A Fluorescent Probe for the Specific Staining of Cysteine Containing Proteins and Thioredoxin Reductase in SDS-PAGE
Abstract
1. Introduction
2. Experimental Section
2.1. Materials and Instrumentation
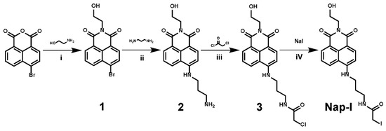
2.2. Synthesis of Nap-I
2.3. Fluorescence Response Measurements
2.4. Determination of Quantum Yield
2.5. Feeding of Se-Enriched Tan Sheep
2.6. Detection of Proteins
2.7. Alkylation of Sec/Cys with Nap-I
3. Results and Discussion
3.1. Design and Synthesis of Fluorescent Probe Nap-I
3.2. Spectrophotometric Measurements of Fluorescent Probe Nap-I
3.3. Alkylation Efficiency of Sec/Cys with Nap-I at Different pH
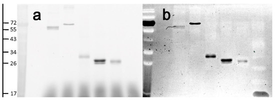
3.4. Labeling of Thiol-Containing Proteins by Nap-I
3.5. Determination of the Main Thiol-Containing Proteins in the Serum of Tan Sheep
3.6. Differentiation and Labeling of TXNRD1 and TXNRD2 in Mouse Liver
3.7. Labeling of TXNRD in Tan Sheep Liver and Muscle
4. Conclusions
Supplementary Materials
Author Contributions
Funding
Institutional Review Board Statement
Informed Consent Statement
Conflicts of Interest
References
- Jacob, C.; Giles, G.I.; Giles, N.M.; Sies, H. Sulfur and selenium: The role of oxidation state in protein structure and function. Angew. Chem. Int. Ed. 2003, 42, 4742–4758. [Google Scholar] [CrossRef]
- Liu, Y.; Yu, Y.; Zhao, Q.; Tang, C.; Zhang, H.; Qin, Y.; Feng, X.; Zhang, J. Fluorescent probes based on nucleophilic aromatic substitution reactions for reactive sulfur and selenium species: Recent progress, applications, and design strategies. Coord. Chem. Rev. 2021, 427, 213601–213622. [Google Scholar] [CrossRef]
- Yin, K.; Yu, F.; Zhang, W.; Chen, L. A near-infrared ratiometric fluorescent probe for cysteine detection over glutathione indicating mitochondrial oxidative stress in vivo. Biosens. Bioelectron. 2015, 74, 156–164. [Google Scholar] [CrossRef]
- Mousa, R.; Notis Dardashti, R.; Metanis, N. Selenium and Selenocysteine in Protein Chemistry. Angew. Chem. Int. Ed. 2017, 56, 15818–15827. [Google Scholar] [CrossRef]
- Rayman, M.P. Selenium and human health. Lancet 2012, 379, 1256–1268. [Google Scholar] [CrossRef]
- Zhang, B.; Liu, Y.; Li, X.; Xu, J.; Fang, J. Small Molecules to Target the Selenoprotein Thioredoxin Reductase. Chem-Asian J. 2018, 13, 3593–3600. [Google Scholar] [CrossRef] [PubMed]
- Zhang, B.; Zhang, J.; Peng, S.; Liu, R.; Li, X.; Hou, Y.; Han, X.; Fang, J. Thioredoxin reductase inhibitors: A patent review. Expert Opin. Ther. Pat. 2017, 27, 547–556. [Google Scholar] [CrossRef]
- Zhang, J.; Li, X.; Han, X.; Liu, R.; Fang, J. Targeting the Thioredoxin System for Cancer Therapy. Trends Pharmacol. Sci. 2017, 38, 794–808. [Google Scholar] [CrossRef] [PubMed]
- Liu, Y.; Feng, X.; Yu, Y.; Zhao, Q.; Tang, C.; Zhang, J. A review of bioselenol-specific fluorescent probes: Synthesis, properties, and imaging applications. Anal. Chim. Acta 2020, 1110, 141–150. [Google Scholar] [CrossRef]
- Bak, D.W.; Gao, J.; Wang, C.; Weerapana, E. A Quantitative Chemoproteomic Platform to Monitor Selenocysteine Reactivity within a Complex Proteome. Cell Chem. Biol. 2018, 25, 1157–1167. [Google Scholar] [CrossRef] [PubMed]
