Dual-Wavelength Fluorescence Polarization Immunoassay for Simultaneous Detection of Sulfonamides and Antibacterial Synergists in Milk
Abstract
1. Introduction
2. Materials and Methods
2.1. Materials
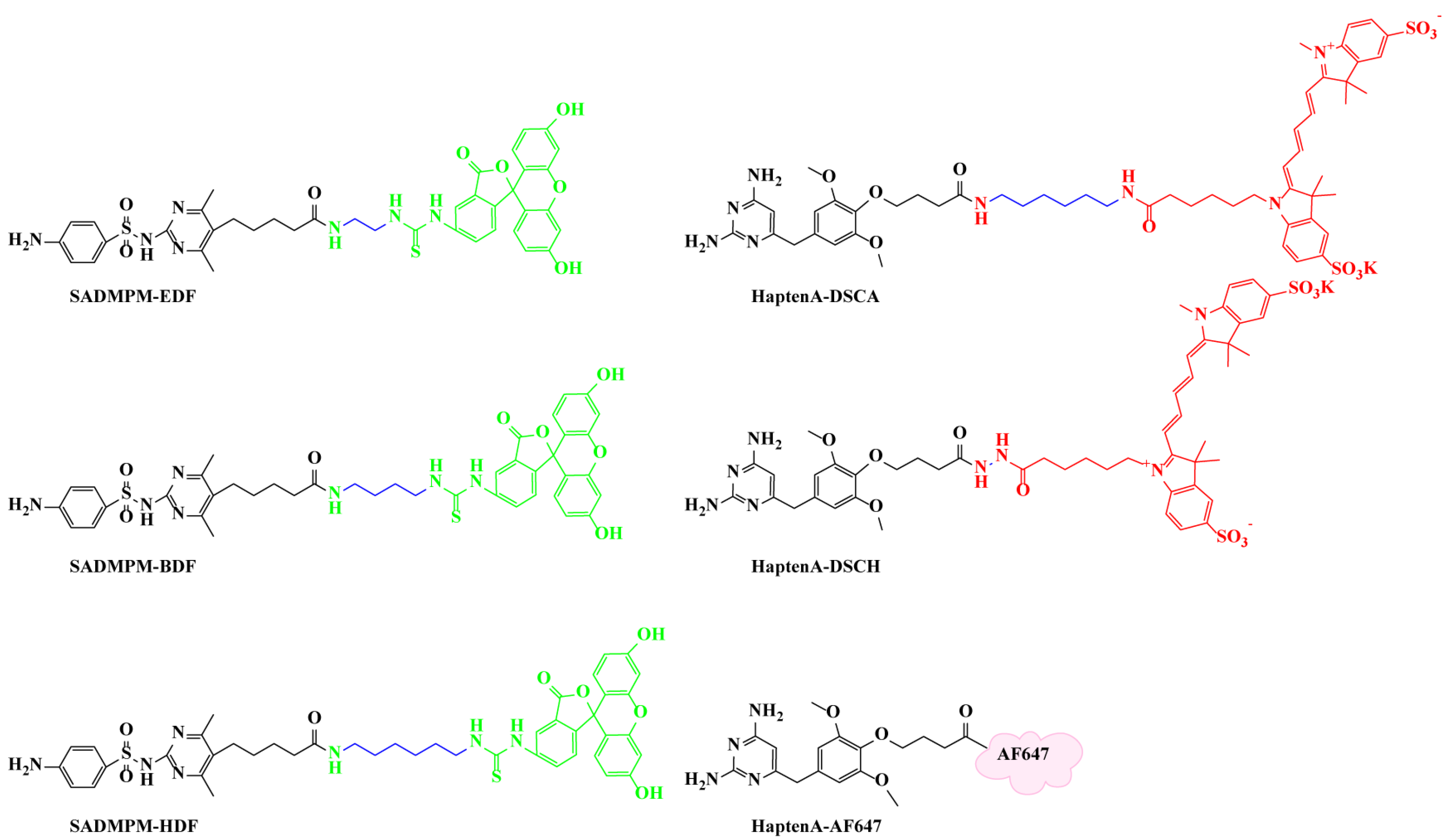
2.2. Synthesis and Characterization of Tracers
2.3. Development and Optimization of DWFPIA
2.3.1. Protocol of the DWFPIA
2.3.2. Screening of Antibody-Tracer Pairs
2.3.3. Competitive Standard Curves of DWFPIA
2.3.4. Optimization of the DWFPIA
2.3.5. Preparation of Milk Sample
3. Results and Discussions
3.1. Preparation and Characterization of Tracers
3.2. Optimization of Antibody-Tracer Pairs
3.3. Development of DWFPIA for SAs and ASGs
3.4. Optimization of the DWFPIA for SAs and ASGs
3.5. Characteristics of DWFPIA and their Application in Milk
4. Conclusions
Supplementary Materials
Author Contributions
Funding
Institutional Review Board Statement
Informed Consent Statement
Data Availability Statement
Conflicts of Interest
References
- Zhu, N.; Zhu, Y.; Wang, J.; Gyimah, E.; Hu, X.; Zhang, Z. A novel fluorescence immunoassay based on AgNCs and ALP for ultrasensitive detection of sulfamethazine (SMZ) in environmental and biological samples. Talanta 2019, 199, 72–79. [Google Scholar] [CrossRef] [PubMed]
- Liang, X.; Li, C.; Zhu, J.; Song, X.; Yu, W.; Zhang, J.; Zhang, S.; Shen, J.; Wang, Z. Dihydropteroate synthase based sensor for screening multi-sulfonamides residue and its comparison with broad-specific antibody based immunoassay by molecular modeling analysis. Anal. Chim. Acta 2019, 1050, 139–145. [Google Scholar] [CrossRef] [PubMed]
