Surface Plasmon Resonance Assay for Label-Free and Selective Detection of HIV-1 p24 Protein
Abstract
1. Introduction
2. Materials and Methods
3. Results and Discussion
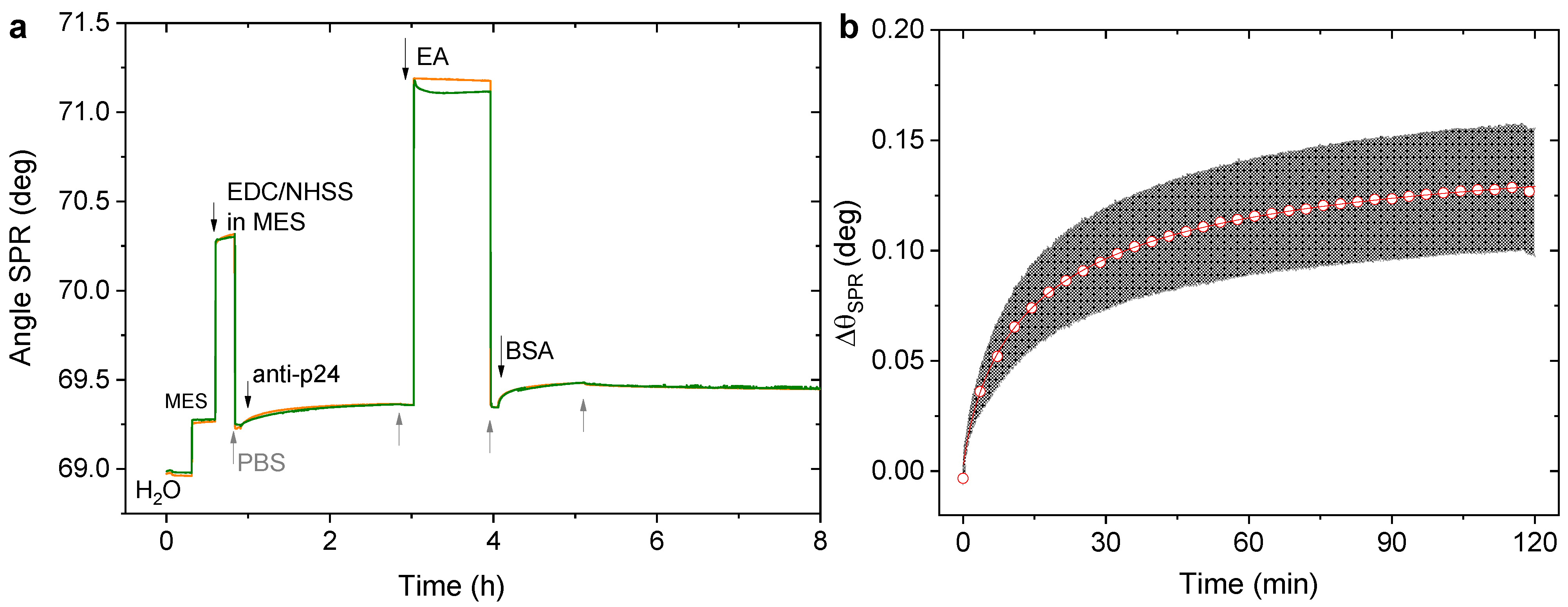
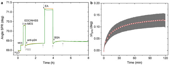
3.1. Gold Layer Bio-Modification
3.2. SPR Binding of p24 Proteins to the Anti-p24 Modified Gold Slides
4. Conclusions
Supplementary Materials
Author Contributions
Funding
Institutional Review Board Statement
Informed Consent Statement
Data Availability Statement
Acknowledgments
Conflicts of Interest
References
- Njagi, J.; Kagwanja, S.M. The Interface in Biosensing: Improving Selectivity and Sensitivity. ACS Symp. Ser. 2011, 1062, 225–247. [Google Scholar] [CrossRef]
- Yu, C.; Irudayaraj, J. Quantitative evaluation of sensitivity and selectivity of multiplex nanoSPR biosensor assays. Biophys. J. 2007, 93, 3684–3692. [Google Scholar] [CrossRef] [PubMed]
- Makaraviciute, A.; Ramanaviciene, A. Site-directed antibody immobilization techniques for immunosensors. Biosens. Bioelectron. 2013, 50, 460–471. [Google Scholar] [CrossRef] [PubMed]
- Vörös, J. The density and refractive index of adsorbing protein layers. Biophys. J. 2004, 87, 553–561. [Google Scholar] [CrossRef] [PubMed]
- Zhou, C.; De Keersmaecker, K.; Braeken, D.; Reekmans, G.; Bartic, C.; De Smedt, H.; Engelborghs, Y.; Borghs, G. Construction of high-performance biosensor interface through solvent controlled self-assembly of PEG grafted polymer. In Proceedings of the 2006 NSTI Nanotechnology Conference and Trade Show—NSTI Nanotech 2006 Technical Proceedings, Washington, DC, USA, 18–20 October 2006; pp. 750–753. [Google Scholar]
- Kyprianou, D.; Chianella, I.; Guerreiro, A.; Piletska, E.V.; Piletsky, S.A. Development of optical immunosensors for detection of proteins in serum. Talanta 2013, 103, 260–266. [Google Scholar] [CrossRef]
- Sarcina, L.; Torsi, L.; Picca, R.A.; Manoli, K.; Macchia, E. Assessment of gold bio-functionalization for wide-interface biosensing platforms. Sensors 2020, 20, 3678. [Google Scholar] [CrossRef] [PubMed]
- Feller, L.M.; Cerritelli, S.; Textor, M.; Hubbell, J.A.; Tosatti, S.G.P. Influence of poly(propylene sulfide-block-ethylene glycol) di- And triblock copolymer architecture on the formation of molecular adlayers on gold surfaces and their effect on protein resistance: A candidate for surface modification in biosensor research. Macromolecules 2005, 38, 10503–10510. [Google Scholar] [CrossRef]
