Development of an Electrochemical CCL5 Chemokine Immunoplatform for Rapid Diagnosis of Multiple Sclerosis
Abstract
:1. Introduction
2. Experimental
2.1. Apparatus and Electrodes
2.2. Reagents and Solutions
2.3. Preparation of the Magnetic Bioconjugates
2.4. Amperometric Detection
2.5. Analysis of Serum Samples
3. Results and Discussion
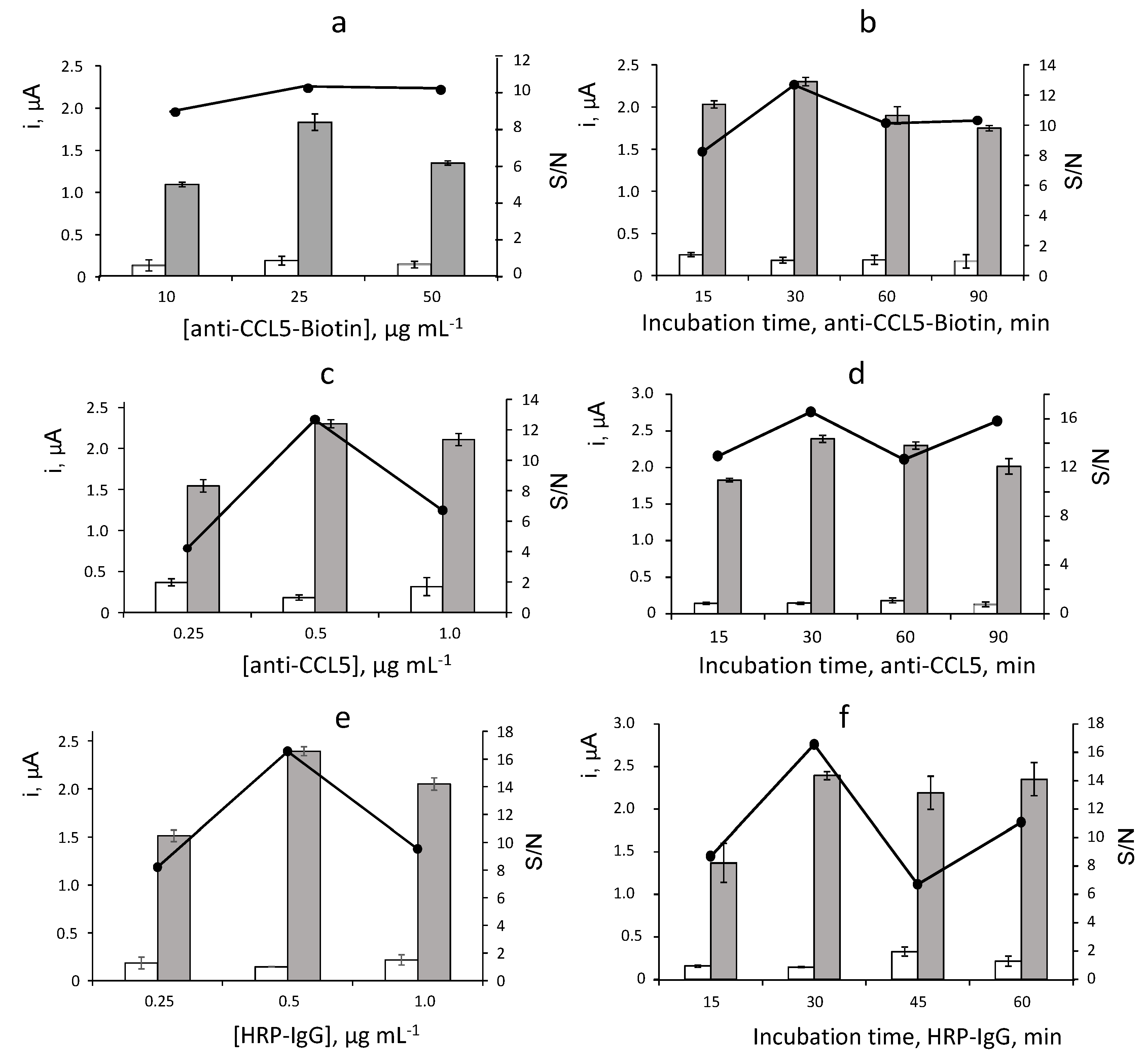
3.1. Optimization of the Variables Involved in the Immunosensor Performance
3.2. Characterization Studies
3.3. Analytical Characteristics of the Immunosensor for the Determination of CCL5
3.4. Selectivity
3.5. Storage Stability
3.6. Determination of CCL5 in Serum of Healthy Individuals and MS Patients
4. Conclusions
Author Contributions
Funding
Institutional Review Board Statement
Informed Consent Statement
Data Availability Statement
Acknowledgments
Conflicts of Interest
References
- Stanczyk, J.; Kowalski, M.L.; Grzegorczyk, V.; Szkudlinska, B.; Jarzebska, M.; Marciniak, M.; Synder, M. RANTES and chemotactic activity in synovial fluids from patients with rheumatoid arthritis and osteoarthritis. Mediat. Inflamm. 2005, 6, 343–348. [Google Scholar] [CrossRef] [PubMed]
- Appay, V.; Rowland-Jones, S.L. RANTES: A versatile and controversial chemokine. Trends Immunol. 2001, 22, 83–87. [Google Scholar] [CrossRef]
- Sindern, E.; Niederkinkhaus, Y.; Henschel, M.; Ossege, L.M.; Patzold, T.; Malin, J.P. Differential release of β-chemokines in serum and CSF of patients with relapsing-remitting multiple sclerosis. Acta Neurol. Scand. 2001, 104, 88–91. [Google Scholar] [CrossRef] [PubMed]
- Sørensen, T.L.; Tani, M.; Jensen, J.; Pierce, B.; Lucchinetti, C.; Folcik, V.A.; Qin, S.; Rottman, J.; Sellebjerg, J.; Strieter, R.M.; et al. Expression of specific chemokines and chemokine receptors in the central nervous system of multiple sclerosis patients. J. Clin. Investig. 1999, 103, 807–815. [Google Scholar] [CrossRef]
- Mori, F.; Nisticò, R.; Nicoletti, C.G.; Zagaglia, S.; Mandolesi, G.; Piccinin, S.; Martino, G.; Finardi, A.; Rossini, P.M.; Marfia, G.A.; et al. RANTES correlates with inflammatory activity and synaptic excitability in multiple sclerosis. Mult. Scler. J. 2016, 22, 1405–1412. [Google Scholar] [CrossRef]
- Lechner, J.; von Baehr, V.; Schick, F. RANTES/CCL5 signaling from jawbone cavitations to epistemology of multiple sclerosis research and case studies. Degener. Neurol. Neuromuscul. Dis. 2021, 11, 41–50. [Google Scholar] [CrossRef]
- Mahad, D.J.; Howell, S.J.L.; Woodroofe, M.N. Expression of chemokines in the CSF and correlation with clinical disease activity in patients with multiple sclerosis. J. Neurol. Neurosurg. Psychiatry 2002, 72, 498–502. [Google Scholar] [CrossRef]