- Li, H.; Ma, S.; Zhang, X.; Li, C.; Dong, B.; Mujtaba, M.G.; Wei, Y.; Liang, X.; Yu, X.; Wen, K.; et al. Generic Hapten Synthesis, Broad-Specificity Monoclonal Antibodies Preparation, and Ultrasensitive ELISA for Five Antibacterial Synergists in Chicken and Milk. J. Agric. Food Chem. 2018, 66, 11170–11179. [Google Scholar] [CrossRef] [PubMed]
- Choi, M.J.; Yohannes, S.B.; Lee, S.J.; Damte, D.; Reza, M.A.; Rhee, M.H.; Kim, T.H.; Park, S.C. The in vitro antibacterial activity of enrofloxacin-trimethoprim combination against five bacterial species. Pak. Vet. J. 2012, 32, 363–366. [Google Scholar]
- Zamora-Gálvez, A.; Ait-Lahcen, A.; Mercante, L.A.; Morales-Narváez, E.; Amine, A.; Merkoçi, A. Molecularly Imprinted Polymer-Decorated Magnetite Nanoparticles for Selective Sulfonamide Detection. Anal. Chem. 2016, 88, 3578–3584. [Google Scholar] [CrossRef]
- Livermore, D.M.; Mushtaq, S.; Warner, M.; Woodford, N. Comparative in vitro activity of sulfametrole/trimethoprim and sulfamethoxazole/trimethoprim and other agents against multiresistant Gram-negative bacteria. J. Antimicrob. Chemother. 2014, 69, 1050–1056. [Google Scholar] [CrossRef][Green Version]
- Lombardo, M.N.; G-Dayanandan, N.; Wright, D.L.; Anderson, A.C. Crystal Structures of Trimethoprim-Resistant DfrA1 Rationalize Potent Inhibition by Propargyl-Linked Antifolates. ACS Infect. Dis. 2016, 2, 149–156. [Google Scholar] [CrossRef]
- The European Union. Commission Regulation (EU) No 37/2010 of 22 December 2009 on Pharmacologically Active Substances and Their Classification Regarding Maximum Residue Limits in Foodstuffs of Animal Origin; Official Journal of the European Union: Brussels, Belgium, 2010. [Google Scholar]
- The Ministry of Agriculture and Rural Affairs of the People’s Republic of China. National Food Safety Standard-Maximum Residue Limits for Veterinary Drugs in Foods; GB 31650-2019; Standards Press of China: Beijing, China, 2019.
