Impact of the Regularization Parameter in the Mean Free Path Reconstruction Method: Nanoscale Heat Transport and Beyond
Abstract
1. Introduction
2. Materials and Methods
3. Results and Discussions
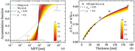
3.1. Phonons in Out-of-Plane Thermal Transport in Graphite from Molecular Dynamic Simulations
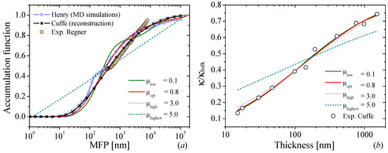
3.2. In-Plane Thermal Transport in 400 nm Thick Si Membrane
3.3. In-Plane Thermal Transport in Si: Reconstruction by Changing the Thickness of the Membrane
4. Conclusions
Supplementary Materials
Author Contributions
Funding
Acknowledgments
Conflicts of Interest
References
- Ashcroft, N.W.; Mermin, N.D. Solid State Physics; Garbose Crane, D., Ed.; Saunders College: Rochester, NY, USA, 1976; ISBN 0-03-083993-9. [Google Scholar]
- Esfarjani, K.; Chen, G.; Stokes, H.T. Heat transport in silicon from first-principles calculations. Phys. Rev. B 2011, 84, 085204. [Google Scholar] [CrossRef]
- Yang, F.; Dames, C. Mean free path spectra as a tool to understand thermal conductivity in bulk and nanostructures. Phys. Rev. B 2013, 87, 35437. [Google Scholar] [CrossRef]
- Minnich, A.J. Determining phonon mean free paths from observations of quasiballistic thermal transport. Phys. Rev. Lett. 2012, 109, 205901. [Google Scholar] [CrossRef] [PubMed]
- Hansen, P.C.; O’Leary, D.P. The use of the L-curve in the regularization of discrete ill-posed problems. SIAM J. Sci. Comput. 1993, 14, 1487–1503. [Google Scholar] [CrossRef]
- Hansen, P.C. The L-curve and its use in the numerical treatment of inverse problems. In Computational Inverse Problems in Electrocardiology; Johnston, P., Ed.; WIT press: Ashurst, UK, 2000; pp. 119–142. [Google Scholar]
- Chiloyan, V.; Zeng, L.; Huberman, S.; Maznev, A.A.; Nelson, K.A.; Chen, G. Variational approach to extracting the phonon mean free path distribution from the spectral Boltzmann transport equation. Phys. Rev. B 2016, 93, 155201. [Google Scholar] [CrossRef]
- Hua, C.; Minnich, A.J. Transport regimes in quasiballistic heat conduction. Phys. Rev. B 2014, 89, 94302. [Google Scholar] [CrossRef]
- Zeng, L.; Collins, K.C.; Hu, Y.; Luckyanova, M.N.; Maznev, A.A.; Huberman, S.; Chiloyan, V.; Zhou, J.; Huang, X.; Nelson, K.A.; et al. Measuring Phonon Mean Free Path Distributions by Probing Quasiballistic Phonon Transport in Grating Nanostructures. Sci. Rep. 2015, 5, 17131. [Google Scholar] [CrossRef] [PubMed]
- Cuffe, J.; Eliason, J.K.; Maznev, A.A.; Collins, K.C.; Johnson, J.A.; Shchepetov, A.; Prunnila, M.; Ahopelto, J.; Sotomayor Torres, C.M.; Chen, G.; et al. Reconstructing phonon mean-free-path contributions to thermal conductivity using nanoscale membranes. Phys. Rev. B 2015, 91, 245423. [Google Scholar] [CrossRef]
- Chavez-Angel, E.; Zarate, R.A.; Fuentes, S.; Guo, E.J.; Kläui, M.; Jakob, G. Reconstruction of an effective magnon mean free path distribution from spin Seebeck measurements in thin films. New J. Phys. 2017, 19, 13011. [Google Scholar] [CrossRef]
- Grant, M.; Boyd, S. Graph implementations for nonsmooth convex programs. In Recent Advances in Learning and Control; Blondel, V., Boyd, S., Kimura, H., Eds.; Lecture Notes in Control and Information Sciences; Springer-Verlag Limited: New York, NY, USA, 2008; pp. 95–110. [Google Scholar]
- Grant, M.; Boyd, S. CVX: Matlab Software for Disciplined Convex Programming, Version 2.1. Available online: http://cvxr.com/cvx (accessed on 29 July 2017).
