asti, M.; Rubagotti, S.; Bednarikova, Z.; Capponi, Z.; Pier, C.; et al. 68Ga-Curcumin-Based Bifunctional Ligands for Alzheimer’s Disease Diagnosis. Nucl. Med. Biol. 2019, 72–73, S43–S44. [Google Scholar] [CrossRef]
- Kumar, P.; Paul, W.; Sharma, C.P. Curcumin Stabilized Gold Nanoparticle-Based Colorimetric Sensing of Mercury(II). Trends Biomater. Artif. Organs 2014, 28, 121–123. [Google Scholar]
- Kharat, M.; Du, Z.; Zhang, G.; McClements, D.J. Physical and Chemical Stability of Curcumin in Aqueous Solutions and Emulsions: Impact of PH, Temperature, and Molecular Environment. J. Agric. Food Chem. 2017, 65, 1525–1532. [Google Scholar] [CrossRef]
- Vonnie, J.M.; Ting, B.J.; Rovina, K.; Erna, K.H.; Felicia, W.X.L.; ‘Aqilah, N.M.N.; Wahab, R.A. Development of Aloe Vera-Green Banana Saba-Curcumin Composite Film for Colorimetric Detection of Ferrum (II). Polymers 2022, 14, 2353. [Google Scholar] [CrossRef]
- Balusamy, B.; Senthamizhan, A.; Uyar, T. Functionalized Electrospun Nanofibers as Colorimetric Sensory Probe for Mercury Detection: A Review. Sensors 2019, 19, 4763. [Google Scholar] [CrossRef]
- Chanajaree, R.; Ratanatawanate, C.; Ruangchaithaweesuk, S.; Lee, V.S.; Wittayanarakul, K. Colorimetric Detection of Pb2+ Ions Using Curcumin Silver Nanoparticles. J. Mol. Liq. 2021, 343, 117629. [Google Scholar] [CrossRef]
- Sheikhzadeh, E.; Naji-Tabasi, S.; Verdian, A.; Kolahi-Ahari, S. Equipment-Free and Visual Detection of Pb2+ Ion Based on Curcumin-Modified Bacterial Cellulose Nanofiber. J. Iran. Chem. Soc. 2022, 19, 283–290. [Google Scholar] [CrossRef]
- Phatthanawiwat, K.; Boonkanon, C.; Wongniramaikul, W.; Choodum, A. Catechin and Curcumin Nanoparticle-Immobilized Starch Cryogels as Green Colorimetric Sensors for on-Site Detection of Iron. Sustain. Chem. Pharm. 2022, 29, 100782. [Google Scholar] [CrossRef]
- Sigurdson, G.T.; Giusti, M.M. Bathochromic and Hyperchromic Effects of Aluminum Salt Complexation by Anthocyanins from Edible Sources for Blue Color Development. J. Agric. Food Chem. 2014, 62, 6955–6965. [Google Scholar] [CrossRef]
- Grajeda-Iglesias, C.; Figueroa-Espinoza, M.C.; Barouh, N.; Baréa, B.; Fernandes, A.; de Freitas, V.; Salas, E. Isolation and Characterization of Anthocyanins from Hibiscus Sabdariffa Flowers. J. Nat. Prod. 2016, 79, 1709–1718. [Google Scholar] [CrossRef]
- Yoshida, K.; Ito, D.; Miki, N.; Kondo, T. Single-Cell Analysis Clarifies Mosaic Color Development in Purple Hydrangea Sepal. New Phytol. 2021, 229, 3549–3557. [Google Scholar] [CrossRef]
- Khoo, H.E.; Azlan, A.; Tang, S.T.; Lim, S.M. Anthocyanidins and Anthocyanins: Colored Pigments as Food, Pharmaceutical Ingredients, and the Potential Health Benefits. Food Nutr. Res. 2017, 61, 1361779. [Google Scholar] [CrossRef]
- Dey, P.M.; Harborne, J.B. Methods in Plant Biochemistry: Plant Phenolics, 2nd ed.; Harborne, J.B., Ed.; Academic Press Limited: London, UK, 1993; Volume 1, ISBN 978-0-12-461011-8. [Google Scholar]
- Goto, T.; Kondo, T. Structure and Molecular Stacking of Anthocyanins—Flower Color Variation. Angew. Chem. Int. Ed. Engl. 1991, 30, 17–33. [Google Scholar] [CrossRef]
- Buchweitz, M.; Brauch, J.; Carle, R.; Kammerer, D.R. Colour and Stability Assessment of Blue Ferric Anthocyanin Chelates in Liquid Pectin-Stabilised Model Systems. Food Chem. 2013, 138, 2026–2035. [Google Scholar] [CrossRef] [PubMed]
- Trouillas, P.; Sancho-García, J.C.; De Freitas, V.; Gierschner, J.; Otyepka, M.; Dangles, O. Stabilizing and Modulating Color by Copigmentation: Insights from Theory and Experiment. Chem. Rev. 2016, 116, 4937–4982. [Google Scholar] [CrossRef] [PubMed]
- Boulton, R. The Copigmentation of Anthocyanins and Its Role in the Color of Red Wine: A Critical Review. Am. J. Enol. Vitic. 2001, 52, 67–87. [Google Scholar] [CrossRef]
- Zhang, B.; Liu, R.; He, F.; Zhou, P.-P.; Duan, C.-Q. Copigmentation of Malvidin-3-O-Glucoside with Five Hydroxybenzoic Acids in Red Wine Model Solutions: Experimental and Theoretical Investigations. Food Chem. 2015, 170, 226–233. [Google Scholar] [CrossRef]