- Sauer-Eriksson, A.E.; Kleywegt, G.J.; Uhlén, M.; Jones, T.A. Crystal structure of the C2 fragment of streptococcal protein G in complex with the Fc domain of human IgG. Structure 1995, 3, 265–278. [Google Scholar] [CrossRef]
- Bergström, G.; Mandenius, C.-F. Orientation and capturing of antibody affinity ligands: Applications to surface plasmon resonance biochips. Sens. Actuators B 2011, 158, 265–270. [Google Scholar] [CrossRef]
- Wiseman, M.E.; Frank, C.W. Antibody Adsorption and Orientation on Hydrophobic Surfaces. Langmuir 2012, 28, 1765–1774. [Google Scholar] [CrossRef]
- Branson, B.M.; Stekler, J.D. Detection of acute HIV infection: We can’t close the window. J. Infect. Dis. 2012, 205, 521–524. [Google Scholar] [CrossRef][Green Version]
- Faraoni, S.; Rocchetti, A.; Gotta, F.; Ruggiero, T.; Orofino, G.; Bonora, S.; Ghisetti, V. Evaluation of a rapid antigen and antibody combination test in acute HIV infection. J. Clin. Virol. Off. Publ. Pan Am. Soc. Clin. Virol. 2013, 57, 84–87. [Google Scholar] [CrossRef] [PubMed]
- Ly, T.D.; Ebel, A.; Faucher, V.; Fihman, V.; Laperche, S. Could the new HIV combined p24 antigen and antibody assays replace p24 antigen specific assays? J. Virol. Methods 2007, 143, 86–94. [Google Scholar] [CrossRef] [PubMed]
- Rissin, D.M.; Kan, C.W.; Campbell, T.G.; Howes, S.C.; Fournier, D.R.; Song, L.; Piech, T.; Patel, P.P.; Chang, L.; Rivnak, A.J.; et al. Single-molecule enzyme-linked immunosorbent assay detects serum proteins at subfemtomolar concentrations. Nat. Biotechnol. 2010, 28, 595–599. [Google Scholar] [CrossRef]
- Hurt, C.B.; Nelson, J.A.E.; Hightow-Weidman, L.B.; Miller, W.C. Selecting an HIV Test: A Narrative Review for Clinicians and Researchers. Sex. Transm. Dis. 2017, 44, 739–746. [Google Scholar] [CrossRef]
- Zhan, L.; Granade, T.; Liu, Y.; Wei, X.; Youngpairoj, A.; Sullivan, V.; Johnson, J.; Bischof, J. Development and optimization of thermal contrast amplification lateral flow immunoassays for ultrasensitive HIV p24 protein detection. Microsyst. Nanoeng. 2020, 6. [Google Scholar] [CrossRef]
