Nanoporous ZIF-8 Microparticles as Acetylcholinesterase and Alkaline Phosphatase Mimics for the Selective and Sensitive Detection of Ascorbic Acid Oxidase and Copper Ions
Abstract
:1. Introduction
2. Materials and Methods
2.1. Materials and Reagents
2.2. Instruments
2.3. Synthesis of ZIF-8
2.4. Enzyme-like Activity of ZIF-8
2.5. Measurement of the Km
2.6. Procedure for the Determination of Cu2+ and AAO
2.7. Real Sample Analysis
3. Results and Discussion
3.1. Characterization of ZIF-8 and Feasibility of the Established Method for the Detection of Cu2+ and AAO
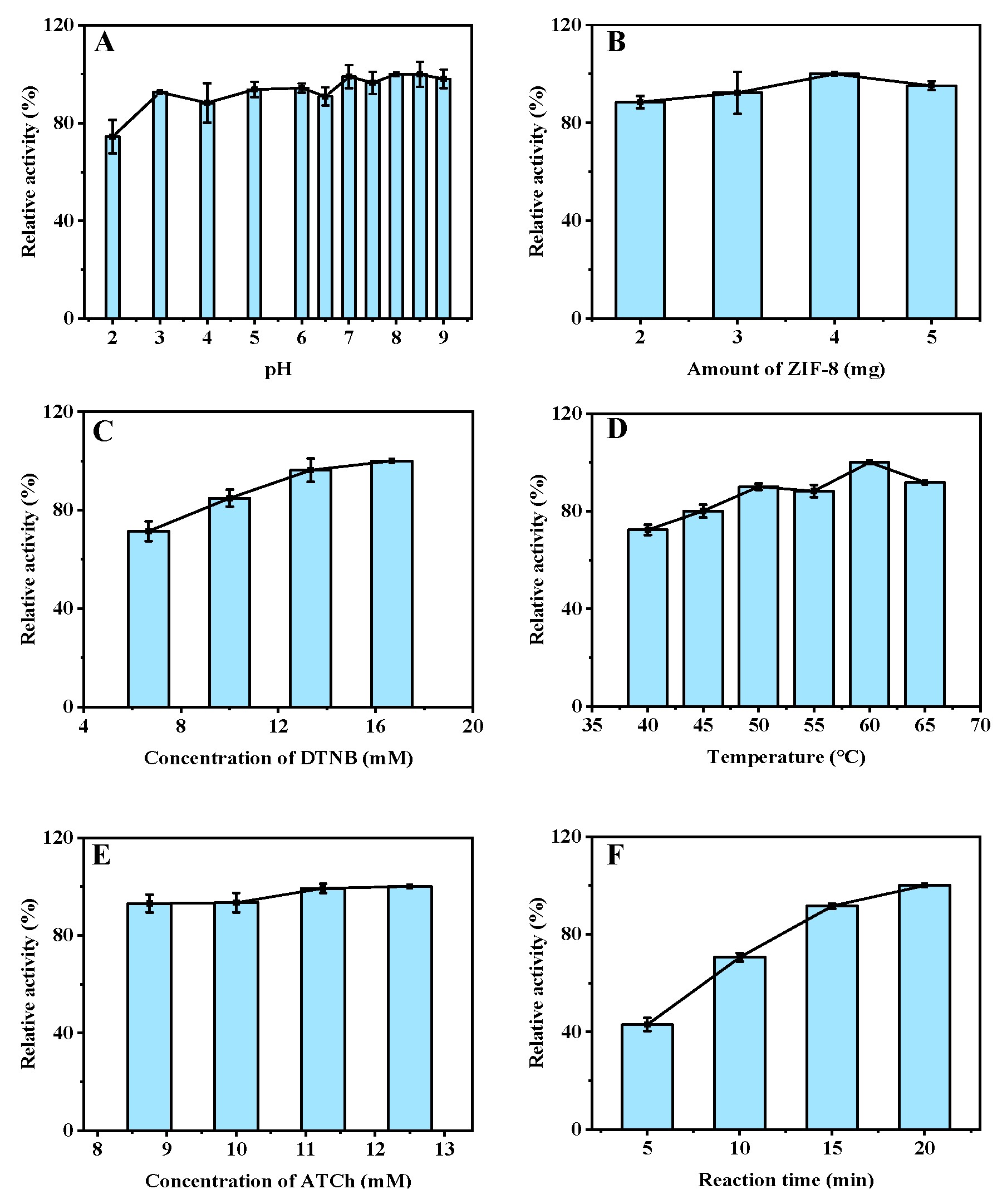
3.2. Optimization of Reaction Conditions
3.3. Kinetics Study of ZIF-8
3.4. Stability of ZIF-8
3.5. Colorimetric Detection of Cu2+ and AAO
3.6. Detection of Cu2+ and AAO in Real Samples
4. Conclusions
Author Contributions
Funding
Institutional Review Board Statement
Informed Consent Statement
Data Availability Statement
Conflicts of Interest
References
- Chen, G.; Zhou, X.; Tian, T.; Zhang, C.; Yin, S.; Chen, H.; Xu, Y.; Yang, F. Nanozyme based on ZIF-8 for the colorimetric detection of sulfonamides in cow milk. Anal. Biochem. 2022, 652, 114748. [Google Scholar] [CrossRef] [PubMed]
- Li, X.; Liang, H.; Liu, X.; Zhang, Y.; Liu, Z.; Fan, H. Zeolite imidazolate frameworks (ZIFs) derived nanomaterials and their hybrids for advanced secondary batteries and electrocatalysis. Chem. Rec. 2022, 22, e202200105. [Google Scholar] [CrossRef]
- Jin, C.; Shang, H. Synthetic methods, properties and controlling roles of synthetic parameters of zeolite imidazole framework-8: A review. J. Solid State Chem. 2021, 297, 122040. [Google Scholar] [CrossRef]
- Li, K.; Miwornunyuie, N.; Chen, L.; Jingyu, H.; Amaniampong, P.S.; Ato Koomson, D.; Ewusi-Mensah, D.; Xue, W.; Li, G.; Lu, H. Sustainable application of ZIF-8 for heavy-metal removal in aqueous solutions. Sustainability 2021, 13, 984. [Google Scholar] [CrossRef]
- Chen, J.; Huang, L.; Wang, Q.; Wu, W.; Zhang, H.; Fang, Y.; Dong, S. Bio-inspired nanozyme: A hydratase mimic in a zeolitic imidazolate framework. Nanoscale 2019, 11, 5960–5966. [Google Scholar] [CrossRef] [PubMed]
- Wu, X.; Gong, X.; Dong, W.; Ma, J.; Chao, J.; Li, C.; Wang, L.; Dong, C. A novel fluorescein-based colorimetric probe for Cu2+ detection. RSC Adv. 2016, 6, 59677–59683. [Google Scholar] [CrossRef]
- Guo, Y.; Wang, L.; Zhuo, J.; Xu, B.; Li, X.; Zhang, J.; Zhang, Z.; Chi, H.; Dong, Y.; Lu, G. A pyrene-based dual chemosensor for colorimetric detection of Cu2+ and fluorescent detection of Fe3+. Tetrahedron Lett. 2017, 58, 3951–3956. [Google Scholar] [CrossRef]
- Zhang, J.; Liu, J.; Wang, M.; Su, X. Determination of ascorbic acid and ascorbate oxidase based on quaternary CuInZnS QDs/thiochrome ratiometric fluorescence sensing system. Talanta 2020, 214, 120814. [Google Scholar] [CrossRef]