- Celli, G.B.; Selig, M.J.; Tan, C.; Abbaspourrad, A. Synergistic Bathochromic and Hyperchromic Shifts of Anthocyanin Spectra Observed Following Complexation with Iron Salts and Chondroitin Sulfate. Food Bioprocess Technol. 2018, 11, 991–1001. [Google Scholar] [CrossRef]
- Buchweitz, M.; Nagel, A.; Carle, R.; Kammerer, D.R. Characterisation of Sugar Beet Pectin Fractions Providing Enhanced Stability of Anthocyanin-Based Natural Blue Food Colourants. Food Chem. 2012, 132, 1971–1979. [Google Scholar] [CrossRef]
- Tachibana, N.; Kimura, Y.; Ohno, T. Examination of Molecular Mechanism for the Enhanced Thermal Stability of Anthocyanins by Metal Cations and Polysaccharides. Food Chem. 2014, 143, 452–458. [Google Scholar] [CrossRef]
- Khaodee, W.; Aeungmaitrepirom, W.; Tuntulani, T. Effectively Simultaneous Naked-Eye Detection of Cu(II), Pb(II), Al(III) and Fe(III) Using Cyanidin Extracted from Red Cabbage as Chelating Agent. Spectrochim. Acta A Mol. Biomol. Spectrosc. 2014, 126, 98–104. [Google Scholar] [CrossRef]
- Tang, B.; He, Y.; Liu, J.; Zhang, J.; Li, J.; Zhou, J.; Ye, Y.; Wang, J.; Wang, X. Kinetic Investigation into PH-Dependent Color of Anthocyanin and Its Sensing Performance. Dye. Pigment. 2019, 170, 107643. [Google Scholar] [CrossRef]
- Mollaamin, F.; Monajjemi, M. Thermodynamic and IR Spectral Study of Metal Cations–Anthocyanin Chelation: Mechanism of Formation of Pigments. Russ. J. Phys. Chem. A 2020, 94, 1887–1901. [Google Scholar] [CrossRef]
- Moncada, M.C.; Moura, S.; Melo, M.J.; Roque, A.; Lodeiro, C.; Pina, F. Complexation of Aluminum(III) by Anthocyanins and Synthetic Flavylium Salts. Inorganica Chim. Acta 2003, 356, 51–61. [Google Scholar] [CrossRef]
- Mohan, A.; Prakash, J. Fabrication of Eco-Friendly Hydrogel Strips for the Simultaneous Quantification of Heavy Metal Ions in Aqueous Environment. Dye. Pigment. 2022, 199, 110045. [Google Scholar] [CrossRef]
- Woolf, M.S.; Dignan, L.M.; Scott, A.T.; Landers, J.P. Digital Postprocessing and Image Segmentation for Objective Analysis of Colorimetric Reactions. Nat. Protoc. 2021, 16, 218–238. [Google Scholar] [CrossRef]
- Mezzomo, N.; Ferreira, S.R.S. Carotenoids Functionality, Sources, and Processing by Supercritical Technology: A Review. J. Chem. 2016, 2016, 3164312. [Google Scholar] [CrossRef]
- Gutowski, M.; Kowalczyk, S. A Study of Free Radical Chemistry: Their Role and Pathophysiological Significance. Acta Biochim. Pol. 2013, 60, 1–16. [Google Scholar] [CrossRef]
- Focsan; Polyakov; Kispert Supramolecular Carotenoid Complexes of Enhanced Solubility and Stability—The Way of Bioavailability Improvement. Molecules 2019, 24, 3947. [CrossRef]
- Loughlin, P.C.; Willows, R.D.; Chen, M. In Vitro Conversion of Vinyl to Formyl Groups in Naturally Occurring Chlorophylls. Sci. Rep. 2014, 4, srep06069. [Google Scholar] [CrossRef]
- Clarkson, T.W. The Toxicology of Mercury. Crit Rev Clin Lab Sci 1997, 34, 369–403. [Google Scholar] [CrossRef]
- Demirezen Yılmaz, D.; Aksu Demirezen, D.; Mıhçıokur, H. Colorimetric Detection of Mercury Ion Using Chlorophyll Functionalized Green Silver Nanoparticles in Aqueous Medium. Surf. Interfaces 2021, 22, 100840. [Google Scholar] [CrossRef]
- World Health Organization. Guidelines for Drinking-Water Quality; World Health Organization: Geneva, Switzerland, 2011; ISBN 9789241548151. [Google Scholar]
- Tarekegn, M.M.; Weldekidan, G.L. Concentration Levels of Heavy Metals and Selected Ions in the Irrigation Water: The Case of Little Akaki River, Addis Ababa, Ethiopia. In Environmental Impact and Remediation of Heavy Metals; IntechOpen: London, UK, 2022. [Google Scholar]
- Codex Alimentarius Commission Report of the Eighth Session of the Codex Committee on Contaminants in Foods. In Proceedings of the Joint FAO/WHO Food Standards Programme Codex Alimentarius Commission 37th Session, Geneva, Switzerland, 14–18 July 2014.
