Metal–Organic Framework Fluorescence Sensors for Rapid and Accurate Detection of Melamine in Milk Powder
Abstract
1. Introduction
2. Experimental Section
2.1. Chemicals and Reagents
2.2. Synthesis of NH2-MIL-253 (Al) MOF & Tb@NH2-MIL-253 (Al) MOF Sensing Probes
2.3. Fluorescence Response to Melamine
2.4. Analysis of Melamine in Milk Powder Sample
2.5. Data Analysis
3. Results and Discussion
3.1. Instrumental and Fluorescence Characteristics
3.2. Luminescence Sensing of Melamine
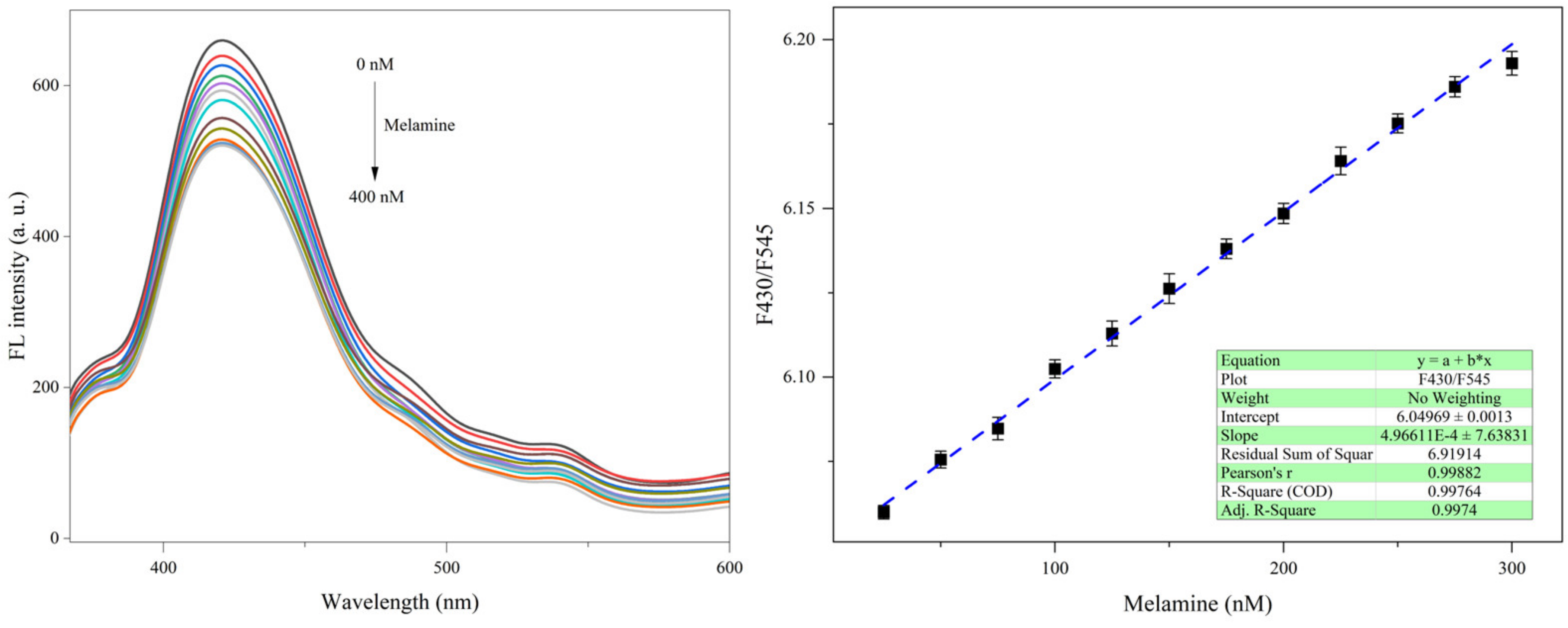
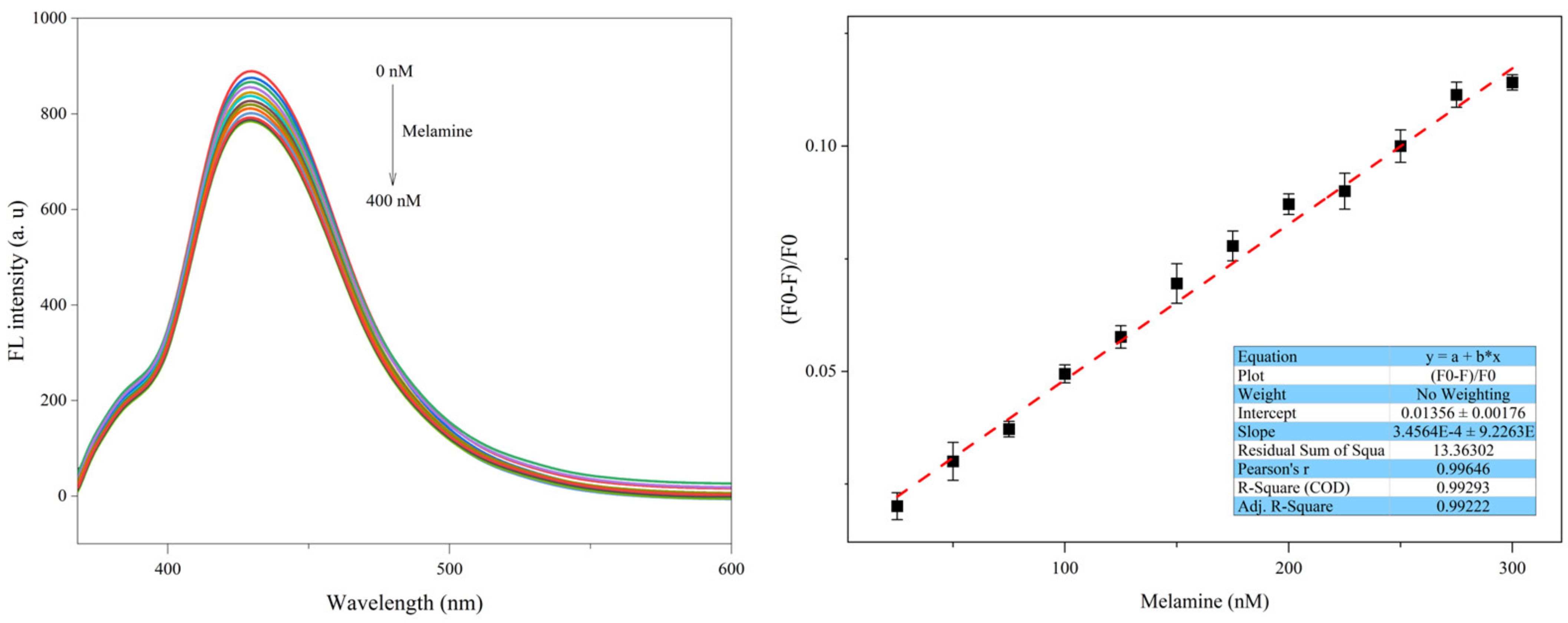
3.2.1. Sensitivity of Sensors to Melamine
3.2.2. Selectivity of Sensors to Melamine
3.3. Sensing Mechanism
3.4. Detection of Melamine in Milk Powder Sample
4. Conclusions
Author Contributions
Funding
Institutional Review Board Statement
Informed Consent Statement
Data Availability Statement
Conflicts of Interest
References
- Lv, M.; Liu, Y.; Geng, J.; Kou, X.; Xin, Z.; Yang, D. Engineering nanomaterials-based biosensors for food safety detection. Biosens. Bioelectron. 2018, 106, 122–128. [Google Scholar] [CrossRef] [PubMed]
- Shellaiah, M.; Sun, K.W. Review on Nanomaterial-Based Melamine Detection. Chemosensors 2019, 7, 9. [Google Scholar] [CrossRef]
- Roviello, G.; Ricciotti, L.; Ferone, C.; Colangelo, F.; Tarallo, O. Fire resistant melamine based organic-geopolymer hybrid composites. Cem. Concr. Compos. 2015, 59, 89–99. [Google Scholar] [CrossRef]
- Rovina, K.; Siddiquee, S. A review of recent advances in melamine detection techniques. J. Food Compos. Anal. 2015, 43, 25–38. [Google Scholar] [CrossRef]
- Anirudhan, T.S.; Christa, J.; Deepa, J.R. Extraction of melamine from milk using a magnetic molecularly imprinted polymer. Food Chem. 2017, 227, 85–92. [Google Scholar] [CrossRef] [PubMed]
- Bates, F.; Busato, M.; Piletska, E.; Whitcombe, M.J.; Karim, K.; Guerreiro, A.; del Valle, M.; Giorgetti, A.; Piletsky, S. Computational design of molecularly imprinted polymer for direct detection of melamine in milk. Sep. Sci. Technol. 2017, 52, 1441–1453. [Google Scholar] [CrossRef]
- Lu, Y.; Xia, Y.; Liu, G.; Pan, M.; Li, M.; Lee, N.A.; Wang, S. A Review of Methods for Detecting Melamine in Food Samples. Crit. Rev. Anal. Chem. 2017, 47, 51–66. [Google Scholar] [CrossRef] [PubMed]
- Tittlemier, S.A. Methods for the analysis of melamine and related compounds in foods: A review. Food Addit. Contam. Part A 2010, 27, 129–145. [Google Scholar] [CrossRef]
