Fabrication, Characterization, and Properties of Poly (Ethylene-Co-Vinyl Acetate) Composite Thin Films Doped with Piezoelectric Nanofillers
Abstract
1. Introduction
2. Materials and Methods
2.1. Materials
2.2. Thin Film Fabrication
2.3. Thickness and Morphological Evaluation
2.4. Mechanical Characterization
2.5. Differential Scanning Calorimetry
2.6. Radiopacity Measurement
2.7. Electromechanical Response Analysis
2.8. Statistical Analysis
3. Results and Discussion
3.1. Thin Film Fabrication: Analysis of Thickness and Nanomaterial Dispersion
3.2. Mechanical Properties
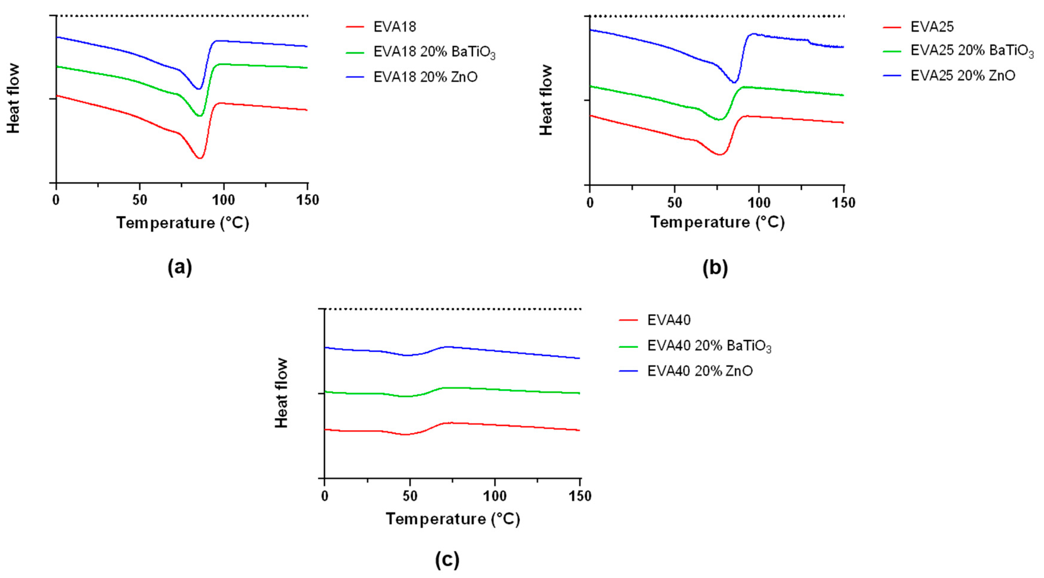
3.3. Thermal Properties
3.4. Radiopacity
3.5. Electromechanical Response
4. Conclusions
Supplementary Materials
Author Contributions
Funding
Acknowledgments
Conflicts of Interest
References
- Cafarelli, A.; Verbeni, A.; Poliziani, A.; Dario, P.; Menciassi, A.; Ricotti, L. Tuning acoustic and mechanical properties of materials for ultrasound phantoms and smart substrates for cell cultures. Acta Biomater. 2017, 49, 368–378. [Google Scholar] [CrossRef]
- Vannozzi, L.; Iacovacci, V.; Menciassi, A.; Ricotti, L. Nanocomposite thin films for triggerable drug delivery. Exp. Opin. Drug Deliv. 2018, 15, 509–522. [Google Scholar] [CrossRef]
- Bramhill, J.; Ross, S.; Ross, G. Bioactive nanocomposites for tissue repair and regeneration: A review. Int. J. Environ. Res. Public Health 2017, 14, 66. [Google Scholar] [CrossRef]
- Ciofani, G.; Ricotti, L.; Mattoli, V. Preparation, characterization and in vitro testing of poly (lactic-co-glycolic) acid/barium titanate nanoparticle composites for enhanced cellular proliferation. Biomed. Microdev. 2011, 13, 255–266. [Google Scholar] [CrossRef]
- Whulanza, Y.; Battini, E.; Vannozzi, L.; Vomero, M.; Ahluwalia, A.; Vozzi, G. Electrical and mechanical characterisation of single wall carbon nanotubes based composites for tissue engineering applications. J. Nanosci. Nanotechnol. 2013, 13, 188–197. [Google Scholar] [CrossRef]
- Vannozzi, L.; Ricotti, L.; Filippeschi, C.; Sartini, S.; Coviello, V.; Piazza, V.; Pingue, P.; La Motta, C.; Dario, P.; Menciassi, A. Nanostructured ultra-thin patches for ultrasound-modulated delivery of anti-restenotic drug. Int. J. Nanomed. 2016, 11, 69. [Google Scholar] [CrossRef]
- Fujie, T. Development of free-standing polymer nanosheets for advanced medical and health-care applications. Polym. J. 2016, 48, 773–780. [Google Scholar] [CrossRef]
- Osman, A.F.; Alakrach, A.M.; Kalo, H.; Azmi, W.N.W.; Hashim, F. In vitro biostability and biocompatibility of ethyl vinyl acetate (EVA) nanocomposites for biomedical applications. RSC Adv. 2015, 5, 31485–31495. [Google Scholar] [CrossRef]