- The Department of Food Safety, Ministry of Health, Labour and Welfare. No. 0526004 of June 2006 for Agricultural Chemical Residues in Foods; Japanese Positive List System: Tokyo, Japan, 2006.
- Sichilongo, K.; Mutsimhu, C.; Obuseng, V.C. Gas chromatography—Mass spectral characteristics of six pharmacologically active compounds—Analytical performance characteristics on a raw sewage impacted water sample. Can. J. Chem. 2013, 91, 704–710. [Google Scholar] [CrossRef]
- Xu, Z.-G.; DU, Z.; Hu, Y.-L.; Pan, Y.-P.; Li, G.-K. Preparation of Trimethoprim Molecularly Imprinted Stir Bar Sorptive Extraction and Its Application for Trace Analysis of Trimethoprim and Sulfonamides in Complex Samples. Chin. J. Anal. Chem. 2012, 40, 1002–1010. [Google Scholar] [CrossRef]
- Chen, D.; Yu, J.; Tao, Y.; Pan, Y.; Xie, S.; Huang, L.; Peng, D.; Wang, X.; Wang, Y.; Liu, Z.; et al. Qualitative screening of veterinary anti-microbial agents in tissues, milk, and eggs of food-producing animals using liquid chromatography coupled with tandem mass spectrometry. J. Chromatogr. B Anal. Technol. Biomed. Life Sci. 2016, 1017, 82–88. [Google Scholar] [CrossRef]
- Gavilán, R.E.; Nebot, C.; Patyra, E.; Miranda, J.M.; Franco, C.M.; Cepeda, A. Simultaneous analysis of coccidiostats and sulphonamides in non-target feed by HPLC-MS/MS and validation following the Commission Decision 2002/657/EC. Food Addit. Contam. Part A Chem. Anal. Control Exposure Risk Assess 2018, 35, 1093–1106. [Google Scholar] [CrossRef] [PubMed]
- Croubels, S.; Wassink, P.; De Backer, P. Simultaneous determination of sulfadiazine and trimethoprim in animal feed by liquid chromatography with UV and tandem mass spectrometric detection. Anal. Chim. Acta 2002, 473, 183–194. [Google Scholar] [CrossRef]
- Zhang, S.; Wang, Z.; Nesterenko, I.S.; Eremin, S.A.; Shen, J. Fluorescence polarisation immunoassay based on a monoclonal antibody for the detection of sulphamethazine in chicken muscle. Int. J. Food Sci. Technol. 2007, 42, 36–44. [Google Scholar] [CrossRef]
- Mi, T.; Liang, X.; Ding, L.; Zhang, S.; Eremin, S.A.; Beier, R.C.; Shen, J.; Wang, Z. Development and optimization of a fluorescence polarization immunoassay for orbifloxacin in milk. Anal. Methods 2014, 6, 3849–3857. [Google Scholar] [CrossRef]
- Wang, K.; Liu, Z.; Ji, P.; Liu, J.; Eremin, S.A.; Li, Q.X.; Li, J.; Xu, T. A camelid VHH-based fluorescence polarization immunoassay for the detection of tetrabromobisphenol A in water. Anal. Methods 2016, 8, 7265–7271. [Google Scholar] [CrossRef]
- Raysyan, A.; Moerer, R.; Coesfeld, B.; Eremin, S.A.; Schneider, R.J. Fluorescence polarization immunoassay for the determination of diclofenac in wastewater. Anal. Bioanal. Chem. 2021, 413, 999–1007. [Google Scholar] [CrossRef] [PubMed]
- Liu, L.-H.; Zhou, X.-H.; Xu, W.-Q.; Song, B.-D.; Shi, H.-C. Highly sensitive detection of sulfadimidine in water and dairy products by means of an evanescent wave optical biosensor. RSC Adv. 2014, 4, 60227–60233. [Google Scholar] [CrossRef]