- Liu, D.; Lu, K.; Poon, C.; Lin, W. Metal–organic frameworks as sensory materials and imaging agents. Inorg. Chem. 2014, 53, 1916–1924. [Google Scholar] [CrossRef]
- Lustig, W.P.; Mukherjee, S.; Rudd, N.D.; Desai, A.V.; Li, J.; Ghosh, S.K. Metal–organic frameworks: Functional luminescent and photonic materials for sensing applications. Chem. Soc. Rev. 2017, 46, 3242–3285. [Google Scholar] [CrossRef]
- Lin, C.; Zhong, C.; Song, Y.; Wang, L. Ratiometric fluorescence detection of melamine in milk by a zirconium-based metal-organic frameworks composite. Microchem. J. 2021, 162, 105837. [Google Scholar] [CrossRef]
- Masoomi, M.Y.; Morsali, A.; Dhakshinamoorthy, A.; Garcia, H. Mixed-metal MOFs: Unique opportunities in metal–organic framework (MOF) functionality and design. Angew. Chem. 2019, 131, 15330–15347. [Google Scholar] [CrossRef]
- Rostamnia, S.; Alamgholiloo, H.; Liu, X. Pd-grafted open metal site copper-benzene-1, 4-dicarboxylate metal organic frameworks (Cu-BDC MOF’s) as promising interfacial catalysts for sustainable Suzuki coupling. J. Colloid Interface Sci. 2016, 469, 310–317. [Google Scholar] [CrossRef]
- An, J.; Li, L.; Ding, Y.; Hu, W.; Duan, D.; Lu, H.; Ye, D.; Zhu, X.; Chen, H. A novel molecularly imprinted electrochemical sensor based on Prussian blue analogue generated by iron metal organic frameworks for highly sensitive detection of melamine. Electrochim. Acta 2019, 326, 134946. [Google Scholar] [CrossRef]
- Gbadamasi, S.; Mohiuddin, M.; Krishnamurthi, V.; Verma, R.; Khan, M.W.; Pathak, S.; Kalantar-Zadeh, K.; Mahmood, N. Interface chemistry of two-dimensional heterostructures–fundamentals to applications. Chem. Soc. Rev. 2021, 50, 4684–4729. [Google Scholar] [CrossRef] [PubMed]
- Wu, F.; Ye, J.; Cao, Y.; Wang, Z.; Miao, T.; Shi, Q. Recent advances in fluorescence sensors based on DNA–MOF hybrids. Luminescence 2020, 35, 440–446. [Google Scholar] [CrossRef]
- Yu, C.; Li, L.; Ding, Y.; Liu, H.; Cui, H.; Zhang, F.; Lin, J.; Duan, Y. A sensitive molecularly imprinted electrochemical aptasensor for highly specific determination of melamine. Food Chem. 2021, 363, 130202. [Google Scholar] [CrossRef]
- Hu, S.; Ouyang, W.; Guo, L.; Lin, Z.; Jiang, X.; Qiu, B.; Chen, G. Facile synthesis of Fe3O4/g-C3N4/HKUST-1 composites as a novel biosensor platform for ochratoxin A. Biosens. Bioelectron. 2017, 92, 718–723. [Google Scholar] [CrossRef]