- Maeda, H.; Katayama, K.; Matsuno, H.; Uno, T. 3′-(2,4-Dinitrobenzenesulfonyl)-2′,7′-dimethylfluorescein as a fluorescent probe for selenols. Angew. Chem. Int. Ed. 2006, 45, 1810–1813. [Google Scholar] [CrossRef]
- Han, X.; Wang, R.; Song, X.; Yu, F.; Chen, L. Evaluation Selenocysteine Protective Effect in Carbon Disulfide Induced Hepatitis with a Mitochondrial Targeting Ratiometric Near-Infrared Fluorescent Probe. Anal. Chem. 2018, 90, 8108–8115. [Google Scholar] [CrossRef]
- Zhang, B.; Ge, C.; Yao, J.; Liu, Y.; Xie, H.; Fang, J. Selective selenol fluorescent probes: Design, synthesis, structural determinants, and biological applications. J. Am. Chem. Soc. 2015, 137, 757–769. [Google Scholar] [CrossRef]
- Zhang, S.; Wang, Q.; Liu, X.; Zhang, J.; Yang, X.F.; Li, Z.; Li, H. Sensitive and Selective Fluorescent Probe for Selenol in Living Cells Designed via a p Ka Shift Strategy. Anal. Chem. 2018, 90, 4119–4125. [Google Scholar] [CrossRef]
- Cheng, D.; Pan, Y.; Yin, B.C.; Yuan, L.; Zhang, X.B. A new fluorescent probe with ultralow background fluorescence for imaging of endogenous cellular selenol under oxidative stress. Chin. Chem. Lett. 2017, 28, 1987–1990. [Google Scholar] [CrossRef]
- Kong, F.; Zhao, Y.; Liang, Z.; Liu, X.; Pan, X.; Luan, D.; Xu, K.; Tang, B. Highly Selective Fluorescent Probe for Imaging H2Se in Living Cells and in Vivo Based on the Disulfide Bond. Anal. Chem. 2017, 89, 688–693. [Google Scholar] [CrossRef] [PubMed]
- Zhang, L.; Duan, D.; Liu, Y.; Ge, C.; Cui, X.; Sun, J.; Fang, J. Highly selective off-on fluorescent probe for imaging thioredoxin reductase in living cells. J. Am. Chem. Soc. 2014, 136, 226–233. [Google Scholar] [CrossRef] [PubMed]
- Li, X.; Zhang, B.; Yan, C.; Li, J.; Wang, S.; Wei, X.; Jiang, X.; Zhou, P.; Fang, J. A fast and specific fluorescent probe for thioredoxin reductase that works via disulphide bond cleavage. Nat. Commun. 2019, 10, 2745. [Google Scholar] [CrossRef] [PubMed]
- Hu, B.; Cheng, R.; Liu, X.; Pan, X.; Kong, F.; Gao, W.; Xu, K.; Tang, B. A nanosensor for in vivo selenol imaging based on the formation of Au-Se bonds. Biomaterials 2016, 92, 81–89. [Google Scholar] [CrossRef]
- Liu, X.; Hu, B.; Cheng, R.; Kong, F.; Pan, X.; Xu, K.; Tang, B. Simultaneous fluorescence imaging of selenol and hydrogen peroxide under normoxia and hypoxia in HepG2 cells and in vivo. Chem. Commun. 2016, 52, 6693–6696. [Google Scholar] [CrossRef]
- Liang, B.; Shao, W.; Zhu, C.; Wen, G.; Yue, X.; Wang, R.; Quan, J.; Du, J.; Bu, X. Mitochondria-Targeted Approach: Remarkably Enhanced Cellular Bioactivities of TPP2a as Selective Inhibitor and Probe toward TrxR. ACS Chem. Biol. 2016, 11, 425–434. [Google Scholar] [CrossRef]
- Huang, L.; Chen, Y.; Liang, B.; Xing, B.; Wen, G.; Wang, S.; Yue, X.; Zhu, C.; Du, J.; Bu, X. A furanyl acryl conjugated coumarin as an efficient inhibitor and a highly selective off-on fluorescent probe for covalent labelling of thioredoxin reductase. Chem. Commun. 2014, 50, 6987–6990. [Google Scholar] [CrossRef]
