Graphitic Carbon Nitride Nanoheterostructures as Novel Platforms for the Electrochemical Sensing of the Chemotherapeutic and Immunomodulator Agent MTX
Abstract
1. Introduction
2. Experimental
2.1. Materials
2.2. Synthesis of Graphitic Carbon Nitride
2.3. Sensor Fabrication
2.4. Analysis of Real Samples
3. Results and Discussion
3.1. Morphological, Structural, Compositional, and Surface Characteristics of g-CN
3.2. DFT Characterization of the g-CN
3.3. Electrochemical Performance
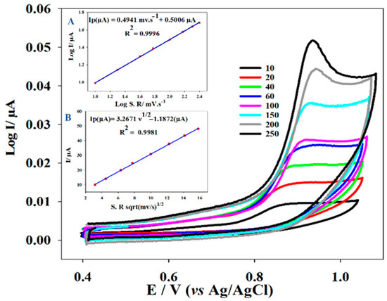
3.4. Effect of Scan Rate
3.5. Analytical Performance Validation
3.6. Analytical Application
3.6.1. Analysis of Spiked Plasma Samples
3.6.2. Analysis of Methotrexate® Tablet
3.6.3. Analysis of Spiked Urine Samples
3.7. Interference Studies
4. Comparison to Previous Studies
5. Conclusions
Supplementary Materials
Author Contributions
Funding
Institutional Review Board Statement
Informed Consent Statement
Data Availability Statement
Acknowledgments
Conflicts of Interest
References
- Malakouti, M.; Hoxie, D.; No, D.J.; Jacob, S.E. Methotrexate. J. Dermatol. Nurses Assoc. 2022, 10, 92–94. [Google Scholar] [CrossRef]
- Koźmiński, P.; Halik, P.K.; Chesori, R.; Gniazdowska, E. Overview of Dual-Acting Drug Methotrexate in Different Neurological Diseases, Autoimmune Pathologies and Cancers. Int. J. Mol. Sci. 2020, 21, 3483. [Google Scholar] [CrossRef] [PubMed]
- Van Dieren, J.M.; Kuipers, E.J.; Samsom, J.N.; Nieuwenhuis, E.E.; Van Der Woude, C.J. Revisiting the Immunomodulators Tacrolimus, Methotrexate, and Mycophenolate Mofetil: Their Mechanisms of Action and Role in the Treatment of IBD. Inflamm. Bowel. Dis. 2006, 12, 311–327. [Google Scholar] [CrossRef] [PubMed]
- Gomollón, F.; Rubio, S.; Charro, M.; García-López, S.; Muñoz, F.; Gisbert, J.P.; Domènech, E. Recomendaciones Del Grupo Español de Trabajo de Enfermedad de Crohn y Colitis Ulcerosa (GETECCU) Sobre El Uso de Metotrexato En La Enfermedad Inflamatoria Intestinal. Gastroenterol. Hepatol. 2015, 38, 24–30. [Google Scholar] [CrossRef] [PubMed]
- Colleoni, M.; Rocca, A.; Sandri, M.T.; Zorzino, L.; Masci, G.; Nolè, F.; Peruzzotti, G.; Robertson, C.; Orlando, L.; Cinieri, S.; et al. Low-Dose Oral Methotrexate and Cyclophosphamide in Metastatic Breast Cancer: Antitumor Activity and Correlation with Vascular Endothelial Growth Factor Levels. Ann. Oncol. 2002, 13, 73–80. [Google Scholar] [CrossRef]
- Bonadonna, G.; Valagussa, P.; Moliterni, A.; Zambetti, M.; Brambilla, C. Adjuvant Cyclophosphamide, Methotrexate, and Fluorouracil in Node-Positive Breast Cancer: The Results of 20 Years of Follow-Up. N. Engl. J. Med. 1995, 332, 901–906. [Google Scholar] [CrossRef]
- Yang, V.; Gouveia, M.J.; Santos, J.; Koksch, B.; Amorim, I.; Gärtner, F.; Vale, N. Breast Cancer: Insights in Disease and Influence of Drug Methotrexate. RSC Med. Chem. 2020, 11, 646–664. [Google Scholar] [CrossRef]
- Rozalen, M.; Sánchez-Polo, M.; Fernández-Perales, M.; Widmann, T.J.; Rivera-Utrilla, J. Synthesis of Controlled-Size Silver Nanoparticles for the Administration of Methotrexate Drug and Its Activity in Colon and Lung Cancer Cells. RSC Adv. 2020, 10, 10646–10660. [Google Scholar] [CrossRef]