- Zhang, L.; Wang, J.; Du, T.; Zhang, W.; Zhu, W.; Yang, C.; Yue, T.; Sun, J.; Li, T.; Wang, J. NH2-MIL-53 (Al) metal–organic framework as the smart platform for simultaneous high-performance detection and removal of Hg2+. Inorg. Chem. 2019, 58, 12573–12581. [Google Scholar] [CrossRef]
- Zeng, Y.-N.; Zheng, H.-Q.; Gu, J.-F.; Cao, G.-J.; Zhuang, W.-E.; Lin, J.-D.; Cao, R.; Lin, Z.-J. Dual-emissive metal–organic framework as a fluorescent “switch” for ratiometric sensing of hypochlorite and ascorbic acid. Inorg. Chem. 2019, 58, 13360–13369. [Google Scholar] [CrossRef]
- Wang, J.; Wu, Y.; Wu, Q.; Li, L.; Wang, Y.; Yang, H. Highly sensitive detection of melamine in milk samples based on N-methylmesoporphyrin IX/G-quadruplex structure. Microchem. J. 2020, 155, 104751. [Google Scholar] [CrossRef]
- Filazi, A.; Sireli, U.; Ekici, H.; Can, H.; Karagoz, A. Determination of melamine in milk and dairy products by high performance liquid chromatography. J. Dairy Sci. 2012, 95, 602–608. [Google Scholar] [CrossRef] [PubMed]
- Tan, J.; Li, R.; Jiang, Z.-T. Determination of melamine in liquid milk and milk powder by titania-based ligand-exchange hydrophilic interaction liquid chromatography. Food Anal. Methods 2012, 5, 1062–1069. [Google Scholar] [CrossRef]
- Chen, J.; Xu, Y.; Li, S.; Xu, F.; Zhang, Q. Ratio fluorescence detection of tetracycline by a Eu 3+/NH 2-MIL-53 (Al) composite. RSC Adv. 2021, 11, 2397–2404. [Google Scholar] [CrossRef] [PubMed]
- Mariscal-Becerra, L.; Carmona-Téllez, S.; Vázquez-Arreguín, R.; García-Rosas, C.; Falcony, C.; Murrieta, H.; Sánchez-Alejo, M. Green light emission in aluminum oxide powders doped with different terbium concentrations. Rev. Mex. De Física 2016, 62, 285–289. [Google Scholar] [CrossRef]
- Deng, X.; Qin, Y.; Hao, M.; Li, Z. MOF-253-supported Ru complex for photocatalytic CO2 reduction by coupling with semidehydrogenation of 1, 2, 3, 4-tetrahydroisoquinoline (THIQ). Inorg. Chem. 2019, 58, 16574–16580. [Google Scholar] [CrossRef]
- Zhou, T.; Du, Y.; Borgna, A.; Hong, J.; Wang, Y.; Han, J.; Zhang, W.; Xu, R. Post-synthesis modification of a metal–organic framework to construct a bifunctional photocatalyst for hydrogen production. Energy Environ. Sci. 2013, 6, 3229–3234. [Google Scholar] [CrossRef]