- Wang, Y.; Li, Z.; Barnych, B.; Huo, J.; Wan, D.; Vasylieva, N.; Xu, J.; Li, P.; Liu, B.; Zhang, C.; et al. Investigation of the Small Size of Nanobodies for a Sensitive Fluorescence Polarization Immunoassay for Small Molecules: 3-Phenoxybenzoic Acid, an Exposure Biomarker of Pyrethroid Insecticides as a Model. J. Agric. Food Chem. 2019, 67, 11536–11541. [Google Scholar] [CrossRef]
- Li, M.; Liu, X.; Hua, X.; Yin, W.; Fang, Q.; Wang, M. Fluorescence polarization immunoassay for highly efficient detection of clothianidin in agricultural samples. Anal. Methods 2014, 6, 6541–6547. [Google Scholar] [CrossRef]
- Xu, Z.-L.; Wang, Q.; Lei, H.-T.; Eremin, S.A.; Shen, Y.-D.; Wang, H.; Beier, R.C.; Yang, J.-Y.; Maksimova, K.A.; Sun, Y.-M. A simple, rapid and high-throughput fluorescence polarization immunoassay for simultaneous detection of organophosphorus pesticides in vegetable and environmental water samples. Anal. Chim. Acta 2011, 708, 123–129. [Google Scholar] [CrossRef]
- Lippolis, V.; Porricelli, A.C.R.; Mancini, E.; Ciasca, B.; Lattanzio, V.M.T.; De Girolamo, A.; Maragos, C.M.; McCormick, S.; Li, P.; Logrieco, A.F.; et al. Fluorescence Polarization Immunoassay for the Determination of T-2 and HT-2 Toxins and Their Glucosides in Wheat. Toxins 2019, 11, 380. [Google Scholar] [CrossRef] [PubMed]
- Zhang, X.; Tang, Q.; Mi, T.; Zhao, S.; Wen, K.; Guo, L.; Mi, J.; Zhang, S.; Shi, W.; Shen, J.; et al. Dual-wavelength fluorescence polarization immunoassay to increase information content per screen: Applications for simultaneous detection of total aflatoxins and family zearalenones in maize. Food Control 2018, 87, 100–108. [Google Scholar] [CrossRef]
- Li, C.; Wen, K.; Mi, T.; Zhang, X.; Zhang, H.; Zhang, S.; Shen, J.; Wang, Z. A universal multi-wavelength fluorescence polarization immunoassay for multiplexed detection of mycotoxins in maize. Biosens. Bioelectron. 2016, 79, 258–265. [Google Scholar] [CrossRef] [PubMed]
- Wang, Z.-H.; Zhang, S.-X.; Shen, J.-Z.; Sergei, A.E. Analysis of Sulfamethazine by Fluorescence Polarization Immunoassay. Chin. J. Anal. Chem. 2007, 35, 819–824. [Google Scholar] [CrossRef]
- Chen, M.; Wen, K.; Tao, X.; Ding, S.; Xie, J.; Yu, X.; Li, J.; Xia, X.; Wang, Y.; Xie, S.; et al. A novel multiplexed fluorescence polarisation immunoassay based on a recombinant bi-specific single-chain diabody for simultaneous detection of fluoroquinolones and sulfonamides in milk. Food Addit. Contam. Part A Chem. Anal. Control Exposure Risk Assess 2014, 31, 1959–1967. [Google Scholar] [CrossRef]
- Guo, L.; Liu, M.; Li, Q.; Dong, B.; Li, H.; Mari, G.M.; Liu, R.; Yu, W.; Yu, X.; Wang, Z.; et al. Synthesis and characterization of tracers and development of a fluorescence polarization immunoassay for amantadine with high sensitivity in chicken. J. Food Sci. 2021, 86, 4754–4767. [Google Scholar] [CrossRef]