- Schneider, C.; Langer, R.; Loveday, D.; Hair, D. Applications of ethylene vinyl acetate copolymers (EVA) in drug delivery systems. J. Control. Release 2017, 262, 284–295. [Google Scholar] [CrossRef]
- Shastri, P.V. Toxicology of polymers for implant contraceptives for women. Contraception 2002, 65, 9–13. [Google Scholar] [CrossRef]
- Almeida, A.; Possemiers, S.; Boone, M.; De Beer, T.; Quinten, T.; Van Hoorebeke, L.; Remon, J.P.; Vervaet, C. Ethylene vinyl acetate as matrix for oral sustained release dosage forms produced via hot-melt extrusion. Eur. J. Pharm. Biopharm. 2011, 77, 297–305. [Google Scholar] [CrossRef]
- Chaudhary, D.S.; Prasad, R.; Gupta, R.K.; Bhattacharya, S.N. Morphological influence on mechanical characterization of ethylene-vinyl acetate copolymer–clay nanocomposites. Polym. Eng. Sci. 2005, 45, 889–897. [Google Scholar] [CrossRef]
- Bidsorkhi, H.C.; Adelnia, H.; Pour, R.H.; Soheilmoghaddam, M. Preparation and characterization of ethylene-vinyl acetate/halloysite nanotube nanocomposites. J. Mater. Sci. 2015, 50, 3237–3245. [Google Scholar] [CrossRef]
- Stan, F.; Stanciu, N.V.; Fetecau, C. Melt rheological properties of ethylene-vinyl acetate/multi-walled carbon nanotube composites. Compos. Part B Eng. 2017, 110, 20–31. [Google Scholar] [CrossRef]
- Yousefzade, O.; Hemmati, F.; Garmabi, H.; Mahdavi, M. Thermal behavior and electrical conductivity of ethylene vinyl acetate copolymer/expanded graphite nanocomposites: Effects of nanofiller size and loading. J. Vinyl Addit. Technol. 2016, 22, 51–60. [Google Scholar] [CrossRef]
- Ramesan, M. Fabrication, characterization, and properties of poly (ethylene-co-vinyl acetate)/magnetite nanocomposites. J. Appl. Polym. Sci. 2014, 131, 7. [Google Scholar] [CrossRef]
- Bhuyan, B.; Roy, A.; Srivastava, S.; Mittal, V. Multiwalled carbon nanotube/montmorillonite hybrid filled ethylene-co-vinyl acetate nanocomposites with enhanced mechanical properties, thermal stability, and dielectric response. Polym. Eng. Sci. 2018, 58, 1155–1165. [Google Scholar] [CrossRef]
- Huang, X.; Xie, L.; Jiang, P.; Wang, G.; Liu, F. Electrical, thermophysical and micromechanical properties of ethylene-vinyl acetate elastomer composites with surface modified BaTiO3 nanoparticles. J. Phys. D Appl. Phys. 2009, 42, 245407. [Google Scholar] [CrossRef]
- Sebastian, J.; Thachil, E.T.; Mathen, J.J.; Madhavan, J.; Thomas, P.; Philip, J.; Jayalakshm, M.S.; Mahmud, S.; Ginson, P.J. Enhancement in the electrical and thermal properties of ethylene vinyl acetate (EVA) co-polymer by zinc oxide nanoparticles. Open J. Compos. Mater. 2015, 5, 79. [Google Scholar] [CrossRef]