- Chen, J.; Jiang, S.; Wang, M.; Xie, X.; Su, X. Self-assembled dual-emissive nanoprobe with metal-organic frameworks as scaffolds for enhanced ascorbic acid and ascorbate oxidase sensing. Sens. Actuators B Chem. 2021, 339, 129910. [Google Scholar] [CrossRef]
- Chen, G.; Zhang, H.; Zhao, C.; Zhang, C.; Wang, Y.; Chen, H.; Yang, F. On-line immobilized acetylcholinesterase microreactor based on capillary electrophoresis for the determination of organophosphorus pesticide residues. Chin. J. Anal. Chem. 2021, 49, 11–17. [Google Scholar] [CrossRef]
- Ran, J.; Chen, H.; Bi, S.; Guo, Q.; Deng, Z.; Cai, G.; Cheng, D.; Tang, X.; Wang, X. One-step in-situ growth of zeolitic imidazole frameworks-8 on cotton fabrics for photocatalysis and antimicrobial activity. Cellulose 2020, 27, 10447–10459. [Google Scholar] [CrossRef]
- Liu, X.; Azhar, I.; Khan, H.; Qu, Q.; Tian, M.; Yang, L. Capillary electrophoresis-immobilized enzyme microreactors for acetylcholinesterase assay with surface modification by highly-homogeneous microporous layer. J. Chromatogr. A 2020, 1609, 460454. [Google Scholar] [CrossRef] [PubMed]
- Yang, J.; Hu, X.; Xu, J.; Liu, X.; Yang, L. Single-step in situ acetylcholinesterase-mediated alginate hydrogelation for enzyme encapsulation in CE. Anal. Chem. 2018, 90, 4071–4078. [Google Scholar] [CrossRef] [PubMed]
- Wang, Z.; Tian, H.; Lu, G.; Zhao, Y.; Yang, R.; Megharaj, M.; He, W. Catalytic efficiency is a better predictor of arsenic toxicity to soil alkaline phosphatase. Ecotoxicol. Environ. Saf. 2018, 148, 721–728. [Google Scholar] [CrossRef]
- Joo, D.H.; Mok, J.S.; Bae, G.H.; Oh, S.E.; Kang, J.H.; Kim, C. Colorimetric detection of Cu2+ and fluorescent detection of PO43– and S2– by a multifunctional chemosensor. Ind. Eng. Chem. Res. 2017, 56, 8399–8407. [Google Scholar] [CrossRef]
- Jung, H.S.; Kwon, P.S.; Lee, J.W.; Kim, J.I.; Hong, C.S.; Kim, J.W.; Yan, S.; Lee, J.Y.; Lee, J.H.; Joo, T.; et al. Coumarin-derived Cu2+-selective fluorescence sensor: Synthesis, mechanisms, and applications in living cells. J. Am. Chem. Soc. 2009, 131, 2008–2012. [Google Scholar] [CrossRef]
- Yu, C.; Zhang, D.; Zhu, Q.; Chao, D.; Liu, H.; Zhou, L. Preparation and characterisation of dual sensing carbon dots for water and Cu2+ detection. Dye. Pigment. 2022, 198, 110008. [Google Scholar] [CrossRef]
- Geng, R.; Tang, H.; Ma, Q.; Liu, L.; Feng, W.; Zhang, Z. Bimetallic Ag/Zn-ZIF-8: An efficient and sensitive probe for Fe3+ and Cu2+ detection. Colloids Surf. A Physicochem. Eng. Asp. 2022, 632, 127755. [Google Scholar] [CrossRef]
- Lu, J.; Zhang, X.; Liu, N.; Zhang, X.; Yu, Z.; Duan, T. Electrochemical detection of Cu2+ using graphene-SnS nanocomposite modified electrode. J. Electroanal. Chem. 2016, 769, 21–27. [Google Scholar] [CrossRef]