- Abdelrady, H.; Hathout, R.M.; Osman, R.; Saleem, I.; Mortada, N.D. Exploiting Gelatin Nanocarriers in the Pulmonary Delivery of Methotrexate for Lung Cancer Therapy. Eur. J. Pharm. Sci. 2019, 133, 115–126. [Google Scholar] [CrossRef]
- Shan, W.; Zhang, X.; Li, M.; Deng, F.; Zhang, J. Over Expression of MiR-200c Suppresses Invasion and Restores Methotrexate Sensitivity in Lung Cancer A549 Cells. Gene 2016, 593, 265–271. [Google Scholar] [CrossRef]
- Fotoohi, A.K.; Albertioni, F. Mechanisms of Antifolate Resistance and Methotrexate Efficacy in Leukemia Cells. Leuk. Lymphoma 2009, 49, 410–426. [Google Scholar] [CrossRef] [PubMed]
- Evans, W.E.; Crom, W.R.; Abromowitch, M.; Dodge, R.; Look, A.T.; Bowman, W.P.; George, S.L.; Pui, C.-H. Clinical Pharmacodynamics of High-Dose Methotrexate in Acute Lymphocytic Leukemia. Identification of a Relation between Concentration and Effect. N. Engl. J. Med. 1986, 314, 471–477. [Google Scholar] [CrossRef] [PubMed]
- Georgescu, L.; Quinn, G.C.; Schwartzman, S.; Paget, S.A. Lymphoma in Patients with Rheumatoid Arthritis: Association with the Disease State or Methotrexate Treatment. Semin. Arthritis Rheum. 1997, 26, 794–804. [Google Scholar] [CrossRef]
- Glass, J.; Gruber, M.L.; Cher, L.; Hochberg, F.H. Preirradiation Methotrexate Chemotherapy of Primary Central Nervous System Lymphoma: Long-Term Outcome. J. Neurosurg. 1994, 81, 188–195. [Google Scholar] [CrossRef] [PubMed]
- Wolfe, F.; Michaud, K. Lymphoma in Rheumatoid Arthritis: The Effect of Methotrexate and Anti-Tumor Necrosis Factor Therapy in 18,572 Patients. Arthritis Rheum. 2004, 50, 1740–1751. [Google Scholar] [CrossRef]
- Wippel, B.; Gundle, K.R.; Dang, T.; Paxton, J.; Bubalo, J.; Stork, L.; Fu, R.; Ryan, C.W.; Davis, L.E. Safety and Efficacy of High-Dose Methotrexate for Osteosarcoma in Adolescents Compared with Young Adults. Cancer Med. 2019, 8, 111–116. [Google Scholar] [CrossRef]
- Kremer, J.M.; Alarcón, G.S.; Lightfoot, R.W.; Willkens, R.F.; Furst, D.E.; Williams, H.J.; Dent, P.B.; Weinblatt, M.E. Methotrexate for Rheumatoid Arthritis. Arthritis Rheum. 1994, 37, 316–328. [Google Scholar] [CrossRef]
- Cronstein, B.N. Low-Dose Methotrexate: A Mainstay in the Treatment of Rheumatoid Arthritis. Pharm. Rev. 2005, 57, 163–172. [Google Scholar] [CrossRef]
- Boffa, M.J.; Chalmers, R.J.G. Methotrexate for Psoriasis. Clin. Exp. Derm. 1996, 21, 399–408. [Google Scholar] [CrossRef]
- Patel, V.; Wang, Y.; Macdonald, J.K.; Mcdonald, J.W.D.; Chande, N. Methotrexate for Maintenance of Remission in Crohn’s Disease. Cochrane Database Syst. Rev. 2014, 2014, CD006884. [Google Scholar] [CrossRef]
- Baughman, R.P.; Lower, E.E. A Clinical Approach to the Use of Methotrexate for Sarcoidosis. Thorax 1999, 54, 742–746. [Google Scholar] [CrossRef] [PubMed]
- Bedoui, Y.; Guillot, X.; Sélambarom, J.; Guiraud, P.; Giry, C.; Jaffar-Bandjee, M.C.; Ralandison, S.; Gasque, P. Methotrexate an Old Drug with New Tricks. Int. J. Mol. Sci. 2019, 20, 5023. [Google Scholar] [CrossRef] [PubMed]