- Wu, S. Phase structure and adhesion in polymer blends: a criterion for rubber toughening. Polymer 1985, 26, 1855–1863. [Google Scholar] [CrossRef]
- Tomić, N.; Međo, B.; Stojanović, D.; Radojević, V.; Rakin, M.; Jančić-Heinemann, R.; Aleksić, R.R. A rapid test to measure adhesion between optical fibers and ethylene–vinyl acetate copolymer (EVA). Int. J. Adhesion Adhesives 2016, 68, 341–350. [Google Scholar] [CrossRef]
- Henderson, A.M. Ethylene-vinyl acetate (EVA) copolymers: a general review. IEEE Electr. Insulat. Mag. 1993, 9, 30–38. [Google Scholar] [CrossRef]
- Faker, M.; Aghjeh, M.R.; Ghaffari, M.; Seyyedi, S. Rheology, morphology and mechanical properties of polyethylene/ethylene vinyl acetate copolymer (PE/EVA) blends. Eur. Polym. J. 2008, 44, 1834–1842. [Google Scholar] [CrossRef]
- Esthappan, S.K.; Nair, A.B.; Joseph, R. Effect of crystallite size of zinc oxide on the mechanical, thermal and flow properties of polypropylene/zinc oxide nanocomposites. Compos. Part B Eng. 2015, 69, 145–153. [Google Scholar] [CrossRef]
- Jayaraman, A.; Schweizer, K.S. Effective interactions and self-assembly of hybrid polymer grafted nanoparticles in a homopolymer matrix. Macromolecules 2009, 42, 8423–8434. [Google Scholar] [CrossRef]
- Njuguna, J.; Pielichowski, K.; Desai, S. Nanofiller-reinforced polymer nanocomposites. Polym. Adv. Technol. 2008, 19, 947–959. [Google Scholar] [CrossRef]
- Crosby, A.J.; Lee, J.Y. Polymer nanocomposites: The “nano” effect on mechanical properties. Polym. Rev. 2007, 47, 217–229. [Google Scholar] [CrossRef]
- Zare, Y. Modeling the yield strength of polymer nanocomposites based upon nanoparticle agglomeration and polymer–filler interphase. J. Colloid Interface Sci. 2016, 467, 165–169. [Google Scholar] [CrossRef]
- Zare, Y. Development of Halpin-Tsai model for polymer nanocomposites assuming interphase properties and nanofiller size. Polym Test. 2016, 51, 69–73. [Google Scholar] [CrossRef]
- Dorigato, A.; Dzenis, Y.; Pegoretti, A. Filler aggregation as a reinforcement mechanism in polymer nanocomposites. Mech Mater. 2013, 61, 79–90. [Google Scholar] [CrossRef]
- Zare, Y. Study of nanoparticles aggregation/agglomeration in polymer particulate nanocomposites by mechanical properties. Compos. Part A Appl. Sci. Manuf. 2016, 84, 158–164. [Google Scholar] [CrossRef]
- Hasebe, A.; Suematsu, Y.; Takeoka, S.; Mazzocchi, T.; Vannozzi, L.; Ricotti, L.; Fuije, T. Biohybrid Actuators Based on Skeletal Muscle-Powered Microgrooved Ultrathin Films Consisting of Poly(styrene-block-butadiene-block-styrene). ACS Biomater. Sci. Eng. 2019. [Google Scholar] [CrossRef]
- Cyras, V.; D’Amico, D.; Manfredi, L. Crystallization behavior of polymer nanocomposites. In Crystallization in Multiphase Polymer Systems; Elsevier: Amsterdam, The Netherlands, 2018; pp. 269–311. [Google Scholar]