- Wei, Z.; Yang, J.; Chen, W.; Bi, K.; Li, D.; Chen, Y. Phonon mean free path of graphite along the c-axis. Appl. Phys. Lett. 2014, 104, 81903. [Google Scholar] [CrossRef]
- Hua, C.; Minnich, A.J. Semi-analytical solution to the frequency-dependent Boltzmann transport equation for cross-plane heat conduction in thin films. J. Appl. Phys. 2015, 117, 175306. [Google Scholar] [CrossRef]
- Zhang, H.; Chen, X.; Jho, Y.-D.; Minnich, A.J. Temperature-Dependent Mean Free Path Spectra of Thermal Phonons Along the c-Axis of Graphite. Nano Lett. 2016, 16, 1643–1649. [Google Scholar] [CrossRef] [PubMed]
- Johnson, J.A.; Maznev, A.A.; Cuffe, J.; Eliason, J.K.; Minnich, A.J.; Kehoe, T.; Sotomayor Torres, C.M.; Chen, G.; Nelson, K.A. Direct Measurement of Room-Temperature Nondiffusive Thermal Transport Over Micron Distances in a Silicon Membrane. Phys. Rev. Lett. 2013, 110, 25901. [Google Scholar] [CrossRef] [PubMed]
- Henry, A.S.; Chen, G. Spectral Phonon Transport Properties of Silicon Based on Molecular Dynamics Simulations and Lattice Dynamics. J. Comput. Theor. Nanosci. 2008, 5, 141–152. [Google Scholar] [CrossRef]
- Regner, K.T.; Sellan, D.P.; Su, Z.; Amon, C.H.; McGaughey, A.J.H.; Malen, J.A. Broadband phonon mean free path contributions to thermal conductivity measured using frequency domain thermoreflectance. Nat. Commun. 2013, 4, 1640. [Google Scholar] [CrossRef] [PubMed]






© 2019 by the authors. Licensee MDPI, Basel, Switzerland. This article is an open access article distributed under the terms and conditions of the Creative Commons Attribution (CC BY) license (http://creativecommons.org/licenses/by/4.0/).
Share and Cite
Sanchez-Martinez, M.-Á.; Alzina, F.; Oyarzo, J.; Sotomayor Torres, C.M.; Chavez-Angel, E. Impact of the Regularization Parameter in the Mean Free Path Reconstruction Method: Nanoscale Heat Transport and Beyond. Nanomaterials 2019, 9, 414. https://doi.org/10.3390/nano9030414
Sanchez-Martinez M-Á, Alzina F, Oyarzo J, Sotomayor Torres CM, Chavez-Angel E. Impact of the Regularization Parameter in the Mean Free Path Reconstruction Method: Nanoscale Heat Transport and Beyond. Nanomaterials. 2019; 9(3):414. https://doi.org/10.3390/nano9030414
Chicago/Turabian StyleSanchez-Martinez, Miguel-Ángel, Francesc Alzina, Juan Oyarzo, Clivia M. Sotomayor Torres, and Emigdio Chavez-Angel. 2019. "Impact of the Regularization Parameter in the Mean Free Path Reconstruction Method: Nanoscale Heat Transport and Beyond" Nanomaterials 9, no. 3: 414. https://doi.org/10.3390/nano9030414
APA StyleSanchez-Martinez, M.-Á., Alzina, F., Oyarzo, J., Sotomayor Torres, C. M., & Chavez-Angel, E. (2019). Impact of the Regularization Parameter in the Mean Free Path Reconstruction Method: Nanoscale Heat Transport and Beyond. Nanomaterials, 9(3), 414. https://doi.org/10.3390/nano9030414