- Edelman, J.; Russell, A.S.; Biggs, D.F.; Rothwell, R.S.; Coates, J. Methotrexate levels, a guide to therapy? Clin. Exp. Rheumatol. 1983, 1, 53–56. [Google Scholar]
- Kitamura, M.; Kitamura, S.; Fujioka, M.; Kamijo, R.; Sato, S.; Sawayama, Y.; Uramatsu, T.; Obata, Y.; Mochizuki, Y.; Nishikido, M.; et al. Methotrexate-Induced Acute Kidney Injury in Patients with Hematological Malignancies: Three Case Reports with Literature Review. Ren. Replace. Ther. 2018, 4, 39. [Google Scholar] [CrossRef]
- May, J.; Carson, K.R.; Butler, S.; Liu, W.; Bartlett, N.L.; Wagner-Johnston, N.D. High Incidence of Methotrexate Associated Renal Toxicity in Patients with Lymphoma: A Retrospective Analysis. Leuk. Lymphoma 2014, 55, 1345–1349. [Google Scholar] [CrossRef]
- Sotoudehmanesh, R.; Anvari, B.; Akhlaghi, M.; Shahraeeni, S.; Kolahdoozan, S.; Sotoudehmanesh, R. Methotrexate Hepatotoxicity in Patients with Rheumatoid Arthritis. Middle East J. Dig. Dis. 2010, 2, 104. [Google Scholar]
- Bath, R.K.; Brar, N.K.; Forouhar, F.A.; Wu, G.Y. A Review of Methotrexate-Associated Hepatotoxicity. J. Dig. Dis. 2014, 15, 517–524. [Google Scholar] [CrossRef]
- Sosin, M.; Handa, S. Low Dose Methotrexate and Bone Marrow Suppression. BMJ 2003, 326, 266–267. [Google Scholar] [CrossRef]
- Clarke, A.K. Methotrexate and Bone Marrow Suppression: Standard Collaborative Care Will Be Made More Difficult. BMJ 2003, 326, 1145. [Google Scholar] [CrossRef][Green Version]
- Benekli, M.; Güllü, I.H.; Savaş, M.C.; Kadayifçi, A.; Altundaǧ, M.K.; Tekuzman, G.; Firat, D. Acute Tumor Lysis Syndrome Following Intrathecal Methotrexate. Leuk. Lymphoma 1996, 22, 361–363. [Google Scholar] [CrossRef]
- Ibrahim, A.; Ahmed, M.; Conway, R.; Carey, J.J. Risk of Infection with Methotrexate Therapy in Inflammatory Diseases: A Systematic Review and Meta-Analysis. J. Clin. Med. 2018, 8, 15. [Google Scholar] [CrossRef] [PubMed]
- Ensafi, A.A.; Nasr-Esfahani, P.; Rezaei, B. Simultaneous Detection of Folic Acid and Methotrexate by an Optical Sensor Based on Molecularly Imprinted Polymers on Dual-Color CdTe Quantum Dots. Anal. Chim. Acta 2017, 996, 64–73. [Google Scholar] [CrossRef] [PubMed]
- Deng, Z.; Li, H.; Tian, Q.; Zhou, Y.; Yang, X.; Yu, Y.; Jiang, B.; Xu, Y.; Zhou, T. Electrochemical Detection of Methotrexate in Serum Sample Based on the Modified Acetylene Black Sensor. Microchem. J. 2020, 157, 105058. [Google Scholar] [CrossRef]
- Schofield, R.C.; Ramanathan, L.V.; Murata, K.; Grace, M.; Fleisher, M.; Pessin, M.S.; Carlow, D.C. Development and Validation of a Turbulent Flow Chromatography and Tandem Mass Spectrometry Method for the Quantitation of Methotrexate and Its Metabolites 7-Hydroxy Methotrexate and DAMPA in Serum. J. Chromatogr. B Anal. Technol. Biomed. Life Sci. 2015, 1002, 169–175. [Google Scholar] [CrossRef] [PubMed]
- Zhu, Z.; Wu, H.; Wu, S.; Huang, Z.; Zhu, Y.; Xi, L. Determination of Methotrexate and Folic Acid by Ion Chromatography with Electrochemical Detection on a Functionalized Multi-Wall Carbon Nanotube Modified Electrode. J. Chromatogr. A 2013, 1283, 62–67. [Google Scholar] [CrossRef] [PubMed]
