Blue Electroluminescent Al2O3/Tm2O3 Nanolaminate Films Fabricated by Atomic Layer Deposition on Silicon
Abstract
1. Introduction
2. Materials and Methods
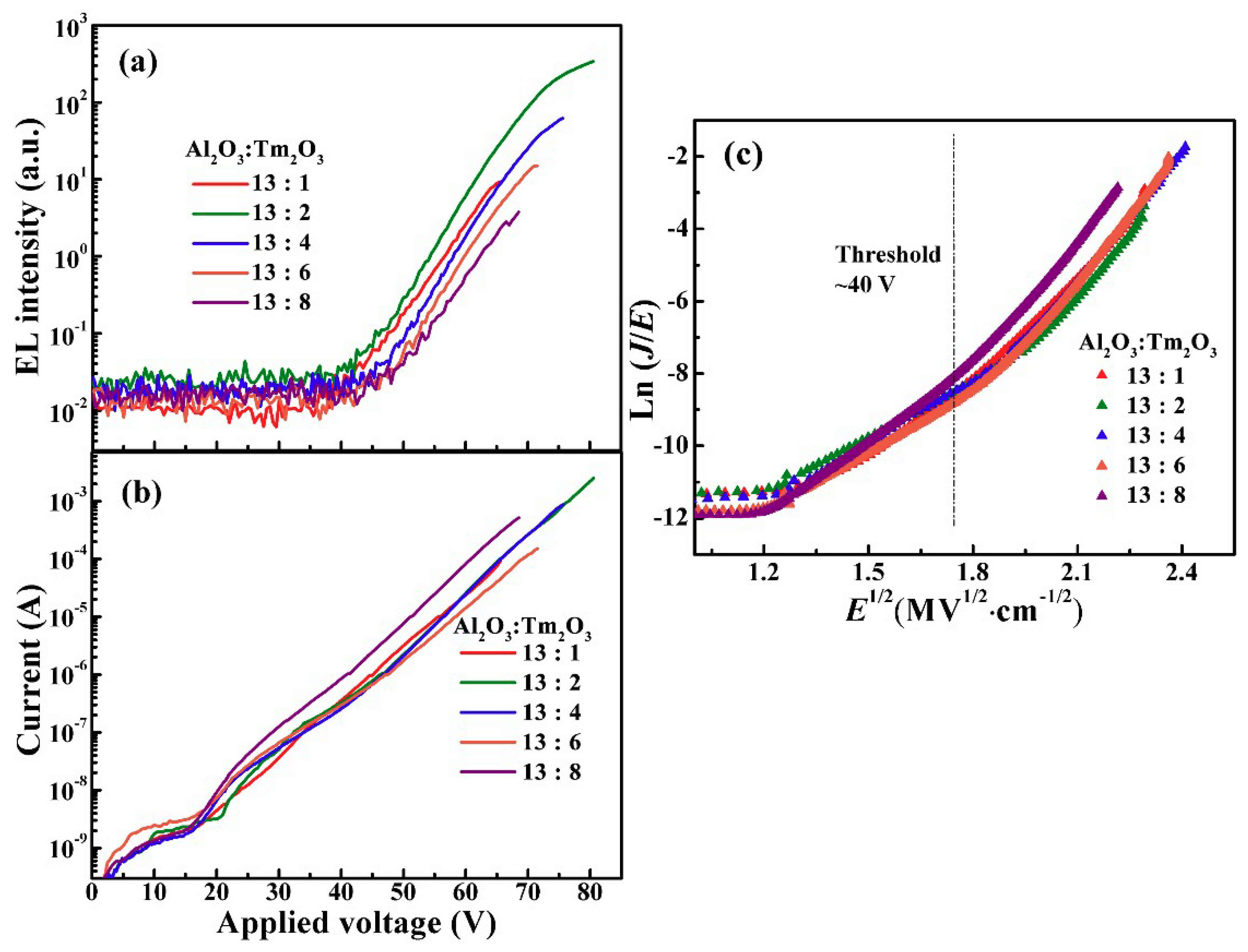
3. Results and Discussion
4. Conclusions
Author Contributions
Funding
Conflicts of Interest
References
- Gan, X.; Shiue, R.J.; Gao, Y.; Meric, I.; Heinz, T.F.; Shepard, K.; Hone, J.; Assefa, S.; Englund, D. Chip-integrated ultrafast graphene photodetector with high responsivity. Nat. Photonics 2013, 7, 883–887. [Google Scholar] [CrossRef]
- Marpaung, D.; Yao, J.; Capmany, J. Integrated microwave photonics. Nat. Photonics 2019, 13, 80–90. [Google Scholar] [CrossRef]
- Atabaki, A.; Moazeni, S.; Pavanello, F.; Gevorgyan, H.; Notaros, J.; Alloatti, L.; Wade, M.T.; Sun, C.; Kruger, S.A.; Meng, H.; et al. Integrating photonics with silicon nanoelectronics for the next generation of systems on a chip. Nature 2018, 556, 349–354. [Google Scholar] [CrossRef] [PubMed]
- Miritello, M.; Lo Savio, R.; Iacona, F.; Franzo, G.; Irrera, A.; Piro, A.M.; Bongiorno, C.; Priolo, F. Efficient luminescence and energy transfer in erbium silicate thin films. Adv. Mater. 2007, 19, 1582–1588. [Google Scholar] [CrossRef]
- Muravyev, S.V.; Anashkina, E.A.; Andrianov, A.V.; Dorofeev, V.; Motorin, S.E.; Koptev, M.Y. Dual-band Tm3+-doped tellurite fiber amplifier and laser at 1.9 μm and 2.3 μm. Sci. Rep. 2018, 8, 16164. [Google Scholar] [CrossRef] [PubMed]
- Nilsson, J.; Payne, D.N. High-Power Fiber Lasers. Science 2011, 332, 921–922. [Google Scholar] [CrossRef] [PubMed]
- Kim, J.H.; Holloway, P.H. Near-infrared-electroluminescent light-emitting planar optical sources based on gallium nitride doped with rare earths. Adv. Mater. 2005, 17, 91–96. [Google Scholar] [CrossRef]
- Irrera, A.; Franzo, G.; Iacona, F.; Canino, A.; Di Stefano, G.; Sanfilippo, D.; Piana, A.; Fallica, P.G.; Priolo, F. Light emitting devices based on silicon nanostructures. Physica E 2007, 38, 181–187. [Google Scholar] [CrossRef]
- Kenyon, A.J. Recent developments in rare-earth doped materials for optoelectronics. Prog. Quantum Electron. 2002, 26, 225–284. [Google Scholar] [CrossRef]
- Gu, L.L.; Xiong, Z.H.; Chen, G.; Xiao, Z.S.; Gong, D.W.; Hou, X.Y.; Wang, X. Luminescent erbium-doped porous silicon bilayer structures. Adv. Mater. 2001, 13, 1402–1405. [Google Scholar] [CrossRef]