- Oberleitner, L.; Grandke, J.; Mallwitz, F.; Resch-Genger, U.; Garbe, L.-A.; Schneider, R.J. Fluorescence Polarization Immunoassays for the Quantification of Caffeine in Beverages. J. Agric. Food Chem. 2014, 62, 2337–2343. [Google Scholar] [CrossRef]
- Chun, H.S.; Choi, E.H.; Chang, H.-J.; Choi, S.-W.; Eremin, S.A. A fluorescence polarization immunoassay for the detection of zearalenone in corn. Anal. Chim. Acta 2009, 639, 83–89. [Google Scholar] [CrossRef]
- Wang, Z.; Beier, R.C.; Sheng, Y.; Zhang, S.; Jiang, W.; Wang, Z.; Wang, J.; Shen, J. Monoclonal antibodies with group specificity toward sulfonamides: Selection of hapten and antibody selectivity. Anal. Bioanal. Chem. 2013, 405, 4027–4037. [Google Scholar] [CrossRef]
- Liang, X.; Sheng, Y.; Yu, W.; Zhao, S.; Shan, H.; Zhang, Q.; Wang, Z. Comparison of Chicken IgY and Mammalian IgG in Three Immunoassays for Detection of Sulfamethazine in Milk. Food Anal. Methods 2018, 11, 3452–3463. [Google Scholar] [CrossRef]
- Wang, X.; Wu, X.; Lu, Z.; Tao, X. Comparative Study of Time-Resolved Fluorescent Nanobeads, Quantum Dot Nanobeads and Quantum Dots as Labels in Fluorescence Immunochromatography for Detection of Aflatoxin B1 in Grains. Biomolecules 2020, 10, 575. [Google Scholar] [CrossRef] [PubMed]
- Chen, Y.; He, Q.; Shen, D.; Jiang, Z.; Eremin, S.A.; Zhao, S. Fluorescence polarization immunoassay based on a new monoclonal antibody for the detection of the Diisobutyl phthalate in Yoghurt. Food Control 2019, 105, 38–44. [Google Scholar] [CrossRef]
- Dong, B.; Zhao, S.; Li, H.; Wen, K.; Ke, Y.; Shen, J.; Zhang, S.; Shi, W.; Wang, Z. Design, synthesis and characterization of tracers and development of a fluorescence polarization immunoassay for the rapid detection of ractopamine in pork. Food Chem. 2019, 271, 9–17. [Google Scholar] [CrossRef] [PubMed]
- Lippolis, V.; Pascale, M.; Valenzano, S.; Pluchinotta, V.; Baumgartner, S.; Krska, R.; Visconti, A. A rapid fluorescence polarization immunoassay for the determination of T-2 and HT-2 toxins in wheat. Anal. Bioanal. Chem. 2011, 401, 2561–2571. [Google Scholar] [CrossRef]
- Guo, L.; Liu, M.; Zhang, S.; Wang, Z.; Yu, X. Multi-wavelength fluorescence polarization immunoassays for simultaneous detection of amantadine and ribavirin in chicken and human serum. Food Agric. Immunol. 2021, 32, 321–335. [Google Scholar] [CrossRef]
- Yang, J.-Y.; Zhang, Y.; Wang, H.; Xu, Z.-L.; Eremin, S.A.; Shen, Y.-D.; Wu, Q.; Lei, H.-T.; Sun, Y.-M. Development of fluorescence polarisation immunoassay for carbofuran in food and environmental water samples. Food Agric. Immunol. 2014, 26, 340–355. [Google Scholar] [CrossRef]
- Wang, Q.; Haughey, S.A.; Sun, Y.-M.; Eremin, S.A.; Li, Z.-F.; Liu, H.; Xu, Z.-L.; Shen, Y.-D.; Lei, H.-T. Development of a fluorescence polarization immunoassay for the detection of melamine in milk and milk powder. Anal. Bioanal. Chem. 2011, 399, 2275–2284. [Google Scholar] [CrossRef]