- Maduraiveeran, G.; Sasidharan, M.; Ganesan, V. Electrochemical Sensor and Biosensor Platforms Based on Advanced Nanomaterials for Biological and Biomedical Applications. Biosens. Bioelectron. 2018, 103, 113–129. [Google Scholar] [CrossRef]
- Zhao, Z.; Ma, Y.; Fan, J.; Xue, Y.; Chang, H.; Masubuchi, Y.; Yin, S. Synthesis of Graphitic Carbon Nitride from Different Precursors by Fractional Thermal Polymerization Method and Their Visible Light Induced Photocatalytic Activities. J. Alloys Compd. 2018, 735, 1297–1305. [Google Scholar] [CrossRef]
- Miller, T.S.; Jorge, A.B.; Suter, T.M.; Sella, A.; Corà, F.; McMillan, P.F. Carbon Nitrides: Synthesis and Characterization of a New Class of Functional Materials. Phys. Chem. Chem. Phys. 2017, 19, 15613–15638. [Google Scholar] [CrossRef]
- Dong, G.; Zhang, Y.; Pan, Q.; Qiu, J. A Fantastic Graphitic Carbon Nitride (g-C3N4) Material: Electronic Structure, Photocatalytic and Photoelectronic Properties. J. Photochem. Photobiol. C Photochem. Rev. 2014, 20, 33–50. [Google Scholar] [CrossRef]
- Kesavan, G.; Chen, S.M. Highly Sensitive Electrochemical Sensor Based on Carbon-Rich Graphitic Carbon Nitride as an Electrocatalyst for the Detection of Diphenylamine. Microchem. J. 2020, 159, 105587. [Google Scholar] [CrossRef]
- Hashem, E.M.; Hamza, M.A.; El-Shazly, A.N.; Abd El-Rahman, S.A.; El-Tanany, E.M.; Mohamed, R.T.; Allam, N.K. Novel Z-Scheme/Type-II CdS@ZnO/g-C3N4 Ternary Nanocomposites for the Durable Photodegradation of Organics: Kinetic and Mechanistic Insights. Chemosphere 2021, 277, 128730. [Google Scholar] [CrossRef] [PubMed]
- Delley, B. From Molecules to Solids with the DMol3 Approach. J. Chem. Phys. 2000, 113, 7756. [Google Scholar] [CrossRef]
- Cao, M.; Zhang, X.; Qin, J.; Liu, R. Enhancement of Hydrogen Evolution Reaction Performance of Graphitic Carbon Nitride with Incorporated Nickel Boride. ACS Sustain. Chem. Eng. 2018, 6, 16198–16204. [Google Scholar] [CrossRef]
- Ghanem, L.G.; Hamza, M.A.; Taha, M.M.; Allam, N.K. Symmetric Supercapacitor Devices Based on Pristine G-C3N4 Mesoporous Nanosheets with Exceptional Stability and Wide Operating Voltage Window. J. Energy Storage 2022, 52, 104850. [Google Scholar] [CrossRef]
- Wang, X.; Maeda, K.; Thomas, A.; Takanabe, K.; Xin, G.; Carlsson, J.M.; Domen, K.; Antonietti, M. A Metal-Free Polymeric Photocatalyst for Hydrogen Production from Water under Visible Light. Nat. Mater. 2009, 8, 76–80. [Google Scholar] [CrossRef]
- Gameel, K.M.; Sharafeldin, I.M.; Allam, N.K. First-Principles Descriptors of CO Chemisorption on Ni and Cu Surfaces. Phys. Chem. Chem. Phys. 2019, 21, 11476–11487. [Google Scholar] [CrossRef] [PubMed]
- Tanaka, T.; Yazaki, R.; Ohshima, T. Chemoselective Catalytic α-Oxidation of Carboxylic Acids: Iron/Alkali Metal Cooperative Redox Active Catalysis. J. Am. Chem. Soc. 2020, 142, 4517–4524. [Google Scholar] [CrossRef] [PubMed]
- Emsley, J. The Elements; Clarendon Press: Oxford, UK, 1998. [Google Scholar]
- Compton, R.G.; Banks, C.E. Understanding Voltammetry; World Scientific: Singapore, 2007; pp. 1–371. [Google Scholar] [CrossRef]
- Compton, R.G.; Banks, C.E. Cyclic Voltammetry at Macroelectrodes. In Understanding Voltammetry; World Scientific: Singapore, 2007; pp. 107–151. [Google Scholar] [CrossRef]