- Eames, C.; Probert, M.I.J.; Tear, S.P. The structure and growth direction of rare earth silicide nanowires on Si(100). Appl. Phys. Lett. 2010, 96, 241903. [Google Scholar] [CrossRef]
- Tatebayashi, J.; Yoshii, G.; Nakajima, T.; Kamei, H.; Takatsu, J.; Lebrun, D.M.; Fujiwaraa, Y. Control of the energy transfer between Tm3+ and Yb3+ ions in Tm,Yb-codoped ZnO grown by sputtering-assisted metalorganic chemical vapor deposition. J. Appl. Phys. 2018, 123, 161409. [Google Scholar] [CrossRef]
- Yang, Y.; Li, Y.P.; Wang, C.X.; Zhu, C.; Lv, C.Y.; Ma, X.Y.; Yang, D.R. Rare earth doped ZnO films: A material platform to realize multicolor and near infrared electroluminescence. Adv. Opt. Mater. 2014, 2, 240–244. [Google Scholar] [CrossRef]
- Zhu, C.; Lv, C.Y.; Jiang, M.M.; Zhou, J.W.; Li, D.S.; Ma, X.Y.; Yang, D.R. Green electroluminescence from Tb4O7 films on silicon: Impact excitation of Tb3+ ions by hot carriers. Appl. Phys. Lett. 2016, 108, 051113. [Google Scholar] [CrossRef]
- Jambois, O.; Berencen, Y.; Hijazi, K.; Wojdak, M.; Kenyon, A.J.; Gourbilleau, F.; Rizk, R.; Garrido1, B. Current transport and electroluminescence mechanisms in thin SiO2 films containing Si nanocluster-sensitized erbium ions. J. Appl. Phys. 2009, 106, 063526. [Google Scholar] [CrossRef]
- Rebohle, L.; Braun, M.; Wutzler, R.; Liu, B.; Sun, J.M.; Helm, M.; Skorupa, W. Strong electroluminescence from SiO2-Tb2O3-Al2O3 mixed layers fabricated by atomic layer deposition. Appl. Phys. Lett. 2014, 104, 251113. [Google Scholar] [CrossRef]
- Sun, J.M.; Prucnal, S.; Skorupa, W.; Dekorsy, T.; Müchlich, A.; Helm, M.; Rebohle, L.; Gebel, T. Electroluminescence properties of the Gd3+ ultraviolet luminescent centers in SiO2 gate oxide layers. J. Appl. Phys. 2006, 99, 103102. [Google Scholar] [CrossRef]
- Ouyang, Z.; Yang, Y.; Sun, J. Near-infrared electroluminescence from atomic layer doped Al2O3:Yb nanolaminate films on silicon. Scr. Mater. 2018, 151, 1–5. [Google Scholar] [CrossRef]
- Yang, Y.; Li, N.; Sun, J.M. Intense electroluminescence from Al2O3/Tb2O3 nanolaminate films fabricated by atomic layer deposition on silicon. Opt. Express 2018, 26, 9344–9352. [Google Scholar] [CrossRef] [PubMed]