- Sailapu, S.K.; Macchia, E.; Merino-Jimenez, I.; Esquivel, J.P.; Sarcina, L.; Scamarcio, G.; Minteer, S.D.; Torsi, L.; Sabaté, N. Standalone operation of an EGOFET for ultra-sensitive detection of HIV. Biosens. Bioelectron. 2020, 156, 1–7. [Google Scholar] [CrossRef]
- Macchia, E.; Sarcina, L.; Picca, R.A.; Manoli, K.; Di Franco, C.; Scamarcio, G.; Torsi, L. Ultra-low HIV-1 p24 detection limits with a bioelectronic sensor. Anal. Bioanal. Chem. 2020, 412, 811–818. [Google Scholar] [CrossRef]
- Nguyen, H.H.; Park, J.; Kang, S.; Kim, M. Surface Plasmon Resonance: A Versatile Technique for Biosensor Applications. Sensors 2015, 15, 10481–10510. [Google Scholar] [CrossRef] [PubMed]
- Jönsson, U.; Fägerstam, L.; Ivarsson, B.; Johnsson, B.; Karlsson, R.; Lundh, K.; Löfås, S.; Persson, B.; Roos, H.; Rönnberg, I. Real-time biospecific interaction analysis using surface plasmon resonance and a sensor chip technology. Biotechniques 1991, 11, 620–627. [Google Scholar]
- Hifumi, E.; Kubota, N.; Niimi, Y.; Shimizu, K.; Egashira, N.; Uda, T. Elimination of ingredients effect to improve the detection of anti HIV-1 p24 antibody in human serum using SPR apparatus. Anal. Sci. 2002, 18, 863–867. [Google Scholar] [CrossRef][Green Version]
- Kretschmann, E.; Raether, H. Radiative Decay of Non Radiative Surface Plasmons Excited by Light. Z. Nat. Sect. A J. Phys. Sci. 1968, 23, 2135–2136. [Google Scholar] [CrossRef]
- Miyazaki, C.M.; Shimizu, F.M.; Ferreira, M. Surface Plasmon Resonance (SPR) for Sensors and Biosensors. Nanocharacterization Tech. 2017, 183–200. [Google Scholar] [CrossRef]
- Homola, J. Present and future of surface plasmon resonance biosensors. Anal. Bioanal. Chem. 2003, 377, 528–539. [Google Scholar] [CrossRef] [PubMed]
- Schasfoort, R.B.M. Handbook of Surface Plasmon Resonance, 2nd ed.; Royal Society of Chemistry: London, UK, 2017; ISBN 9781788010283. [Google Scholar]
- De Feijter, J.A.; Benjamins, J.; Veer, F.A. Ellipsometry as a tool to study the adsorption behavior of synthetic and biopolymers at the air–water interface. Biopolymers 1978, 17, 1759–1772. [Google Scholar] [CrossRef]
- BioNavis MP-SPR Navi LayerSolver User Manual. Available online: https://www.bionavis.com/en/publications/biosensors/structural-and-viscoelastic-properties-layer-layer-extracellular-matrix-ecm-nanofilms-and-their-interactions-living-cells-2/ (accessed on 2 June 2019).