- Saleh, M.A.; Mohamed, M.A.; Shahat, A.; Allam, N.K. Sensitive Determination of SARS-COV-2 and the Anti-Hepatitis C Virus Agent Velpatasvir Enabled by Novel Metal-Organic Frameworks. ACS Omega 2021, 6, 26791–26798. [Google Scholar] [CrossRef]
- Asran, A.M.; Mohamed, M.A.; Ahmed, N.; Banks, C.E.; Allam, N.K. An Innovative Electrochemical Platform for the Sensitive Determination of the Hepatitis B Inhibitor Entecavir with Ionic Liquid as A Mediator. J. Mol. Liquids 2020, 302, 112498. [Google Scholar] [CrossRef]
- Travica, N.; Ried, K.; Sali, A.; Hudson, I.; Scholey, A.; Pipingas, A. Plasma Vitamin C Concentrations and Cognitive Function: A Cross-Sectional Study. Front. Aging Neurosci. 2019, 11, 72. [Google Scholar] [CrossRef]
- Jandaghi, N.; Jahani, S.; Foroughi, M.M.; Kazemipour, M.; Ansari, M. Cerium-Doped Flower-Shaped ZnO Nano-Crystallites as a Sensing Component for Simultaneous Electrochemical Determination of Epirubicin and Methotrexate. Microchim. Acta 2020, 187, 24. [Google Scholar] [CrossRef] [PubMed]
- Wang, Y.; Xie, J.; Tao, L.; Tian, H.; Wang, S.; Ding, H. Simultaneous Electrochemical Determination of Epirubicin and Methotrexate in Human Blood Using a Disposable Electrode Modified with Nano-Au/MWNTs-ZnO Composites. Sens. Actuators B Chem. 2014, 204, 360–367. [Google Scholar] [CrossRef]
- Lima, H.R.S.; Airton de Oliveira Farias, E.; Teixeira, P.R.S.; Eiras, C.; Nunes, L.C.C. Blend Films Based on Biopolymers Extracted from Babassu Mesocarp (Orbignya Phalerata) for the Electrochemical Detection of Methotrexate Antineoplastic Drug. J. Solid State Electrochem. 2019, 23, 3153–3164. [Google Scholar] [CrossRef]










| Atom | Charge (eV) |
|---|---|
| O1 | −0.401 |
| O2 | −0.383 |
| O3 | −0.391 |
| O4 | −0.424 |
| O5 | −0.480 |
| N6 | −0.391 |
| N7 | −0.358 |
| N8 | −0.368 |
| Species | Formation Energy (eV) | Adsorption Energy (Ea) (eV) |
|---|---|---|
| MTX (EAdsorbate) | −43,221.7222 | − |
| g-CN (EAdsorbent) | −145,010.3784 | − |
| Pos 1 (g-NC=O-MTX) | −188,225.5043 | 6.59633 |
| Pos 2 (g-NC=OH-MTX) | −188,186.2121 | 45.8885 |
| Pos 3 (g-NC=OH-MTX) & (g-NC=O-MTX) same group | −188,089.7114 | 142.3892 |
| Pos 4 (g-NC=OH-MTX) & (g-NC=O-MTX) different group | −188,183.6613 | 48.4393 |
| Pos 5 (g-NC=NH2-MTX) | −188,236.3192 | −4.2185 |
| Pos 6 (g-CN =HO-MTX) | −188,231.3822 | 0.7184 |
| Pos 7 (g-CN =HNH-MTX) | −188,231.1617 | 0.9390 |
| Pos 8 (g-CN =H2N-MTX) | −188,231.3344 | 0.7662 |
| Pharmaceutical Formulations | Amount Added (µM) | Amount Found (µM) | Recovery% |
|---|---|---|---|
| Methotrexate® (2.5 MG/TAB) | 0.11 | 0.12 | 104.99 |
| 0.66 | 0.67 | 100.61 | |
| 0.88 | 0.83 | 93.84 | |
| 1.11 | 1.14 | 102.43 | |
| 4.42 | 4.42 | 99.80 | |
| 6.62 | 6.66 | 100.55 | |
| 10.99 | 10.76 | 97.94 | |
| 13.16 | 13.33 | 101.29 | |
| Mean ± S.D. | 4.74 ± 0.05 | ||
| Plasma | 0.22 | 0.23 | 101.34 |
| 0.44 | 0.44 | 99.98 | |
| 0.67 | 0.66 | 99.10 | |
| 0.89 | 0.89 | 100.07 | |
| 1.11 | 1.11 | 100.25 | |
| 6.62 | 6.88 | 103.95 | |
| 8.81 | 9.05 | 102.75 | |
| 10.99 | 10.49 | 95.47 | |