- Iarlori, C.; Reale, M.; Lugaresi, A.; De Luca, G.; Bonanni, L.; Di Lorio, A.; Feliciani, C.; Conti, P.; Gambi, D. RANTES production and expression is reduced in relapsing–remitting multiple sclerosis treated with interferon beta-1b. J. Neuroimmunol. 2000, 107, 100–107. [Google Scholar] [CrossRef]
- Bartosik-Psujek, H.; Stermasiak, Z. The levels of chemokines CXCL8, CCL2 and CCL5 in multiple sclerosis patients are linked to the activity of the disease. Eur. J. Neurol. 2005, 12, 49–54. [Google Scholar] [CrossRef]
- Glabinski, A.R.; Bielecki, B.; Ransohoff, R.M. Chemokine upregulation follows cytokine expression in chronic relapsing experimental autoimmune encephalomyelitis. Scand. J. Immunol. 2003, 58, 81–88. [Google Scholar] [CrossRef]
- Noris, M.; Daina, E.; Gamba, S.; Bonazzola, S.; Remuzzi, G. Interleukin-6 and RANTES in Takayasu arteritis—A guide for therapeutic decisions? Circulation 1999, 100, 55–60. [Google Scholar] [CrossRef]
- Herder, C.; Illig, T.; Baumert, J.; Müller, M.; Klopp, N.; Khuseyinova, N.; Meisinger, C.; Poschen, U.; Martin, S.; Koenig, W.; et al. RANTES/CCL5 gene polymorphisms, serum concentrations, and incident type 2 diabetes: Results from the MONICA/KORA Augsburg case–cohort study, 1984–2002. Eur. J. Endocrinol. 2008, 158, R1–R5. [Google Scholar] [CrossRef]
- Rentzos, M.; Nikolaou, C.; Rombos, C.A.; Evangelopoulos, M.E.; Dimitrakopoulos, A.; Kararizou, E.; Koutsis, G.; Zoga, M.; Tsoutsou, A.; Sfangos, K. Circulating interleukin-15 and RANTES chemokine in MS patients: Effect of treatment with methylprednisolone in patients with relapse. Neurol. Res. 2010, 32, 684–689. [Google Scholar] [CrossRef]
- Tejera-Alhambra, M.; Casrouge, A.; de Andrés, C.; Seyfferth, A.; Ramos-Medina, R.; Alonso, B.; Vega, J.; Fernández-Paredes, L.; Albert, M.L.; Sánchez-Ramón, S. Plasma biomarkers discriminate clinical forms of multiple sclerosis. PLoS ONE 2015, 10, e0128952. [Google Scholar] [CrossRef]
- Campuzano, S.; Pedrero, M.; Yáñez-Sedeño, P.; Pingarrón, J.M. New challenges in point of care electrochemical detection of clinical biomarkers. Sens. Actuators B 2021, 345, 130349. [Google Scholar] [CrossRef]
- Sánchez-Tirado, E.; Salvo, C.; González-Cortés, A.; Yáñez-Sedeño, P.; Langa, F.; Pingarrón, J.M. Electrochemical immunosensor for simultaneous determination of interleukin-1 beta and tumor necrosis factor alpha in serum and saliva using dual screen printed electrodes modified with functionalized double-walled carbon nanotubes. Anal. Chim. Acta 2017, 959, 66–73. [Google Scholar] [CrossRef]
- Sánchez-Tirado, E.; González-Cortés, A.; Yáñez-Sedeño, P.; Pingarrón, J.M. Electrochemical immunosensor for the determination of the cytokine interferon gamma (IFN-γ) in saliva. Talanta 2020, 211, 120761. [Google Scholar] [CrossRef]