- Ball, V.; Ramsden, J.J. Buffer dependence of refractive index increments of protein solutions. Biopolymers 1998, 46, 489–492. [Google Scholar] [CrossRef]
- Holzer, B.; Manoli, K.; Ditaranto, N.; Macchia, E.; Tiwari, A.; Di Franco, C.; Scamarcio, G.; Palazzo, G.; Torsi, L. Characterization of Covalently Bound Anti-Human Immunoglobulins on Self-Assembled Monolayer Modified Gold Electrodes. Adv. Biosyst. 2017, 1, 1700055. [Google Scholar] [CrossRef]
- Ferretti, S.; Paynter, S.; Russell, D.A.; Sapsford, K.E.; Richardson, D.J. Self-assembled monolayers: A versatile tool for the formulation of bio- surfaces. TrAC Trends Anal. Chem. 2000, 19, 530–540. [Google Scholar] [CrossRef]
- Lee, J.W.; Sim, S.J.; Cho, S.M.; Lee, J. Characterization of a self-assembled monolayer of thiol on a gold surface and the fabrication of a biosensor chip based on surface plasmon resonance for detecting anti-GAD antibody. Biosens. Bioelectron. 2005, 20, 1422–1427. [Google Scholar] [CrossRef]
- Sam, S.; Touahir, L.; Salvador Andresa, J.; Allongue, P.; Chazalviel, J.N.; Gouget-Laemmel, A.C.; De Villeneuve, C.H.; Moraillon, A.; Ozanam, F.; Gabouze, N.; et al. Semiquantitative study of the EDC/NHS activation of acid terminal groups at modified porous silicon surfaces. Langmuir 2010, 26, 809–814. [Google Scholar] [CrossRef]
- Fischer, M.J.E. Amine coupling through EDC/NHS: A practical approach. Methods Mol. Biol. 2010, 627, 55–73. [Google Scholar]
- Lichtenberg, J.Y.; Ling, Y.; Kim, S. Non-specific adsorption reduction methods in biosensing. Sensors 2019, 19, 2488. [Google Scholar] [CrossRef]
- Frederix, F.; Bonroy, K.; Laureyn, W.; Reekmans, G.; Campitelli, A.; Dehaen, W.; Maes, G. Enhanced performance of an affinity biosensor interface based on mixed self-assembled monolayers of thiols on gold. Langmuir 2003, 19, 4351–4357. [Google Scholar] [CrossRef]
- Vashist, S.K.; Dixit, C.K.; MacCraith, B.D.; O’Kennedy, R. Effect of antibody immobilization strategies on the analytical performance of a surface plasmon resonance-based immunoassay. Analyst 2011, 136, 4431–4436. [Google Scholar] [CrossRef]
- Baniukevic, J.; Kirlyte, J.; Ramanavicius, A.; Ramanaviciene, A. Comparison of oriented and random antibody immobilization techniques on the efficiency of immunosensor. Procedia Eng. 2012, 47, 837–840. [Google Scholar] [CrossRef][Green Version]
- Kausaite-Minkstimiene, A.; Ramanaviciene, A.; Kirlyte, J.; Ramanavicius, A. Comparative Study of Random and Oriented Antibody Immobilization Techniques on the Binding Capacity of Immunosensor. Anal. Chem. 2010, 82, 6401–6408. [Google Scholar] [CrossRef] [PubMed]
- Gesztelyi, R.; Zsuga, J.; Kemeny-Beke, A.; Varga, B.; Juhasz, B.; Tosaki, A.; Laubichler Gesztelyi, M.R.; Varga, B.; Juhasz, B.; Tosaki, A.; et al. The Hill equation and the origin of quantitative pharmacology. Arch. Hist. Exact Sci 2012, 66, 427–438. [Google Scholar] [CrossRef]
- Barlow, R.; Blake, J.F. Hill coefficients and the logistic equation. Trends Pharmacol. Sci. 1989, 10, 440–441. [Google Scholar] [CrossRef]
- Weiss, J.N. The Hill equation revisited: Uses and misuses. FASEB J. 1997, 11, 835–841. [Google Scholar] [CrossRef] [PubMed]
- Blasi, D.; Sarcina, L.; Tricase, A.; Stefanachi, A.; Leonetti, F.; Alberga, D.; Mangiatordi, G.F.; Manoli, K.; Scamarcio, G.; Picca, R.A.; et al. Enhancing the Sensitivity of Biotinylated Surfaces by Tailoring the Design of the Mixed Self-Assembled Monolayer Synthesis. ACS Omega 2020, 5, 16762–16771. [Google Scholar] [CrossRef]