| 27.03 | 27.09 | 100.24 | |
| Mean ± S.D. | 6.32 ± 0.09 | ||
| Urine | 0.22 | 0.22 | 100.26 |
| 0.44 | 0.44 | 100.12 | |
| 0.67 | 0.68 | 101.46 | |
| 0.89 | 0.87 | 97.41 | |
| 1.11 | 1.12 | 101.12 | |
| 1.10 | 1.20 | 109.08 | |
| 2.22 | 2.09 | 94.23 | |
| 6.62 | 6.57 | 99.14 | |
| 10.99 | 11.25 | 102.38 | |
| 13.16 | 12.98 | 98.65 | |
| Mean ± S.D. | 3.74 ± 0.05 |
| Method | Electrode | Modifier | pH | LWR | LOD | Application | Ref. |
|---|---|---|---|---|---|---|---|
| CV/EIS | GCE | Quaternary amine functionalized multi-wall carbon nanotubes (q-MWNTs) | 5.0 | 0.022 to 44.01 μM | 0.44 pM | Injection/tablet/urine/sample | [35] |
| CV/EIS | acetylene black paste electrode (ABPE) | acetylene black (AB) with stearyl trimethyl ammonium bromide (STAB) | 6.0 | 0.005 μM to 7.0 μM | 3.07 nM | Serum | [33] |
| CV/DPV | GCE | cerium-doped ZnO nanoflowers (Ce-ZnO/GCE) | 7.0 | 0.01 to 500 μM | 2.3 nM | Injection/spiked blood | [54] |
| CV/SWV | SPE | Au/MWNTs-ZnO/SPE | 4.5 | 0.02 to 1.00 μM | 10 nM | whole blood samples | [55] |
| CV/SWV | ITO (indium tin oxide) | biopolymers extracted from babassu mesocarp (BM) | 3.5 | 0.5 to 5 0 μM | 0.59 μM | - | [56] |
| CV/SWV/EIS | g-CN | CPE | 7.0 | 0.22 × to 1.11 μM and 1.11 to 27.03 | 12.45 nM | Tablet/urine/sample | This study |
Disclaimer/Publisher’s Note: The statements, opinions and data contained in all publications are solely those of the individual author(s) and contributor(s) and not of MDPI and/or the editor(s). MDPI and/or the editor(s) disclaim responsibility for any injury to people or property resulting from any ideas, methods, instructions or products referred to in the content. |
© 2022 by the authors. Licensee MDPI, Basel, Switzerland. This article is an open access article distributed under the terms and conditions of the Creative Commons Attribution (CC BY) license (https://creativecommons.org/licenses/by/4.0/).
Share and Cite
Elfarargy, R.G.; Saleh, M.A.; Abodouh, M.M.; Hamza, M.A.; Allam, N.K. Graphitic Carbon Nitride Nanoheterostructures as Novel Platforms for the Electrochemical Sensing of the Chemotherapeutic and Immunomodulator Agent MTX. Biosensors 2023, 13, 51. https://doi.org/10.3390/bios13010051
Elfarargy RG, Saleh MA, Abodouh MM, Hamza MA, Allam NK. Graphitic Carbon Nitride Nanoheterostructures as Novel Platforms for the Electrochemical Sensing of the Chemotherapeutic and Immunomodulator Agent MTX. Biosensors. 2023; 13(1):51. https://doi.org/10.3390/bios13010051
Chicago/Turabian StyleElfarargy, Reham G., Mahmoud A. Saleh, Mohamed Mahrous Abodouh, Mahmoud A. Hamza, and Nageh K. Allam. 2023. "Graphitic Carbon Nitride Nanoheterostructures as Novel Platforms for the Electrochemical Sensing of the Chemotherapeutic and Immunomodulator Agent MTX" Biosensors 13, no. 1: 51. https://doi.org/10.3390/bios13010051
APA StyleElfarargy, R. G., Saleh, M. A., Abodouh, M. M., Hamza, M. A., & Allam, N. K. (2023). Graphitic Carbon Nitride Nanoheterostructures as Novel Platforms for the Electrochemical Sensing of the Chemotherapeutic and Immunomodulator Agent MTX. Biosensors, 13(1), 51. https://doi.org/10.3390/bios13010051