- Chen, S.; Wang, J.; Xin, B.; Yang, Y.; Ma, Y.; Zhou, Y.; Yuan, L.-J.; Huang, Z.-L.; Yuan, Q. Direct Observation of Nanoparticles within Cells at Subcellular Levels by Super-Resolution Fluorescence Imaging. Anal. Chem. 2019, 91, 5747–5752. [Google Scholar] [CrossRef]
- Xu, W.; Su, P.; Zheng, L.; Fan, H.; Wang, Y.; Liu, Y.; Lin, Y.; Zhi, F. In vivo Imaging of a Novel Strain of Bacteroides fragilis via Metabolic Labeling. Front. Microbiol. 2018, 9, 2298–2304. [Google Scholar] [CrossRef]
- Subbiah, N.; Campagna, J.; Spilman, P.; Alam, M.P.; Sharma, S.; Hokugo, A.; Nishimura, I.; John, V. Deformable Nanovesicles Synthesized through an Adaptable Microfluidic Platform for Enhanced Localized Transdermal Drug Delivery. J. Drug Deliv. 2017, 2017, 1–12. [Google Scholar] [CrossRef]
- Mi, T.; Wang, Z.; Eremin, S.A.; Shen, J.; Zhang, S. Simultaneous Determination of Multiple (Fluoro)quinolone Antibiotics in Food Samples by a One-Step Fluorescence Polarization Immunoassay. J. Agric. Food Chem. 2013, 61, 9347–9355. [Google Scholar] [CrossRef] [PubMed]
- Lei, H.; Xue, G.; Yu, C.; Haughey, S.A.; Eremin, S.A.; Sun, Y.; Wang, Z.; Xu, Z.; Wang, H.; Shen, Y.; et al. Fluorescence polarization as a tool for the detection of a widely used herbicide, butachlor, in polluted waters. Anal. Methods 2011, 3, 2334–2340. [Google Scholar] [CrossRef]
- Cháfer-Pericás, C.; Maquieira, Á.; Puchades, R.; Miralles, J.; Moreno, A. Fast screening immunoassay of sulfonamides in commercial fish samples. Anal. Bioanal. Chem. 2010, 396, 911–921. [Google Scholar] [CrossRef] [PubMed]
- Zvereva, E.A.; Zherdev, A.; Formanovsky, A.A.; Abuknesha, R.A.; Eremin, S.A.; Dzantiev, B.B. Fluorescence polarization immunoassay of colchicine. J. Pharm. Biomed. Anal. 2018, 159, 326–330. [Google Scholar] [CrossRef] [PubMed]
- Maragos, C.M.; Jolley, M.E.; Plattner, R.D.; Nasir, M.S. Fluorescence Polarization as a Means for Determination of Fumonisins in Maize. J. Agric. Food Chem. 2001, 49, 596–602. [Google Scholar] [CrossRef] [PubMed]
- Cheng, S.; Wei, Z.; Zhiming, X.; Yang, L.; Xia, F. Trace analysis and identification of 33 sulfonamides and sulfonamide potentiators in eggs by ultrahigh-performance liquid chromatography coupled with quadrupole-high-field orbitrap high-resolution mass spectrometry. Anal. Methods 2021, 13, 4452–4460. [Google Scholar] [CrossRef] [PubMed]
- Babić, S.; Ašperger, D.; Mutavdžić, D.; Horvat, A.J.; Kaštelan-Macan, M. Solid phase extraction and HPLC determination of veterinary pharmaceuticals in wastewater. Talanta 2006, 70, 732–738. [Google Scholar] [CrossRef]





| Tracer-mAb Pairs | Parameters | |||
|---|---|---|---|---|
| Titers | IC50 (ng mL−1) | δmP | δmP/IC50 | |
| SADMPM-EDF-10E6 | 1/2110 | 17.6 | 101.9 | 5.8 |
| SADMPM-BDF-10E6 | 1/1620 | 15.2 | 98.7 | 6.5 |
| SADMPM-HDF-10E6 | 1/2027 | 5.6 | 105.5 | 18.8 |
| SADMPM-EDF-4C7 | 1/649 | - a | - a | - a |
| SADMPM-BDF-4C7 | 1/384 | - a | - a | - a |