- Tian, Y.; Xin, F.Y.; Gao, C.C.; Jing, J.; Zhang, X.L. Ratiometric fluorescence imaging of endogenous selenocysteine in cancer cell matrix. J. Mater. Chem. B 2017, 5, 6890–6896. [Google Scholar] [CrossRef] [PubMed]
- Kong, F.; Hu, B.; Gao, Y.; Xu, K.; Pan, X.; Huang, F.; Zheng, Q.; Chen, H.; Tang, B. Fluorescence imaging of selenol in HepG2 cell apoptosis induced by Na2SeO3. Chem. Commun. 2015, 51, 3102–3105. [Google Scholar] [CrossRef]
- Kong, F.; Ge, L.; Pan, X.; Xu, K.; Liu, X.; Tang, B. A highly selective near-infrared fluorescent probe for imaging H2Se in living cells and in vivo. Chem. Sci. 2016, 7, 1051–1056. [Google Scholar] [CrossRef] [PubMed]
- Tian, Y.; Xin, F.; Jing, J.; Zhang, X. Fluorescence imaging of lysosomal hydrogen selenide under oxygen-controlled conditions. J. Mater. Chem. B 2019, 7, 2829–2834. [Google Scholar] [CrossRef]
- Pan, X.; Song, X.; Wang, C.; Cheng, T.; Luan, D.; Xu, K.; Tang, B. H2Se Induces Reductive Stress in HepG2 Cells and Activates Cell Autophagy by Regulating the Redox of HMGB1 Protein under Hypoxia. Theranostics 2019, 9, 1794–1808. [Google Scholar] [CrossRef] [PubMed]
- Manjare, S.T.; Kim, Y.; Churchill, D.G. Selenium- and tellurium-containing fluorescent molecular probes for the detection of biologically important analytes. Acc. Chem. Res. 2014, 47, 2985–2998. [Google Scholar] [CrossRef]
- Wu, D.; Chen, L.; Kwon, N.; Yoon, J. Fluorescent Probes Containing Selenium as a Guest or Host. Chem 2016, 1, 674–698. [Google Scholar] [CrossRef]
- Ismail, I.; Wang, D.; Wang, Z.; Wang, D.; Zhang, C.; Yi, L.; Xi, Z. A julolidine-fused coumarin-NBD dyad for highly selective and sensitive detection of H2S in biological samples. Dyes Pigments 2019, 163, 700–706. [Google Scholar] [CrossRef]
- Kang, J.; Huo, F.; Yao, Y.; Yin, C. A high signal-to-background ratio H2S-specific fluorescent probe based on nucleophilic substitution and its bioimaging for generation H2S induced by Ca2+ in vivo. Dyes Pigment. 2019, 171, 107755–107760. [Google Scholar] [CrossRef]
- Zhai, L.; Shi, Z.; Tu, Y.; Pu, S. A dual emission fluorescent probe enables simultaneous detection and discrimination of Cys/Hcy and GSH and its application in cell imaging. Dyes Pigment. 2019, 165, 164–171. [Google Scholar] [CrossRef]
- Maeda, H.; Matsuno, H.; Ushida, M.; Katayama, K.; Saeki, K.; Itoh, N. 2,4-Dinitrobenzenesulfonyl fluoresceins as fluorescent alternatives to Ellman’s reagent in thiol-quantification enzyme assays. Angew. Chem. Int. Ed. 2005, 44, 2922–2925. [Google Scholar] [CrossRef] [PubMed]
- Sun, J.; Zhang, L.; Zhang, X.; Hu, Y.; Ge, C.; Fang, J. An ultrafast turn-on thiol probe for protein labeling and bioimaging. Analyst 2016, 141, 2009–2015. [Google Scholar] [CrossRef] [PubMed]
- Chen, M.Z.; Moily, N.S.; Bridgford, J.L.; Wood, R.J.; Radwan, M.; Smith, T.A.; Song, Z.; Tang, B.Z.; Tilley, L.; Xu, X.; et al. A thiol probe for measuring unfolded protein load and proteostasis in cells. Nat. Commun. 2017, 8, 474. [Google Scholar] [CrossRef]