- Guerrero, S.; Cadano, D.; Agüí, L.; Barderas, R.; Campuzano, S.; Yañez-Sedeño, P.; Pingarrón, J.M. Click chemistry-assisted antibodies immobilization for immunosensing of CXCL7 chemokine in serum. J. Electroanal. Chem. 2019, 837, 246–253. [Google Scholar] [CrossRef]
- Yáñez-Sedeño, P.; Campuzano, S.; Pingarrón, J.M. Magnetic particles coupled to disposable screen printed transducers for electrochemical biosensing. Sensors 2016, 16, 1585. [Google Scholar] [CrossRef]
- Guerrero, S.; Sánchez-Tirado, E.; Agüí, L.; González-Cortés, A.; Yáñez-Sedeño, P.; Pingarrón, J.M. Monitoring autoimmune diseases by bioelectrochemical detection of autoantibodies. Application to the determination of anti-myelin basic protein autoantibodies in serum of multiple sclerosis patients. Talanta 2022, 243, 123304. [Google Scholar] [CrossRef]
- Zhao, S.; Walker, D.S.; Reichert, W.M. Cooperativity in the binding of avidin to biotin-lipid-doped Langmuir-Blodgett films. Langmuir 1993, 9, 3166–3173. [Google Scholar] [CrossRef]
- Jain, A.; Barve, A.; Zhao, Z.; Jin, W.; Cheng, K. Comparison of avidin, neutravidin, and streptavidin as nanocarriers for efficient siRNA delivery. Mol. Pharm. 2017, 14, 1517–1527. [Google Scholar] [CrossRef] [PubMed]
- Nguyen, T.T.; Sly, K.L.; Conboy, J.C. Comparison of the energetics of avidin, streptavidin, neutravidin, and anti-biotin antibody binding to biotinylated lipid bilayer examined by second-harmonic generation. Anal. Chem. 2012, 84, 201–208. [Google Scholar] [CrossRef]
- Arévalo, B.; Serafín, V.; Campuzano, S.; Yáñez-Sedeño, P.; Pingarrón, J.M. Electrochemical immunosensor for the determination of prolactin in saliva and breast milk. Microchem. J. 2021, 169, 106589. [Google Scholar] [CrossRef]
- Eguílaz, M.; Moreno-Guzmán, M.; Campuzano, S.; González-Cortés, A.; Yáñez-Sedeño, P.; Pingarrón, J.M. An electrochemical immunosensor for testosterone using functionalized magnetic beads and screen-printed carbon electrodes. Biosens. Bioelectron. 2010, 26, 517–522. [Google Scholar] [CrossRef]
- Pusomjit, P.; Teengam, P.; Thepsuparungsikul, N.; Sanongkiet, S.; Chailapakul, O. Impedimetric determination of cortisol using screen-printed electrode with aptamer-modified magnetic beads. Microchim. Acta 2021, 188, 41. [Google Scholar] [CrossRef]
- Tertis, M.; Melinte, G.; Ciui, B.; Simon, I.; Stiufiuc, R.; Sandulescu, R.; Cristea, C. A novel label free electrochemical magnetoimmunosensor for human interleukin-6 quantification in serum. Electroanalysis 2019, 31, 282–292. [Google Scholar] [CrossRef]
- Malla, P.; Liao, H.P.; Liu, C.H.; Wud, W.C. Electrochemical immunoassay for serum parathyroid hormone using screen-printed carbon electrode and magnetic beads. J. Electroanal. Chem. 2021, 895, 115463. [Google Scholar] [CrossRef]