- Liu, X.; Ma, Q.; Feng, X.; Li, R.; Zhang, X. A recycled Tb-MOF fluorescent sensing material for highly sensitive and selective detection of tetracycline in milk. Microchem. J. 2021, 170, 106714. [Google Scholar] [CrossRef]
- Kaur, M.; Mehta, S.K.; Kansal, S.K. Amine-functionalized titanium metal-organic framework (NH2-MIL-125(Ti)): A novel fluorescent sensor for the highly selective sensing of copper ions. Mater. Chem. Phys. 2020, 254, 123539. [Google Scholar] [CrossRef]
- Kanchi, S. One-pot biosynthesis of silver nanoparticle using Colocasia esculenta extract: Colorimetric detection of melamine in biological samples. J. Photochem. Photobiol. A Chem. 2020, 391, 112310. [Google Scholar]
- Lei, C.H.; Zhao, X.E.; Jiao, S.L.; He, L.; Li, Y.; Zhu, S.Y.; You, J.M. A turn-on fluorescent sensor for the detection of melamine based on the anti-quenching ability of Hg2+ to carbon nanodots. Anal. Methods 2016, 8, 4438–4444. [Google Scholar] [CrossRef]
- Li, N.; Liu, T.; Liu, S.G.; Lin, S.M.; Fan, Y.Z.; Luo, H.Q.; Li, N.B. Visible and fluorescent detection of melamine in raw milk with one-step synthesized silver nanoparticles using carbon dots as the reductant and stabilizer. Sens. Actuators B Chem. 2017, 248, 597–604. [Google Scholar] [CrossRef]
- Singh, S.; Kaur, V.; Kumar, N.; Garg, M.; Pandey, S.K.; Meena, V.K. Cadmium chalcogenide derived fluorescent quanta-sensor for melamine detection. Sens. Actuators B Chem. 2018, 273, 505–510. [Google Scholar] [CrossRef]
- Yang, C.; Du, C.; Su, R.; Wang, J.; Li, Y.; Ma, X.; Li, Z.; Sun, C. A signal-on fluorescent aptasensor by sensitized Tb3+ luminescence for detection of melamine in milk. Talanta 2022, 236, 122842. [Google Scholar] [CrossRef] [PubMed]
- Taşci, N.; Çubuk, S.; Yetimoğlu, E.K.; Kahraman, M.V. A novel polymeric fluorescence sensor based on acrylated citric acid for detection of melamine adulteration: Application in milk powder. Food Chem. 2022, 394, 133525. [Google Scholar] [CrossRef] [PubMed]
- Öztürk, S.; Demir, N. Development of a novel IMAC sorbent for the identification of melamine in dairy products by HPLC. J. Food Compos. Anal. 2021, 100, 103931. [Google Scholar] [CrossRef]
- Abedini, R.; Jahed Khaniki, G.; Molaee Aghaee, E.; Sadighara, P.; Nazmara, S.; Akbari-Adergani, B.; Naderi, M. Determination of melamine contamination in chocolates containing powdered milk by high-performance liquid chromatography (HPLC). J. Environ. Health Sci. Eng. 2021, 19, 165–171. [Google Scholar] [CrossRef]