- Lv, J.; Zhang, C.; Wang, S.; Li, M.; Guo, W. MOF-derived porous ZnO-Co3O4 nanocages as peroxidase mimics for colorimetric detection of copper(ii) ions in serum. Analyst 2021, 146, 605–611. [Google Scholar] [CrossRef]
- Sun, M.; Huang, S.; Su, G.; Wang, X.; Lu, Z.; Wang, Y.; Liu, T.; Jiang, Y.; Song, C.; Rao, H. Synthesis of pH-switchable Pt/Co3O4 nanoflowers: Catalytic mechanism, four-enzyme activity and smartphone biosensing applications. Chem. Eng. J. 2022, 437, 134414. [Google Scholar] [CrossRef]
- Nantapon, T.; Naweephattana, P.; Surawatanawong, P.; Saetear, P.; Chantarojsiri, T.; Ruangsupapichat, N. Amino-coumarin-based colorimetric and fluorescent chemosensors capable of discriminating Co, Ni, and Cu ions in solution and potential utilization as a paper-based device. Spectrochim. Acta Part A Mol. Biomol. Spectrosc. 2022, 282, 121662. [Google Scholar] [CrossRef] [PubMed]
- Chen, Z.; Lv, W.; Yang, C.; Ping, M.; Fu, F. Sensitive detection and intracellular imaging of free copper ions based on DNA-templated silver nanoclusters aggregation-inducing fluorescence enhancement effect. Spectrochim. Acta Part A Mol. Biomol. Spectrosc. 2022, 283, 121734. [Google Scholar] [CrossRef] [PubMed]
- Choe, D.; Kim, C. A benzothiadiazole-based colorimetric chemosensor for detecting Cu2+ and sequential H2S in practical samples. Inorg. Chim. Acta 2022, 543, 121180. [Google Scholar] [CrossRef]
- Liu, S.; Pang, S. A dual-model strategy for fluorometric determination of ascorbic acid and of ascorbic acid oxidase activity by using DNA-templated gold-silver nanoclusters. Microchim. Acta 2018, 185, 426. [Google Scholar] [CrossRef]
- Han, X.; Chen, Z.; Fan, Q.; Li, K.; Mu, F.; Luo, Q.; Jin, Z.; Shi, G.; Zhang, M. Manganese (II)-doped zinc/germanium oxide nanoparticles as a viable fluorescent probe for visual and time-resolved fluorometric determination of ascorbic acid and its oxidase. Microchim. Acta 2019, 186, 466. [Google Scholar] [CrossRef]
- Wang, M.; Wang, M.; Wang, G.; Su, X. A fluorescence “off-on-off” sensing platform based on bimetallic gold/silver nanoclusters for ascorbate oxidase activity monitoring. Analyst 2020, 145, 1001–1007. [Google Scholar] [CrossRef]
- Yao, C.; Zhang, G.; Guan, Y.; Yang, T.; Hu, R.; Yang, Y. Modulation of inner filter effect between persistent luminescent particles and 2, 3-diaminophenazine for ratiometric fluorescent assay of ascorbic acid and ascorbate oxidase activity. Spectrochim. Acta Part A Mol. Biomol. Spectrosc. 2022, 280, 121564. [Google Scholar] [CrossRef]
- Zhang, X.; Rao, H.; Huang, H.; Zhang, K.; Wei, M.; Luo, M.; Xue, X.; Xue, Z.; Lu, X. A sensitive photothermometric biosensor based on redox reaction-controlled nanoprobe conversion from Prussian blue to Prussian white. Anal. Bioanal. Chem. 2021, 413, 6627–6637. [Google Scholar] [CrossRef]