- Rich, R.L.; Myszka, D.G. Spying on HIV with SPR. Trends Microbiol. 2003, 11, 124–133. [Google Scholar] [CrossRef]
- Karlsson, R.; Michaelsson, A.; Mattsson, L. Kinetic analysis of monoclonal antibody-antigen interactions with a new biosensor based analytical system. J. Immunol. Methods 1991, 145, 229–240. [Google Scholar] [CrossRef]
- Vessman, J.; Stefan, R.I.; Van Staden, J.F.; Danzer, K.; Lindner, W.; Burns, D.T.; Fajgelj, A.; Müller, H. Selectivity in analytical chemistry (IUPAC Recommendations 2001). Pure Appl. Chem. 2001, 73, 1381–1386. [Google Scholar] [CrossRef]
- Lee, J.H.; Kim, B.C.; Oh, B.K.; Choi, J.W. Highly sensitive localized surface plasmon resonance immunosensor for label-free detection of HIV-1. Nanomed. Nanotechnol. Biol. Med. 2013, 9, 1018–1026. [Google Scholar] [CrossRef] [PubMed]
- Valizadeh, A. Nanomaterials and Optical Diagnosis of HIV. Artif. Cells Nanomed. Biotechnol. 2016, 44, 1383–1390. [Google Scholar] [CrossRef]







| p24 Detection Method | Detection-Type | Limit of Detection | Assay Steps | Label-Needing | Assay Time |
|---|---|---|---|---|---|
| ELISA [22] | quantitative | 40 nM | 5 | yes | at least 5 h |
| MP-SPR | quantitative | 4 nM | 2 | no | <1 h |
| Reagent | Time | ∆θSPR (deg) | |
|---|---|---|---|
| Antibodies conjugation | anti-p24 (50 µg/mL) in PBS | 2 h | 0.13 ± 0.02 |
| Bond-saturation | EA (1 M) in PBS | 45 min | 1 0.11 ± 0.02 |
| Blocking | BSA (100 μg/mL) in PBS | 1 h | 0.08 ± 0.01 |
| Hill Fit | Vmax | k | n | R2 | kn = KD (M) |
|---|---|---|---|---|---|
| SAM-binding | 0.492 ± 0.004 | (1.27 ± 0.03)∙10−7 | 1.2 ± 0.03 | 0.999 | 5.30∙10−9 |
| Phys-anti-p24 | 0.25 ± 0.01 | (3.6 ± 0.2)∙10−7 | 0.64 ± 0.01 | 0.998 | 7.46∙10−5 |
| RSD (%), n = 3 | LOD (nM) | Sensitivity (deg·M−1) | Selectivity (ΔθCRP/ Δθp24) | |
|---|---|---|---|---|
| SAM-binding | 1.0 | 4.1 ± 0.5 | (1.9 ± 0.2)·106 | 0.02 |
| Phys-anti-p24 | 6.2 | 27 ± 1 | (7 ± 2)·105 | 0.08 |
Publisher’s Note: MDPI stays neutral with regard to jurisdictional claims in published maps and institutional affiliations. |
© 2021 by the authors. Licensee MDPI, Basel, Switzerland. This article is an open access article distributed under the terms and conditions of the Creative Commons Attribution (CC BY) license (https://creativecommons.org/licenses/by/4.0/).
Share and Cite
Sarcina, L.; Mangiatordi, G.F.; Torricelli, F.; Bollella, P.; Gounani, Z.; Österbacka, R.; Macchia, E.; Torsi, L. Surface Plasmon Resonance Assay for Label-Free and Selective Detection of HIV-1 p24 Protein. Biosensors 2021, 11, 180. https://doi.org/10.3390/bios11060180
Sarcina L, Mangiatordi GF, Torricelli F, Bollella P, Gounani Z, Österbacka R, Macchia E, Torsi L. Surface Plasmon Resonance Assay for Label-Free and Selective Detection of HIV-1 p24 Protein. Biosensors. 2021; 11(6):180. https://doi.org/10.3390/bios11060180
Chicago/Turabian StyleSarcina, Lucia, Giuseppe Felice Mangiatordi, Fabrizio Torricelli, Paolo Bollella, Zahra Gounani, Ronald Österbacka, Eleonora Macchia, and Luisa Torsi. 2021. "Surface Plasmon Resonance Assay for Label-Free and Selective Detection of HIV-1 p24 Protein" Biosensors 11, no. 6: 180. https://doi.org/10.3390/bios11060180
APA StyleSarcina, L., Mangiatordi, G. F., Torricelli, F., Bollella, P., Gounani, Z., Österbacka, R., Macchia, E., & Torsi, L. (2021). Surface Plasmon Resonance Assay for Label-Free and Selective Detection of HIV-1 p24 Protein. Biosensors, 11(6), 180. https://doi.org/10.3390/bios11060180