- Khan, J.; Harton, S.E.; Akcora, P.; Benicewicz, B.C.; Kumar, S.K. Polymer crystallization in nanocomposites: spatial reorganization of nanoparticles. Macromolecules 2009, 42, 5741–5744. [Google Scholar] [CrossRef]
- Müller, K.; Bugnicourt, E.; Latorre, M.; Jorda, M.; Echegoyen Sanz, Y.; Lagaron, J.; Miesbauer, O.; Bianchin, A.; Hankin, S.; Bolz, U.; et al. Review on the processing and properties of polymer nanocomposites and nanocoatings and their applications in the packaging, automotive and solar energy fields. Nanomaterials 2017, 7, 74. [Google Scholar] [CrossRef]
- Bistac, S.; Kunemann, P.; Schultz, J. Crystalline modifications of ethylene-vinyl acetate copolymers induced by a tensile drawing: Effect of the molecular weight. Polymer 1998, 39, 4875–4881. [Google Scholar] [CrossRef]
- Ang, H.Y.; Toong, D.; Chow, W.S.; Seisilya, W.; Wu, W.; Wong, P.; Venkatraman, S.S.; Foin, N.; Huang, Y. Radiopaque fully degradable nanocomposites for coronary stents. Sci. Rep. 2018, 8, 17409. [Google Scholar] [CrossRef]
- Wang, Y.; Van den Akker, N.M.; Molin, D.G.; Gagliardi, M.; Van der Marel, C.; Lutz, M.; Knetsch, L.W.M.; Koole, L.H. A nontoxic additive to introduce X-ray contrast into poly (lactic acid). Implications for transient medical implants such as bioresorbable coronary vascular scaffolds. Adv. Healthc. Mater. 2014, 3, 290–299. [Google Scholar] [CrossRef]
- Park, K.I.; Xu, S.; Liu, Y.; Hwang, G.T.; Kang, S.J.L.; Wang, Z.L.; Lee, K.J. Piezoelectric BaTiO3 thin film nanogenerator on plastic substrates. Nano Lett. 2010, 10, 4939–4943. [Google Scholar] [CrossRef]
- Ribeiro, C.; Sencadas, V.; Correia, D.M.; Lanceros-Méndez, S. Piezoelectric polymers as biomaterials for tissue engineering applications. Colloids Surfaces B Biointerf. 2015, 136, 46–55. [Google Scholar] [CrossRef]
- Khodasevych, I.; Parmar, S.; Troynikov, O. Flexible sensors for pressure therapy: Effect of substrate curvature and stiffness on sensor performance. Sensors 2017, 17, 2399. [Google Scholar] [CrossRef]
- Nanshu, L.; Dae-Hyeong, K. Flexible and stretchable electronics paving the way for soft robotics. Soft Robot. 2014, 1, 53–62. [Google Scholar]
- Hwang, G.T.; Byun, M.; Jeong, C.K.; Lee, K.J. Flexible piezoelectric thin-film energy harvesters and nanosensors for biomedical applications. Adv. Healthc. Mater. 2015, 4, 646–658. [Google Scholar] [CrossRef]
- Yeo, J.C.; Lim, C.T. Emerging flexible and wearable physical sensing platforms for healthcare and biomedical applications. Microsyst. Nanoeng. 2016, 2, 16043. [Google Scholar]