- Li, C.; Zhu, L.; Yang, W.; He, X.; Zhao, S.; Zhang, X.; Tang, W.; Wang, J.; Yue, T.; Li, Z. Amino-functionalized Al–MOF for fluorescent detection of tetracyclines in milk. J. Agric. Food Chem. 2019, 67, 1277–1283. [Google Scholar] [CrossRef]
- Chen, L.; Cheng, Z.; Peng, X.; Qiu, G.; Wang, L. Eu-Doped MOF-based high-efficiency fluorescent sensor for detecting 2, 4-dinitrophenol and 2, 4, 6-trinitrophenol simultaneously. Anal. Methods 2022, 14, 44–51. [Google Scholar] [CrossRef]
- Dai, H.; Shi, Y.; Wang, Y.; Sun, Y.; Hu, J.; Ni, P.; Li, Z. A carbon dot based biosensor for melamine detection by fluorescence resonance energy transfer. Sens. Actuators B Chem. 2014, 202, 201–208. [Google Scholar] [CrossRef]
- Oh, S.Y.; Lee, M.J.; Heo, N.S.; Kim, S.; Oh, J.S.; Lee, Y.; Jeon, E.J.; Moon, H.; Kim, H.S.; Park, T.J. Cuvette-type LSPR sensor for highly sensitive detection of melamine in infant formulas. Sensors 2019, 19, 3839. [Google Scholar] [CrossRef] [PubMed]
- Xiang, Z.; Fang, C.; Leng, S.; Cao, D. An amino group functionalized metal–organic framework as a luminescent probe for highly selective sensing of Fe 3+ ions. J. Mater. Chem. A 2014, 2, 7662–7665. [Google Scholar] [CrossRef]












| Methods | Sensing Materials | LR | LOD | Ref. |
|---|---|---|---|---|
| Fluorescence | Tb@NH2-MIL-253 (Al) MOFs | 40–396.45 nM | 40 nM | This study |
| Colorimetric | Ag NPs | 0.2–2 ppm | 0.07 ppm | [30] |
| Fluorescence | Carbon nanodots-Hg2+ | 1–20 μM | 0.3 μM | [31] |
| Fluorescence | UiO-66-NH2@Ru MOFs | 0.27–110 μM | 90 nM | [11] |
| Fluorescence | Ag NPs/Carbon dots | 0.05–0.35 ppm | 0.017 ppm | [32] |
| Fluorescence | Cadmium selenide (CdSe) quantum dots (QDs) | 0.01 nM to 60 μM | 0.013 nM | [33] |
| Fluorescence/aptasensor | Sensitized terbium (III) | 1–10 ppm | 0.02 ppm | [34] |
| Fluorescence | Acrylate citric acid | 3.96–70.73 nM | 0.23 nM | [35] |
| HPLC | - | 0.015–0.1261 μg/mL | 0.015 μg/mL | [36] |
| HPLC | - | 0.017–0.052 μg/mL | 0.017 μg/mL | [37] |
| Sample | Spiked Melamine (mg/kg) | Founded Melamine by Tb@NH2-MIL-253 (Al) MOF (mg/kg) | Recovery (%) | RSD (%, n = 3) | Founded Melamine by HPLC (mg/kg) | Recovery (%) | RSD (%, n = 3) |
|---|---|---|---|---|---|---|---|