- Hornbeck, P.V.; Zhang, B.; Murray, B.; Kornhauser, J.M.; Latham, V.; Skrzypek, E. PhosphoSitePlus, 2014: Mutations, PTMs and ecalibrations. Nucleic Acids Res. 2015, 43, D512–D520. [Google Scholar] [CrossRef]
- Lisdat, F.; Schäfer, D. The use of electrochemical impedance spectroscopy for biosensing. Anal. Bioanal. Chem. 2008, 391, 1555–1567. [Google Scholar] [CrossRef]
- Ramanavicius, A.; Finkelsteinas, A.; Cesiulis, H.; Ramanaviciene, A. Electrochemical impedance spectroscopy of polypyrrole based electrochemical immunosensor. Bioelectrochemistry 2010, 79, 11–16. [Google Scholar] [CrossRef]







| Variable | Tested Range | Selected Value |
|---|---|---|
| anti-CCL5-Biotin, µg·mL−1 | 10–50 | 25 |
| anti-CCL5-Biotin incubation time, min | 15–90 | 30 |
| anti-CCL5, µg·mL−1 | 0.25–1 | 0.5 |
| anti-CCL5 incubation time, min | 15–90 | 30 |
| HRP- IgG, µg·mL−1 | 0.25–1 | 0.5 |
| HRP- IgG incubation time, min | 15–60 | 30 |
| Sample | Reference * | CCL5, ng·mL−1 Immunosensor ELISA | |
|---|---|---|---|
| Healthy individual | S468087 | 15.0 ± 0.1 | 15.5 ± 0.5 |
| Healthy individual | S468160 | 13 ± 0.1 | 13.2 ± 0.2 |
| MS patient | MS338745 | 48.9 ± 0.3 | 48.6 ± 0.6 |
| MS patient | MS337913 | 79.7 ± 0.5 | 80.1 ± 0.5 |
| MS patient | MS354878 | 94.9 ± 0.5 | 94.5 ± 0.6 |
| MS patient | MS398619 | 147.7 ± 0.6 | 148.1 ± 0.8 |
Publisher’s Note: MDPI stays neutral with regard to jurisdictional claims in published maps and institutional affiliations. |
© 2022 by the authors. Licensee MDPI, Basel, Switzerland. This article is an open access article distributed under the terms and conditions of the Creative Commons Attribution (CC BY) license (https://creativecommons.org/licenses/by/4.0/).
Share and Cite
Guerrero, S.; Sánchez-Tirado, E.; Agüí, L.; González-Cortés, A.; Yáñez-Sedeño, P.; Pingarrón, J.M. Development of an Electrochemical CCL5 Chemokine Immunoplatform for Rapid Diagnosis of Multiple Sclerosis. Biosensors 2022, 12, 610. https://doi.org/10.3390/bios12080610
Guerrero S, Sánchez-Tirado E, Agüí L, González-Cortés A, Yáñez-Sedeño P, Pingarrón JM. Development of an Electrochemical CCL5 Chemokine Immunoplatform for Rapid Diagnosis of Multiple Sclerosis. Biosensors. 2022; 12(8):610. https://doi.org/10.3390/bios12080610
Chicago/Turabian StyleGuerrero, Sara, Esther Sánchez-Tirado, Lourdes Agüí, Araceli González-Cortés, Paloma Yáñez-Sedeño, and José M. Pingarrón. 2022. "Development of an Electrochemical CCL5 Chemokine Immunoplatform for Rapid Diagnosis of Multiple Sclerosis" Biosensors 12, no. 8: 610. https://doi.org/10.3390/bios12080610
APA StyleGuerrero, S., Sánchez-Tirado, E., Agüí, L., González-Cortés, A., Yáñez-Sedeño, P., & Pingarrón, J. M. (2022). Development of an Electrochemical CCL5 Chemokine Immunoplatform for Rapid Diagnosis of Multiple Sclerosis. Biosensors, 12(8), 610. https://doi.org/10.3390/bios12080610