- Li, X.; Feng, Q.; Qu, L.; Zhao, T.; Li, X.; Bai, T.; Sun, S.; Wu, S.; Zhang, Y.; Li, J. A water-soluble and incubate-free fluorescent environment-sensitive probe for ultrafast visualization of protein thiols within living cells. Anal. Chim. Acta 2020, 1126, 72–81. [Google Scholar] [CrossRef]
- Yu, Y.; Li, J.; Chen, S.; Hong, Y.; Ng, K.M.; Luo, K.Q.; Tang, B.Z. Thiol-reactive molecule with dual-emission-enhancement property for specific prestaining of cysteine containing proteins in SDS-PAGE. ACS Appl. Mater. Interfaces 2013, 5, 4613–4616. [Google Scholar] [CrossRef]
- Zhang, L.Y.; Tu, F.Q.; Guo, X.F.; Wang, H.; Wang, P.; Zhang, H.S. A new BODIPY-based long-wavelength fluorescent probe for chromatographic analysis of low-molecular-weight thiols. Anal. Bioanal. Chem. 2014, 406, 6723–6733. [Google Scholar] [CrossRef]
- Huang, K.J.; Han, C.H.; Han, C.Q.; Li, J.; Wu, Z.W.; Liu, Y.M. Determination of thiol compounds by solid-phase extraction using multi-walled carbon nanotubes as adsorbent coupled with high-performance liquid chromatography-fluorescence detection. Microchim. Acta 2011, 174, 421–427. [Google Scholar] [CrossRef]
- Guo, L.; Yang, W.; Huang, Q.; Qiang, J.; Hart, J.R.; Wang, W.; Hu, J.; Zhu, J.; Liu, N.; Zhang, Y. Selenocysteine-Specific Mass Spectrometry Reveals Tissue-Distinct Selenoproteomes and Candidate Selenoproteins. Cell Chem. Biol. 2018, 25, 1380–1388. [Google Scholar] [CrossRef]
- Jedrychowski, M.P.; Lu, G.Z.; Szpyt, J.; Mariotti, M.; Garrity, R.; Paulo, J.A.; Schweppe, D.K.; Laznik-Bogoslavski, D.; Kazak, L.; Murphy, M.P.; et al. Facultative protein selenation regulates redox sensitivity, adipose tissue thermogenesis, and obesity. Proc. Natl. Acad. Sci. USA 2020, 117, 10789–10796. [Google Scholar] [CrossRef] [PubMed]
- Zhu, X.; Li, Y.; Zan, W.; Zhang, J.; Chen, Z.; Liu, X.; Qi, F.; Yao, X.; Zhang, X.; Zhang, H. A two-photon off-on fluorescence probe for imaging thiols in live cells and tissues. Photochem. Photobiol. Sci. 2016, 15, 412–419. [Google Scholar] [CrossRef]
- Liu, T.; Xu, Z.; Spring, D.R.; Cui, J. A Lysosome-Targetable Fluorescent Probe for Imaging Hydrogen Sulfide in Living Cells. Org. Lett. 2013, 15, 2310–2313. [Google Scholar] [CrossRef]
- Yang, Y.; Tang, C.; Gu, X. Synthesis of Near-Infrared Fluorescence Probe Reagents for Site-Specific Labeling of Proteins. Chem. Bull. 2016, 79, 856–875. [Google Scholar]
- Allen, C.D.; Chen, M.Y.; Trick, A.Y.; Le, D.T.; Ferguson, A.L.; Link, A.J. Thermal Unthreading of the Lasso Peptides Astexin-2 and Astexin-3. ACS Chem. Biol. 2016, 11, 3043–3051. [Google Scholar] [CrossRef] [PubMed]
- Yu, C.; Tang, J.; Loredo, A.; Chen, Y.; Jung, S.Y.; Jain, A.; Gordon, A.; Xiao, H. Proximity-Induced Site-Specific Antibody Conjugation. Bioconjug. Chem. 2018, 29, 3522–3526. [Google Scholar] [CrossRef] [PubMed]
- Barksdale, A.D.; Rosenberg, A. Thermodynamic characterization of subunit association in liganded ferrohemoglobin. The temperature pH, and anion dependence of the carboxyhemoglobin A dimer-tetramer equilibrium. J. Biol. Chem. 1978, 253, 4881–4885. [Google Scholar] [CrossRef]