- Balbach, S.; Jiang, N.; Moreddu, R.; Dong, X.; Kurz, W.; Wang, C.; Dong, J.; Yin, Y.; Butt, H.; Brischwein, M.; et al. Smartphone-Based Colorimetric Detection System for Portable Health Tracking. Anal. Methods 2021, 13, 4361–4369. [Google Scholar] [CrossRef]



| Pigment | Sample | Metal Selectivity | Colour Change | Stability | Limit of Detection | References | |
|---|---|---|---|---|---|---|---|
| Real | Synthetic | ||||||
| Red beet extract (Beta vulgaris f. rubra L.) (solution) | Not tested | Mixture of acetic acid 0.7% and NaCl 0.25% | Cr3+ | Decreased colour intensity (red) 1 | Changes in the colour intensity at 540 nm at pH 3.89 | Not determined 2 | [68] |
| Red beet juice and pure betanin (solution) | Not tested | Phthalate buffer 0.1 mol and NaOH 0.1 mol | Cu2+ | Decreased pigment retention 1 | 2.5 mmol metal concentration and higher decreased betanin retention | Not determined 2 | [69] |
| Fe3+ | Decreased pigment retention 1 | Not determined 2 | |||||
| Betanin isolate from red beet root (solution) | Not tested | Acetic and phosphoric buffer | Ni2+ | Decreased pigment absorbance 1 | 0.06 mM Ni2+ addition at pH 7–8 causes significant λmax shift | Not determined 2 | [29] |
| Cu2+ | Decreased pigment absorbance 1 | 0.04 mM Cu2+ at pH 4 causes significant λmax shift | Not determined 2 | ||||
| 2-decarboxy-betanin pigment (solution) | Not tested | Organic solvent (EtOH, MeOH, added buffer acetate (3–5.5) and phosphate (5.5–8) | Cu2+ | Decreased pigment retention 1 | 650 µM Cu2+ causes significant changes in UV spectra | Not determined 2 | [70] |
| Beet root extract, betacyanin gold (AuNP) and silver nanoparticles (AgNP) (solution) | Tap water | Hg(NO3)2 in water | Hg2+ | Red to violet (AuNP), yellow to purple (AgNP) | Colour stability not tested | 25 µM (by fluorescent sensing at 380 nm) | [71] |
| Red beet extract (solution) | Drinking water | CuCl2 in water | Cu2+ | Purple to orange-red | Pigment solution stable at pH 9 | 0.84 µM (linear graph estimation) | [58] |
| Pigment | Sample | Metal Selectivity | Colour Change | Stability | Limit of Detection | References | |
|---|---|---|---|---|---|---|---|
| Real | Synthetic | ||||||
| Curcumin gold nanoparticle | Not tested | Hg2+ in phosphate buffer solution (pH 7.4) | Hg2+ | Reddish wine to light blue | Nanoparticles are stable at pH 7.4 Colour stability not tested | 2–10 µM (visual) | [86] |
| Curcumin-loaded zein membrane | Drinking water, tap water, pond water with pre-treatment of nitric acid | Fe3+ in deionized water with nitric acid (pH 2) | Fe3+ | Yellow to brown | High efficiency for visual sensing at pH 2 | 7.16 µM (visual) | [59] |
| Curcumin-loaded cellulose acetate sensor strip | Not tested | Lead acetate solution at pH 5 | Pb2+ | Yellow to orange | Colour stability not tested | 20 µM (visual), 0.12 ± 0.01 µM (linear graph) | [30] |
| Nanoparticle Ag + Curcumin (AgNPs-CUR) (solution) | Drinking water, aquarium water, tap water | Pb2+ solution in deionized water | Pb2+ | Yellow to orange | Calculated binding energy of AgNP-CUR and Pb2+ is −361.4 kcal mol−1 (highly stable) | 13.6 µM (linear graph estimation) | [90] |
| Aloe barbadensis, Musa acuminata x balbisiana, Curcumin biofilm | Water | Fe2 solution in Milli-Q water | Fe2+ | Yellow to greenish brown | Colour stability not tested. Sensor biodegradability rate of 1.28% in one week | 49 µM (linear graph estimation) | [88] |
| Curcumin nanoparticle immobilised starch cryogels | Tap water with pre-treatment of nitric acid | Fe3+ solution in ultrapure water at pH 2 | Fe3+ | Yellow to red brown | Colour stable at pH 2. Sensor is stable for 3 months in a desiccator | 8.59 µM (linear graph estimation) | [92] |