| Milk powder | 0 | - | - | - | - | - | - |
| 0.5 | 0.480 ± 0.05 | 99.5 ± 2.66 | 2.2 | 0.47 ± 0.1 | 94 ± 3.33 | 1.5 | |
| 1 | 1.026 ± 0.08 | 102.6 ± 1.33 | 1.9 | 1.05 ± 0.05 | 105 ± 2.66 | 2.8 | |
| 2.5 | 2.462 ± 0.11 | 98.5 ± 2.30 | 3.3 | 2.505 ± 0.3 | 100 ± 2.50 | 3.1 | |
| 5 | 5.004 ± 0.33 | 100.2 ± 0.97 | 1.8 | 5.15 ± 0.25 | 103 ± 1.20 | 2.0 |
Disclaimer/Publisher’s Note: The statements, opinions and data contained in all publications are solely those of the individual author(s) and contributor(s) and not of MDPI and/or the editor(s). MDPI and/or the editor(s) disclaim responsibility for any injury to people or property resulting from any ideas, methods, instructions or products referred to in the content. |
© 2023 by the authors. Licensee MDPI, Basel, Switzerland. This article is an open access article distributed under the terms and conditions of the Creative Commons Attribution (CC BY) license (https://creativecommons.org/licenses/by/4.0/).
Share and Cite
Alizadeh Sani, M.; Jahed-Khaniki, G.; Ehsani, A.; Shariatifar, N.; Dehghani, M.H.; Hashemi, M.; Hosseini, H.; Abdollahi, M.; Hassani, S.; Bayrami, Z.; et al. Metal–Organic Framework Fluorescence Sensors for Rapid and Accurate Detection of Melamine in Milk Powder. Biosensors 2023, 13, 94. https://doi.org/10.3390/bios13010094
Alizadeh Sani M, Jahed-Khaniki G, Ehsani A, Shariatifar N, Dehghani MH, Hashemi M, Hosseini H, Abdollahi M, Hassani S, Bayrami Z, et al. Metal–Organic Framework Fluorescence Sensors for Rapid and Accurate Detection of Melamine in Milk Powder. Biosensors. 2023; 13(1):94. https://doi.org/10.3390/bios13010094
Chicago/Turabian StyleAlizadeh Sani, Mahmood, Gholamreza Jahed-Khaniki, Ali Ehsani, Nabi Shariatifar, Mohammad Hadi Dehghani, Mohammad Hashemi, Hedayat Hosseini, Mohammad Abdollahi, Shokoufeh Hassani, Zahra Bayrami, and et al. 2023. "Metal–Organic Framework Fluorescence Sensors for Rapid and Accurate Detection of Melamine in Milk Powder" Biosensors 13, no. 1: 94. https://doi.org/10.3390/bios13010094
APA StyleAlizadeh Sani, M., Jahed-Khaniki, G., Ehsani, A., Shariatifar, N., Dehghani, M. H., Hashemi, M., Hosseini, H., Abdollahi, M., Hassani, S., Bayrami, Z., & McClements, D. J. (2023). Metal–Organic Framework Fluorescence Sensors for Rapid and Accurate Detection of Melamine in Milk Powder. Biosensors, 13(1), 94. https://doi.org/10.3390/bios13010094