- Chen, Z.; Kang, S.; Zhang, H.; Wang, T.; Lv, S.; Chen, Q.; Dong, G.; Qiu, J. Controllable optical modulation of blue/green up-conversion fluorescence from Tm3+ (Er3+) single-doped glass ceramics upon two-step excitation of two-wavelengths. Sci. Rep. 2017, 7, 45650. [Google Scholar] [CrossRef] [PubMed]
- Lee, Y.W.; Chien, H.W.; Cho, C.H.; Chen, J.Z.; Chang, J.S.; Jiang, S. Heavily Tm3+-Doped Silicate Fiber for High-Gain Fiber Amplifiers. Fibers 2013, 1, 82–92. [Google Scholar] [CrossRef]
- Lee, D.S.; Steckl, A.J. Selective enhancement of blue electroluminescence from GaN:Tm. Appl. Phys. Lett. 2003, 82, 55–57. [Google Scholar] [CrossRef]
- Guereñu, A.L.; Bastian, P.; Wessig, P.; John, L.; Kumke, M.U. Energy Transfer between Tm-doped upconverting nanoparticles and a small organic dye with large stokes shift. Biosensors 2019, 9, 9. [Google Scholar] [CrossRef] [PubMed]
- Yamada, Y.; Kanemitsu, Y. Blue light emission from strongly photoexcited and electron-doped SrTiO3. J. Appl. Phys. 2011, 109, 102410. [Google Scholar] [CrossRef]
- Chawla, V.; Ruoho, M.; Weber, M.; Chaaya, A.A.; Taylor, A.A.; Charmette, C.; Miele, P.; Bechelany, M.; Michler, J.; Utke, I. Fracture mechanics and oxygen gas barrier properties of Al2O3/ZnO nanolaminates on PET deposited by atomic layer deposition. Nanomaterials 2019, 9, 88. [Google Scholar] [CrossRef] [PubMed]
- Bouriaux, L.F.; Rosamond, M.C.; Williams, D.A.; Davies, A.G.; Wälti, C. Field-enhanced direct tunneling in ultrathin atomic-layer-deposition-grown Au-Al2O3-Cr metal-insulator-metal structures. Phys. Rev. B 2017, 96, 115435. [Google Scholar] [CrossRef]
- Zhang, F.; Sun, G.; Zheng, L.; Liu, S.; Liu, B.; Dong, L.; Wang, L.; Zhao, W.; Liu, X.; Yan, G.; et al. Interfacial study and energy-band alignment of annealed Al2O3 films prepared by atomic layer deposition on 4H-SiC. J. Appl. Phys. 2013, 113, 044112. [Google Scholar] [CrossRef]
- Elam, J.W.; Routkevitch, D.; Mardilovich, P.P.; George, S.M. Conformal coating on ultrahigh-aspect-ratio nanopores of anodic alumina by atomic layer deposition. Chem. Mater. 2003, 15, 3507–3517. [Google Scholar] [CrossRef]
- Bosund, M.; Mizohata, K.; Hakkarainen, T.; Putkonen, M.; Söderlund, M.; Honkanen, S.; Lipsanen, H. Atomic layer deposition of ytterbium oxide using β-diketonate and ozone precursors. Appl. Surf. Sci. 2009, 256, 847–851. [Google Scholar] [CrossRef]