- Nagel, R.L.; Gibson, Q.H. The binding of hemoglobin to haptoglobin and its relation to subunit dissociation of hemoglobin. J. Biol. Chem. 1971, 246, 69–73. [Google Scholar] [CrossRef]
- Zhang, L.; Levy, A.; Rifkind, J.M. Autoxidation of hemoglobin enhanced by dissociation into dimers. J. Biol. Chem. 1991, 266, 24698–24701. [Google Scholar] [CrossRef]
- Gencheva, R.; Cheng, Q.; Arner, E.S.J. Efficient selenocysteine-dependent reduction of toxoflavin by mammalian thioredoxin reductase. Biochim. Biophys. Acta Gen. Subj. 2018, 1862, 2511–2517. [Google Scholar] [CrossRef]
- Loeb, L.A.; Wallace, D.C.; Martin, G.M. The mitochondrial theory of aging and its relationship to reactive oxygen species damage and somatic mtDNA mutations. Proc. Natl. Acad. Sci. USA 2005, 102, 18769–18770. [Google Scholar] [CrossRef] [PubMed]
- Van Eyken, E.; Van Camp, G.; Van Laer, L. The complexity of age-related hearing impairment: Contributing environmental and genetic factors. Audiol. Neurootol. 2007, 12, 345–358. [Google Scholar] [CrossRef] [PubMed]
- Wallace, D.C. A mitochondrial paradigm of metabolic and degenerative diseases, aging, and cancer: A dawn for evolutionary medicine. Annu. Rev. Genet. 2005, 39, 359–407. [Google Scholar] [CrossRef] [PubMed]
- Stanley, B.A.; Shi, S.; Sivakumaran, V.; Watson, W.; Aon, M.; Paolocci, N. The Thioredoxin 2 system Controls H2O2 Emission Flux from Mitochondria. Biophys. J. 2011, 100, 458. [Google Scholar] [CrossRef][Green Version]
- Yang, J.-H. Levels of Serum Thioredoxin System in Patients with Insomnia Disorder and Healthy Control: A Case-Control Study; Jinan University: Guangzhou, China, 2016. [Google Scholar]







Publisher’s Note: MDPI stays neutral with regard to jurisdictional claims in published maps and institutional affiliations. |
© 2021 by the authors. Licensee MDPI, Basel, Switzerland. This article is an open access article distributed under the terms and conditions of the Creative Commons Attribution (CC BY) license (https://creativecommons.org/licenses/by/4.0/).
Share and Cite
Liu, Y.; Yu, Y.; Meng, Q.; Jia, X.; Zhu, J.; Tang, C.; Zhao, Q.; Feng, X.; Zhang, J. A Fluorescent Probe for the Specific Staining of Cysteine Containing Proteins and Thioredoxin Reductase in SDS-PAGE. Biosensors 2021, 11, 132. https://doi.org/10.3390/bios11050132
Liu Y, Yu Y, Meng Q, Jia X, Zhu J, Tang C, Zhao Q, Feng X, Zhang J. A Fluorescent Probe for the Specific Staining of Cysteine Containing Proteins and Thioredoxin Reductase in SDS-PAGE. Biosensors. 2021; 11(5):132. https://doi.org/10.3390/bios11050132
Chicago/Turabian StyleLiu, Yuning, Yanan Yu, Qingshi Meng, Xueting Jia, Jiawei Zhu, Chaohua Tang, Qingyu Zhao, Xiaohui Feng, and Junmin Zhang. 2021. "A Fluorescent Probe for the Specific Staining of Cysteine Containing Proteins and Thioredoxin Reductase in SDS-PAGE" Biosensors 11, no. 5: 132. https://doi.org/10.3390/bios11050132
APA StyleLiu, Y., Yu, Y., Meng, Q., Jia, X., Zhu, J., Tang, C., Zhao, Q., Feng, X., & Zhang, J. (2021). A Fluorescent Probe for the Specific Staining of Cysteine Containing Proteins and Thioredoxin Reductase in SDS-PAGE. Biosensors, 11(5), 132. https://doi.org/10.3390/bios11050132