- Wang, H.; Totaro, M.; Beccai, L. Toward perceptive soft robots: Progress and challenges. Adv. Sci. 2018, 5, 1800541. [Google Scholar] [CrossRef]
- Jacob, J.; More, N.; Kalia, K.; Kapusetti, G. Piezoelectric smart biomaterials for bone and cartilage tissue engineering. Inflammat. Regenerat. 2018, 38, 2. [Google Scholar] [CrossRef]
- Alluri, N.R.; Chandrasekhar, A.; Vivekananthan, V.; Purusothaman, Y.; Selvarajan, S.; Jeong, J.H.; Kim, S.J. Scavenging biomechanical energy using high-performance, flexible BaTiO3 nanocube/PDMS composite films. ACS Sustain. Chem. Eng. 2017, 5, 4730–4738. [Google Scholar] [CrossRef]
- Lin, Z.H.; Yang, Y.; Wu, J.M.; Liu, Y.; Zhang, F.; Wang, Z.L. BaTiO3 nanotubes-based flexible and transparent nanogenerators. J. Phys. Chem. Lett. 2012, 3, 3599–3604. [Google Scholar] [CrossRef]









| Polymer Formulation | Elastic Modulus (MPa) | Tensile Strength (MPa) | Elongation at Break (%) | Toughness (MPa) | Flexural Rigidity (MPa) |
|---|---|---|---|---|---|
| 5EVA18 | 20.85 ± 5.51 | 5.89 ± 0.94 | 611 ± 121 | 34.44 ± 7.36 | 4.00 × 10−6 |
| 5EVA18 10% BaTiO3 | 24.11 ± 1.91 | 10.05 ± 1.18 | 922 ± 167 | 55.54 ± 6.14 | 5.18 × 10−6 |
| 5EVA18 20% BaTiO3 | 21.29 ± 4.70 | 8.75 ± 1.13 | 1026 ± 95 | 65.61 ± 16.07 | 6.59 × 10−6 |
| 5EVA18 10% ZnO | 24.86 ± 2.19 | 12.80 ± 1.24 | 944 ± 274 | 79.28 ± 13.48 | 3.92 × 10−6 |
| 5EVA18 20% ZnO | 22.12 ± 3.18 | 9.33 ± 0.90 | 1396 ± 256 | 100.33 ± 15.14 | 3.48 × 10−6 |
| 10EVA18 | 20.44 ± 4.84 | 7.12 ± 2.71 | 852 ± 254 | 54.92 ± 37.51 | 1.20 × 10−5 |
| 10EVA18 10% BaTiO3 | 25.24 ± 4.18 | 7.59 ± 0.77 | 801 ± 281 | 53.14 ± 27.17 | 1.09 × 10−5 |
| 10EVA18 20% BaTiO3 | 26.32 ± 5.69 | 10.07 ± 2.01 | 745 ± 125 | 56.46 ± 14.22 | 1.07 × 10−5 |
| 10EVA18 10% ZnO | 22.94 ± 6.28 | 9.33 ± 4.27 | 1002 ± 227 | 67.72 ± 26.35 | 9.4 × 10−6 |
| 10EVA18 20% ZnO | 24.87 ± 3.81 | 9.13 ± 1.77 | 728 ± 124 | 55.69 ± 17.28 | 9.04 × 10−6 |
| 5EVA25 | 8.85 ± 0.86 | 4.58 ± 2.13 | 806 ± 103 | 42.59 ± 21.74 | 1.46 × 10−6 |
| 5EVA25 10% BaTiO3 | 10.63 ± 2.74 | 7.66 ± 1.81 | 1184 ± 57 | 83.91 ± 9.80 | 2.09 × 10−6 |
| 5EVA25 20% BaTiO3 | 11.25 ± 0.67 | 6.70 ± 0.78 | 1215 ± 190 | 73.05 ± 10.26 | 2.56 × 10−6 |
| 5EVA25 10%ZnO | 10.83 ± 0.82 | 7.23 ± 1.59 | 1432 ± 173 | 90.37 ± 26.86 | 2.80 × 10−6 |
| 5EVA25 20%ZnO | 12.47 ± 3.76 | 7.16 ± 2.59 | 1078 ± 272 | 77.78 ± 37.94 | 2.14 × 10−6 |
| 10EVA25 | 7.81 ± 1.06 | 5.79 ± 2.74 | 797 ± 128 | 58.35 ± 25.36 | 4.98 × 10−6 |
| 10EVA25 10% BaTiO3 | 11.25 ± 1.58 | 6.31 ± 1.16 | 794 ± 122 | 50.64 ± 17.26 | 4.44 × 10−6 |
| 10EVA25 20% BaTiO3 | 12.54 ± 3.10 | 6.68 ± 2.70 | 1019 ± 362 | 66.47 ± 23.16 | 8.40 × 10−6 |
| 10EVA25 10%ZnO | 16.45 ± 1.58 | 7.35 ± 1.10 | 847 ± 75 | 52.35 ± 11.74 | 3.14 × 10−6 |
