Next Article in Journal
Investigation on the Crystallization Behaviors of Polyoxymethylene with a Small Amount of Ionic Liquid
Next Article in Special Issue
Powder and Nanotubes Titania Modified by Dye Sensitization as Photocatalysts for the Organic Pollutants Elimination
Previous Article in Journal
Improved Efficiency of Perovskite Solar Cells by the Interfacial Modification of the Active Layer
Previous Article in Special Issue
Sol-gel Syntheses of Photocatalysts for the Removal of Pharmaceutical Products in Water
 
 
Font Type:
Arial Georgia Verdana
Font Size:
Aa Aa Aa
Line Spacing:
Column Width:
Background:
Article

Microstructures and Photodegradation Performance toward Methylene Orange of Sputtering-Assisted Decoration of ZnFe2O4 Crystallites onto TiO2 Nanorods

Institute of Materials Engineering, National Taiwan Ocean University, Keelung 20224, Taiwan
*
Author to whom correspondence should be addressed.
Nanomaterials 2019, 9(2), 205; https://doi.org/10.3390/nano9020205
Submission received: 9 January 2019 / Revised: 30 January 2019 / Accepted: 1 February 2019 / Published: 5 February 2019
(This article belongs to the Special Issue Nano‐Photocatalytic Materials: Possibilities and Challenges)

Abstract

In this study, TiO2–ZnFe2O4 (ZFO) core-shell nanorods with various ZFO crystallite thicknesses were synthesized through sputtering-deposited ZFO thin films onto the surfaces of TiO2 nanorods. By coupling the ZFO narrow bandgap oxide with TiO2, an enhanced photodegradation efficiency of methylene orange under irradiation was achieved. Structural analyses revealed that ZFO crystallites fully covered the surfaces of the TiO2 nanorods. The sputtering-deposited ZFO crystallites on the head region of the composite nanorods were markedly thicker than those covering the lateral region of the composite nanorods. The coverage of ZFO crystallites on the TiO2 nanorods led to an improved light harvesting, a decrease in the hole–electron recombination rate, as well as the enhanced photodegradation activity of the TiO2–ZFO heterostructures under irradiation. The optimized ZFO thickness on the head region of the composite nanorods was approximately 43 nm on average and that at the lateral region of the composite nanorods was 15 nm, which exhibited superior photodegradation ability to methylene orange and retained a stable photodegradation efficiency of approximately 97% after cycling tests. The results herein demonstrate that sputtering deposition of ZFO crystallite with tunable thickness is a promising approach to designing TiO2–ZFO composite nanorods with various ZFO coverage sizes and to adjust their photodegradation ability toward organic dyes.

1. Introduction

Core-shell nanocomposites exhibit tunable surface, optical, and electronic properties, thus providing a new approach to design the nanomaterials for photodegrading pollutants and various sensing devices [1,2]. TiO2 with various morphologies have been developed to use as photocatalyst [3,4]. However, TiO2 has an ultraviolet band gap energy. Many efforts have been made in increasing the light harvesting ability of TiO2. Noticeable progress has been shown in developing TiO2-based core-shell photocatalysts that can work under visible light, and therefore, provide improved photodegradation ability toward organic pollutants [5,6].
Among various visible light sensitizers, ZnFe2O4 (ZFO) is a semiconductor with a band gap of 1.9–2.7 eV. It is sensitive to visible light and has good chemical stability under irradiation [7]. Moreover, the fabrication of type II heterostructures using TiO2 as a matrix could be realized by incorporating ZFO to form a composite structure. This provides a feasible approach to enhance photogenerated charge separation and take one-dimensional (1D) core−shell nanocomposites at the same time. Therefore, constructing TiO2–ZFO core-shell heterostructures are promising for applications of degradation toward organic pollutants under illumination. Several TiO2–ZFO composites with various morphologies for improving photodegradation ability toward organic pollutants have been reported. For examples, TiO2–ZFO composite nanoparticles have been shown to be more effective in photodegradation of organic pollutants than the pure TiO2 and ZFO nanoparticles [8]. Sponge-like TiO2–ZFO composites derived from a solution combustion method have exhibited superior photodegradation ability toward methylene blue than their single counterparts [9]. The reports on 1D TiO2–ZFO core-shell heterostructures are still limited in number. Moreover, most of the literature is focused on chemical solution synthesis of ZFO for integrating in TiO2 to form a heterogeneous photocatalyst. The reports on the combinational synthesis method incorporating a physical method, i.e., sputtering, are limited in number. Sputtering is advantageous to provide precise microstructure and composition controls of the oxide thin films and this technique is compatible for the industrial semiconductor process [10,11]. The sputtering is feasible to form ZFO shell layers with different sizes on TiO2 nanorods with tunable photodegradation efficiency toward organic pollutants. Therefore, constructing 1D TiO2–ZFO core-shell nanorods via sputtering-assisted ZFO crystallite growth provides an ideal approach to manipulate the photodegradation ability of the composite nanorods. In this study, the sputtering deposited ZFO with different sizes are decorated on the surfaces of TiO2 nanorods for synthesizing various TiO2–ZFO core-shell nanorods. The effects of the ZFO crystallite sizes on microstructure, optical, electrical, and photodegradation ability of the TiO2–ZFO core-shell nanorods are investigated herein. An optimal sputtering deposited ZFO shell layer condition for synthesizing the TiO2–ZFO nanorods with visible photodegradation efficiency toward methylene orange is reposted.