- Desirena, H.; De la Rosa, E.; Diaz-Torres, L.A.; Kumar, G.A. Concentration effect of Er3+ ion on the spectroscopic properties of Er3+ and Yb3+/Er3+ co-doped phosphate glasses. Opt. Mater. 2006, 28, 560–568. [Google Scholar] [CrossRef]
- Goldner, P.; Pellé, F. Size dependence of the luminescence spectra and dynamics of Eu3+: Y2O3 nanocrystals. J. Lumin. 1999, 83, 297–300. [Google Scholar]
- Sun, J.M.; Prucnal, S.; Skorupa, W.; Helm, M.; Rebohle, L.; Gebel, T. Increase of blue electroluminescence from Ce-doped SiO2 layers through sensitization by Gd3+ ions. Appl. Phys. Lett. 2006, 89, 091908. [Google Scholar] [CrossRef]
- Ouyang, Z.; Yang, Y.; Sun, J.M. Electroluminescent Yb2O3:Er and Yb2Si2O7:Er nanolaminate films fabricated by atomic layer deposition on silicon. Opt. Mater. 2018, 80, 209–215. [Google Scholar] [CrossRef]






| Sample Label | Tm3+ (at%) | Al2O3:Tm2O3 Cycle Number |
|---|---|---|
| AOT-1 | 0.69 | 13:1 |
| AOT-2 | 1.37 | 13:2 |
| AOT-4 | 2.64 | 13:4 |
| AOT-6 | 3.83 | 13:6 |
| AOT-8 | 4.95 | 13:8 |
| AOT-d05 | 2.46 | 7:2 |
| AOT-d1 | 1.37 | 13:2 |
| AOT-d2 | 0.69 | 26:2 |
| AOT-d3 | 0.45 | 40:2 |
| AOT-d4 | 0.35 | 52:2 |
| AOT-d6 | 0.23 | 78:2 |
© 2019 by the authors. Licensee MDPI, Basel, Switzerland. This article is an open access article distributed under the terms and conditions of the Creative Commons Attribution (CC BY) license (http://creativecommons.org/licenses/by/4.0/).
Share and Cite
Liu, Y.; Ouyang, Z.; Yang, L.; Yang, Y.; Sun, J. Blue Electroluminescent Al2O3/Tm2O3 Nanolaminate Films Fabricated by Atomic Layer Deposition on Silicon. Nanomaterials 2019, 9, 413. https://doi.org/10.3390/nano9030413
Liu Y, Ouyang Z, Yang L, Yang Y, Sun J. Blue Electroluminescent Al2O3/Tm2O3 Nanolaminate Films Fabricated by Atomic Layer Deposition on Silicon. Nanomaterials. 2019; 9(3):413. https://doi.org/10.3390/nano9030413
Chicago/Turabian StyleLiu, Yao, Zhongtao Ouyang, Li Yang, Yang Yang, and Jiaming Sun. 2019. "Blue Electroluminescent Al2O3/Tm2O3 Nanolaminate Films Fabricated by Atomic Layer Deposition on Silicon" Nanomaterials 9, no. 3: 413. https://doi.org/10.3390/nano9030413
APA StyleLiu, Y., Ouyang, Z., Yang, L., Yang, Y., & Sun, J. (2019). Blue Electroluminescent Al2O3/Tm2O3 Nanolaminate Films Fabricated by Atomic Layer Deposition on Silicon. Nanomaterials, 9(3), 413. https://doi.org/10.3390/nano9030413