| 10EVA25 20%ZnO | 16.24 ± 1.81 | 6.62 ± 1.75 | 989 ± 172 | 66.87 ± 13.70 | 3.70 × 10−6 |
| 5EVA40 | 2.03 ± 0.41 | 2.94 ± 0.31 | 1426 ± 164 | 39.82 ± 13.84 | 4.18 × 10−7 |
| 5EVA40 10% BaTiO3 | 2.27 ± 0.24 | 2.54 ± 0.50 | 1212 ± 95 | 22.19 ± 2.13 | 4.63 × 10−7 |
| 5EVA40 20% BaTiO3 | 2.44 ± 0.27 | 2.45 ± 0.43 | 1577 ± 147 | 30.45 ± 4.02 | 5.60 × 10−7 |
| 5EVA40 10% ZnO | 2.42 ± 0.29 | 2.19 ± 0.45 | 1498 ± 334 | 28.74 ± 5.77 | 4.86 × 10−7 |
| 5EVA40 20% ZnO | 2.64 ± 0.05 | 2.49 ± 0.57 | 1749 ± 231 | 38.85 ± 14.84 | 4.55 × 10−7 |
| 10EVA40 | 2.20 ± 0.68 | 2.88 ± 1.13 | 1292 ± 218 | 34.73 ± 18.49 | 8.74 × 10−7 |
| 10EVA40 10% BaTiO3 | 2.56 ± 0.33 | 3.35 ± 0.40 | 1452 ± 155 | 31.45 ± 5.67 | 1.17 × 10−6 |
| 10EVA40 20% BaTiO3 | 2.30 ± 0.17 | 2.37 ± 0.27 | 1463 ± 108 | 24.65 ± 1.19 | 1.49 × 10−6 |
| 10EVA40 10% ZnO | 2.78 ± 0.56 | 3.64 ± 0.38 | 1389 ± 204 | 33.44 ± 2.06 | 8.78 × 10−7 |
| 10EVA40 20% ZnO | 2.22 ± 0.32 | 3.21 ± 0.64 | 1546 ± 363 | 38.91 ± 13.07 | 6.72 × 10−7 |
| Polymer Formulation | Melting Point (°C) | Crystallinity (%) |
|---|---|---|
| EVA18 | 83.1 ± 2.2 | 23.4 ± 4.1 (*) |
| EVA18 20% BaTiO3 | 85.1 ± 0.3 | 33.8 ± 1.9 (*) |
| EVA18 20% ZnO | 85.5 ± 0.5 | 29.7 ± 4.5 |
| EVA25 | 77.3 ± 1.4 (*) | 24.8 ± 0.4 (*) |
| EVA25 20% BaTiO3 | 78.9 ± 5.3 | 28.9 ± 5.7 |
| EVA25 20%ZnO | 85.2 ± 0.7 (*) | 31.7 ± 0.8 (*) |
| EVA40 | 46.7 ± 0.3 | 9.8 ± 0.5 |
| EVA40 20% BaTiO3 | 46.7 ± 0.8 | 10.2 ± 0.4 |
| EVA40 20% ZnO | 46.1 ± 0.9 | 8.8 ± 3.2 |
© 2019 by the authors. Licensee MDPI, Basel, Switzerland. This article is an open access article distributed under the terms and conditions of the Creative Commons Attribution (CC BY) license (http://creativecommons.org/licenses/by/4.0/).
Share and Cite
Mariotti, G.; Vannozzi, L. Fabrication, Characterization, and Properties of Poly (Ethylene-Co-Vinyl Acetate) Composite Thin Films Doped with Piezoelectric Nanofillers. Nanomaterials 2019, 9, 1182. https://doi.org/10.3390/nano9081182
Mariotti G, Vannozzi L. Fabrication, Characterization, and Properties of Poly (Ethylene-Co-Vinyl Acetate) Composite Thin Films Doped with Piezoelectric Nanofillers. Nanomaterials. 2019; 9(8):1182. https://doi.org/10.3390/nano9081182
Chicago/Turabian StyleMariotti, Giulia, and Lorenzo Vannozzi. 2019. "Fabrication, Characterization, and Properties of Poly (Ethylene-Co-Vinyl Acetate) Composite Thin Films Doped with Piezoelectric Nanofillers" Nanomaterials 9, no. 8: 1182. https://doi.org/10.3390/nano9081182
APA StyleMariotti, G., & Vannozzi, L. (2019). Fabrication, Characterization, and Properties of Poly (Ethylene-Co-Vinyl Acetate) Composite Thin Films Doped with Piezoelectric Nanofillers. Nanomaterials, 9(8), 1182. https://doi.org/10.3390/nano9081182