- Li, N.; Zhang, F.; Sun, W.; Zhang, L.; Su, X. Redox reaction-modulated fluorescence biosensor for ascorbic acid oxidase assay by using MoS quantum dots as fluorescence probe. Talanta 2021, 222, 121522. [Google Scholar] [CrossRef]
- Wang, Y.; Yang, Y.; Liu, W.; Ding, F.; Zou, P.; Wang, X.; Zhao, Q.; Rao, H. A carbon dot-based ratiometric fluorometric and colorimetric method for determination of ascorbic acid and of the activity of ascorbic acid oxidase. Microchim. Acta 2019, 186, 246. [Google Scholar] [CrossRef] [PubMed]






| Material | Detection Method | Material Synthesis Process | Reaction Time (min) | Linear Range (µM) | LOD (µM) | Ref. |
|---|---|---|---|---|---|---|
| h-CDs | Fluorescence | Heated to 180 °C and kept for 12 h; dried in a vacuum oven | 12 | 0−10 | 0.2 | [17] |
| Ag/Zn-ZIF-8 | Fluorescence | Synthesized at room temperature for 20−24 h; dried overnight in a vacuum oven at 80 °C | 30 | 1−20 | 6.7 | [18] |
| Gr-SnS | Voltammetry | Synthesized at 180 °C for 16 h; dried in a vacuum oven at 65 °C for 24 h; ultrasonication for 1 h | - | 1.5−36 | 0.02 | [19] |
| ZnO-Co3O4 | Colorimetry | Synthesized at room temperature for 24 h; dried in vacuum at 60 °C for 12 h; heated at 350 °C for 3 h | 10 | 2−100 | 1.1 | [20] |
| Pt/Co3O4 | Colorimetry | Synthesized at 160 °C for 1 h; dried in a vacuum oven at 50 °C for 12 h; calcined in a muffle furnace at 450 °C for 4 h; synthesized at 90 °C for 20 min under constant stirring | 15 | 10−200 | 4.1 | [21] |
| Amino-coumarin | Fluorescence | Kept stirring for 19 h at room temperature under a nitrogen atmosphere | - | - | 0.2 | [22] |
| DNA-templated AgNCs | Fluorescence | Incubated for 1 h under gentle agitation and room temperature against light exposure; mixed for 30 min in the dark at room temperature | 5 | 2−20 | 0.1 | [23] |
| Benzothiadiazole | Colorimetry | Stirred at 22 °C for 20 h | - | 0−6 | 0.6 | [24] |
| ZIF-8 (AChE) | Colorimetry | Synthesized at 30 °C for 2h; dried in a vacuum oven at 50 °C for 8 h | 15 | 1.3−250.0 | 0.7 | This work |
| ZIF-8 (ALP) | Colorimetry | 12 | 4.5−454.5 | 2.8 |
| Material | Detection Method | Material Synthesis Process | Reaction Time (min) | Linear Range (U/L) | LOD (U/L) | Ref. |
|---|---|---|---|---|---|---|
| CuInZnS QDs | Fluorescence | Synthesized at 180 °C for 5 h | 10 | 0.1−5 | 0.078 | [8] |
| DNA-Au/Ag NC | Fluorescence and colorimetry | Kept in the dark for 4 h | 25 | 10−200 | 4.8 | [25] |
| Mn@ZnGe NPS | Fluorescence | Synthesized in a Teflon-lined autoclave at 220 °C for 6 h. | 5 | 1250−2500 | 728 | [26] |
| Au/Ag NCs | Fluorescence | Heated at 37 °C for 2 h | 20 | 5−80 | 1.7 | [27] |
| CoCOOH-PLPs | Fluorescence | Stirred for 5 min | 71 | 1−20 | 0.3 | [28] |
| PB NPs | Colorimetry | Synthesized at 60 °C under vigorous stirring for 0.5 h | 70 | 0.25−14 | 0.21 | [29] |