| SADMPM-HDF-4C7 | 1/443 | - a | - a | - a |
| SADMPM-EDF-4D11 | 1/4381 | 44.2 | 84.1 | 1.9 |
| SADMPM-BDF-4D11 | 1/2764 | 38.4 | 72.2 | 1.9 |
| SADMPM-HDF-4D11 | 1/6301 | 36.0 | 71.9 | 2.0 |
| HaptenA-DSCA-5C4 | 1/3270 | 1.8 | 117.9 | 65.5 |
| HaptenA-DSCH-5C4 | 1/5007 | 2.5 | 102.2 | 40.9 |
| HaptenA-AF647-5C4 | 1/4751 | 2.3 | 129.2 | 56.2 |
| HaptenA-DSCA-9C9 | 1/3485 | 1.0 | 128.4 | 128.4 |
| HaptenA-DSCH-9C9 | 1/4929 | 1.4 | 99.7 | 71.2 |
| HaptenA-AF647-9C9 | 1/6160 | 1.1 | 123.9 | 112.6 |
| HaptenA-DSCA-3B6 | 1/3879 | 3.0 | 127.8 | 42.6 |
| HaptenA-DSCH-3B6 | 1/6491 | 3.8 | 99.9 | 26.3 |
| HaptenA-AF647-3B6 | 1/4223 | 2.2 | 100.1 | 45.5 |
| HaptenA-DSCA-14G1 | 1/4591 | 1.8 | 156.1 | 86.7 |
| HaptenA-DSCH-14G1 | 1/6037 | 2.2 | 133.5 | 60.7 |
| HaptenA-AF647-14G1 | 1/5883 | 1.5 | 150.7 | 100.5 |
| HaptenA-DSCA-1F1 | 1/8093 | 3.8 | 150.0 | 39.5 |
| HaptenA-DSCH-1F1 | 1/8066 | 5.0 | 121.2 | 24.2 |
| HaptenA-AF647-1F1 | 1/12,785 | 3.0 | 153.4 | 51.1 |
| Analytes | Parameters (μg L−1) | ||||
|---|---|---|---|---|---|
| LOD | Detectable Range | Spiked Concentration | Recovery (%) | CV (%) | |
| SMZ | 3.3 | 10.7–221.9 | 20 | 81.7 | 18.9 |
| 50 | 97.2 | 12.6 | |||
| 100 | 84.5 | 8.0 | |||
| TMP | 0.7 | 2.2–37.7 | 5 | 78.6 | 13.4 |
| 20 | 103.6 | 17.1 | |||
| 35 | 90.5 | 7.8 | |||
Publisher’s Note: MDPI stays neutral with regard to jurisdictional claims in published maps and institutional affiliations. |
© 2022 by the authors. Licensee MDPI, Basel, Switzerland. This article is an open access article distributed under the terms and conditions of the Creative Commons Attribution (CC BY) license (https://creativecommons.org/licenses/by/4.0/).
Share and Cite
Duan, C.; Zhang, Y.; Li, P.; Li, Q.; Yu, W.; Wen, K.; Eremin, S.A.; Shen, J.; Yu, X.; Wang, Z. Dual-Wavelength Fluorescence Polarization Immunoassay for Simultaneous Detection of Sulfonamides and Antibacterial Synergists in Milk. Biosensors 2022, 12, 1053. https://doi.org/10.3390/bios12111053
Duan C, Zhang Y, Li P, Li Q, Yu W, Wen K, Eremin SA, Shen J, Yu X, Wang Z. Dual-Wavelength Fluorescence Polarization Immunoassay for Simultaneous Detection of Sulfonamides and Antibacterial Synergists in Milk. Biosensors. 2022; 12(11):1053. https://doi.org/10.3390/bios12111053
Chicago/Turabian StyleDuan, Changfei, Yingjie Zhang, Peipei Li, Qiang Li, Wenbo Yu, Kai Wen, Sergei A. Eremin, Jianzhong Shen, Xuezhi Yu, and Zhanhui Wang. 2022. "Dual-Wavelength Fluorescence Polarization Immunoassay for Simultaneous Detection of Sulfonamides and Antibacterial Synergists in Milk" Biosensors 12, no. 11: 1053. https://doi.org/10.3390/bios12111053
APA StyleDuan, C., Zhang, Y., Li, P., Li, Q., Yu, W., Wen, K., Eremin, S. A., Shen, J., Yu, X., & Wang, Z. (2022). Dual-Wavelength Fluorescence Polarization Immunoassay for Simultaneous Detection of Sulfonamides and Antibacterial Synergists in Milk. Biosensors, 12(11), 1053. https://doi.org/10.3390/bios12111053