| Curcumin bacterial cellulose nanofiber | Rice with pre-treatment of nitric acid, hydrogen peroxide, acetate buffer solution at pH 5 | Lead acetate solution in Milli-Q water at pH 5 | Pb2+ | Orange to red | Yellow colour stable at pH 5. Sensor stability not reported | 9 µM (visual), 0.9 µM (image processing) | [91] |
| Pigment | Sample | Metal Selectivity | Colour Change | Stability | Limit of Detection | References | |
|---|---|---|---|---|---|---|---|
| Real | Synthetic | ||||||
| Cyanidin red cabbage extract (solution) | Pond water and tap water with pre-treatment of nitric acid and masking agents of potassium fluoride and dimethylglyoxime | Cu2+/Pb2+ nitrate-salt and Al3+/Fe3+ chloride-salt in Milli-Q water with buffer solution (pH 3–7) and masking agents | Cu2+ | Violet to blue | Colour change at pH 7 | 50 µM (visual) | [106] |
| Pb2+ | Purple to violet to blue | Colour change at pH 6 | 80 µM (visual) | ||||
| Al3+ | Purple to violet to blue | Colour change at pH 5 | 50 µM (visual) | ||||
| Fe3+ | Pink to violet to blue | Colour change at pH 4 | 200 µM (visual) | ||||
| Anthocyanin extract from Ruellia tuberosa L. (solution) | Tap water and pond water with pre-treatment of nitric acid | Fe2+ solution in deionized water with nitric acid at pH 1 | Fe3+ | Pink to red | Anthocyanin extract stable at 4 °C for 2 months Red colour is stable at pH 1 | 0.54 µM (linear graph estimation) | [31] |
| Chitosan nanoparticles and cyanidin-based red cabbage extract (dipstick sensor) | Not tested | Fe3+ solution in distilled water with phosphate buffer solution at pH 4–6 | Fe3+ | White to pink | Cyanidin based nanoparticle highly selective at pH 4–6. Sensor stability not tested | 179–7162 µM (visual) | [60] |
| Curcumin-anthocyanin hydrogel strips | River water with pre-treatment of filtration | Cd and Hg chloride salt in triple distilled water | Cd2+ | White to bluish green | Not reported | 0.2 µM (visual) | [110] |
| Hg2+ | White to blue | Not reported | 0.2 µM (visual) | ||||
Disclaimer/Publisher’s Note: The statements, opinions and data contained in all publications are solely those of the individual author(s) and contributor(s) and not of MDPI and/or the editor(s). MDPI and/or the editor(s) disclaim responsibility for any injury to people or property resulting from any ideas, methods, instructions or products referred to in the content. |
© 2023 by the authors. Licensee MDPI, Basel, Switzerland. This article is an open access article distributed under the terms and conditions of the Creative Commons Attribution (CC BY) license (https://creativecommons.org/licenses/by/4.0/).
Share and Cite
Mulyaningsih, R.D.; Pratiwi, R.; Hasanah, A.N. An Update on the Use of Natural Pigments and Pigment Nanoparticle Adducts for Metal Detection Based on Colour Response. Biosensors 2023, 13, 554. https://doi.org/10.3390/bios13050554
Mulyaningsih RD, Pratiwi R, Hasanah AN. An Update on the Use of Natural Pigments and Pigment Nanoparticle Adducts for Metal Detection Based on Colour Response. Biosensors. 2023; 13(5):554. https://doi.org/10.3390/bios13050554
Chicago/Turabian StyleMulyaningsih, Raspati D., Rimadani Pratiwi, and Aliya N. Hasanah. 2023. "An Update on the Use of Natural Pigments and Pigment Nanoparticle Adducts for Metal Detection Based on Colour Response" Biosensors 13, no. 5: 554. https://doi.org/10.3390/bios13050554
APA StyleMulyaningsih, R. D., Pratiwi, R., & Hasanah, A. N. (2023). An Update on the Use of Natural Pigments and Pigment Nanoparticle Adducts for Metal Detection Based on Colour Response. Biosensors, 13(5), 554. https://doi.org/10.3390/bios13050554