| MQDs/CoOOH | Fluorescence | Incubated for 24 h at 200 °C in an oven; sonicated for 10 min; collected by centrifugation at 10,000 rpm for 15 min; sonicated for 24 h | 55 | 2−10 | 0.8 | [30] |
| Carbon dots | Colorimetry | Performed at 180 °C for 12 h | 0.04−8 | 0.012 | [31] | |
| ZIF-8 (ALP) | Colorimetry | Synthesized at 30 °C for 2h; dried in a vacuum oven at 50 °C for 8 h | 12 | 2.3−454.5 | 1.8 | This work |
| Sample | Added (µM) | Founded (µM) | Recovery (%) | RSD (n = 3, %) |
|---|---|---|---|---|
| 1 | 1.3 | 1.5 | 115.4 | 2.9 |
| 2 | 41.7 | 40.0 | 95.9 | 1.9 |
| 3 | 166.7 | 133.0 | 80.0 | 0.2 |
| Sample | Analyte | Added | Found | Recovery (%) | RSD (n = 3, %) |
|---|---|---|---|---|---|
| Human serum | Cu2+ | 9.1 µM | 9.8 µM | 107.7 | 5.4 |
| 181.8 µM | 167.9 µM | 92.4 | 1.6 | ||
| 454.5 µM | 441.3 µM | 97.1 | 2.5 | ||
| AAO | 9.1 U/L | 8.6 U/L | 94.5 | 7.0 | |
| 181.8 U/L | 216.8 U/L | 119.3 | 3.5 | ||
| 454.5 U/L | 390.0 U/L | 85.8 | 1.4 | ||
| Rabbit plasma | Cu2+ | 9.1 µM | 10.1 µM | 111.0 | 1.5 |
| 181.8 µM | 215.6 µM | 118.6 | 2.4 | ||
| 454.5 µM | 487.6 µM | 107.3 | 4.0 | ||
| AAO | 9.1 U/L | 7.8 U/L | 85.7 | 4.8 | |
| 181.8 U/L | 203.8 U/L | 112.1 | 1.8 | ||
| 454.5 U/L | 363.3 U/L | 80.0 | 1.8 |
Publisher’s Note: MDPI stays neutral with regard to jurisdictional claims in published maps and institutional affiliations. |
© 2022 by the authors. Licensee MDPI, Basel, Switzerland. This article is an open access article distributed under the terms and conditions of the Creative Commons Attribution (CC BY) license (https://creativecommons.org/licenses/by/4.0/).
Share and Cite
Chen, G.-Y.; Yin, S.-J.; Chen, L.; Zhou, X.; Yang, F.-Q. Nanoporous ZIF-8 Microparticles as Acetylcholinesterase and Alkaline Phosphatase Mimics for the Selective and Sensitive Detection of Ascorbic Acid Oxidase and Copper Ions. Biosensors 2022, 12, 1049. https://doi.org/10.3390/bios12111049
Chen G-Y, Yin S-J, Chen L, Zhou X, Yang F-Q. Nanoporous ZIF-8 Microparticles as Acetylcholinesterase and Alkaline Phosphatase Mimics for the Selective and Sensitive Detection of Ascorbic Acid Oxidase and Copper Ions. Biosensors. 2022; 12(11):1049. https://doi.org/10.3390/bios12111049
Chicago/Turabian StyleChen, Guo-Ying, Shi-Jun Yin, Li Chen, Xi Zhou, and Feng-Qing Yang. 2022. "Nanoporous ZIF-8 Microparticles as Acetylcholinesterase and Alkaline Phosphatase Mimics for the Selective and Sensitive Detection of Ascorbic Acid Oxidase and Copper Ions" Biosensors 12, no. 11: 1049. https://doi.org/10.3390/bios12111049
APA StyleChen, G.-Y., Yin, S.-J., Chen, L., Zhou, X., & Yang, F.-Q. (2022). Nanoporous ZIF-8 Microparticles as Acetylcholinesterase and Alkaline Phosphatase Mimics for the Selective and Sensitive Detection of Ascorbic Acid Oxidase and Copper Ions. Biosensors, 12(11), 1049. https://doi.org/10.3390/bios12111049