2. Materials and Methods

TiO2 nanorods were coated with ZFO thin films with various layer thicknesses. The TiO2 nanorods were grown on F-doped SnO2 glass substrates using a hydrothermal method. The detailed parameters of hydrothermally derived TiO2 nanorods are reported elsewhere [1]. Furthermore, TiO2–ZFO composite nanorods were fabricated by sputtering ZFO thin films onto the surfaces of the TiO2 nanorod templates. Radio-frequency magnetron sputtering was used to prepare ZFO thin films. The ZFO thin films were grown in mixed Ar/O2 ambient with a ratio of 2:1 at 470 °C. The working pressure in the sputtering chamber was maintained at 1.33 Pa. Moreover, the sputtering power of ZFO target was maintained at 100 W. The TiO2–ZFO composite nanorods with three different ZFO layer sizes were fabricated by controlling the deposition duration at 45, 60, and 75 min, which corresponded to the samples: TiO2–ZFO-1, TiO2–ZFO-2, and TiO2–ZFO-3, respectively, in this study.
Crystallographic features of the composite nanorods were investigated by X-ray diffraction (XRD; D2 PHASER, Bruker, Karlsruhe, Germany). The surface features of the various nanorods were evaluated by scanning electron microscopy (SEM; S-4800, Hitachi, Tokyo, Japan). High-resolution transmission electron microscopy (HRTEM; JEM-2100F, JEOL Tokyo, Japan) was used to investigate the detailed microstructures of the TiO2–ZFO composite nanorods. The attached energy dispersive X-ray spectroscopy (EDS) was used to investigate the composition of the nanorods. A UV-Vis spectrophotometer was used to investigate the transmittance and reflectance spectra of the samples (V750, Jasco, Tokyo, Japan). The elemental binding status of the samples was analyzed by X-ray photoelectron spectroscopy (XPS; ULVAC-PHI XPS, ULVAC, Chigasaki, Japan).
Light irradiation excited from a 100 W Xe arc lamp was used for illumination during the photoactivate measurements. The silver contact electrodes were used for photo-response measurements and the electric measurements were conducted under 5 V. The methylene orange (MO) aqueous solution with a concentration of 5 × 10−5 M was used for photodegradation tests. Photodegradation tests of MO solution in the presence of various composite nanorods are performed by comparing the intensity change of the absorbance spectra of the MO solution under illumination with varying durations. The samples for photodegradation tests have a fixed area of 18 mm × 10 mm.

3. Results

Figure 1a–d show SEM images of the TiO2 nanorods before and after coating ZFO shell layers with various thicknesses. Figure 1a reveals the presence of many cross-sectional square-shaped TiO2 nanorods with an average diameter of 75 nm. Moreover, the TiO2 nanorods had an average length of approximately 1.1 um from the cross-sectional image (not shown herein). The smooth surface of the TiO2 nanorods can be observed. Notably, Figure 1b–d show the morphologies of the TiO2 nanorods after coating ZFO shell layers with various deposition durations is similar to that as shown in Figure 1a. This reveals that the coverage layer thickness of ZFO on the surfaces of the TiO2 nanorods are thin and resulted in the fact that the TiO2–ZFO composite nanorods still maintained their free-standing feature over the substrates. After the sputtering deposition of ZFO onto the surfaces of TiO2 nanorods, the surface feature of TiO2 nanorods changed from the smooth surface to the surface composed of many bulges on it. The ZFO was homogeneously loaded onto the surface of TiO2 nanorods forming a composite structure. The diameter variation among the various TiO2–ZFO composite nanorods with various ZFO sputtering durations was not clearly distinguished from the SEM images herein; this might be associated with the nano-scaled ZFO shell layers on the TiO2 surface. To further confirm the ZFO shell layer thickness variation among the various TiO2–ZFO samples, TEM investigations were further conducted in this study.
Figure 2a presents a representative low-magnification TEM micrograph of the TiO2–ZFO-1 composite nanorod. The selected area electron diffraction (SAED) pattern taken from several composite nanorods was shown in Figure 2b and it exhibited clear diffraction spots arranged in circles. The centric SAED pattern indicates the co-existence of the ZFO and TiO2 phases. Moreover, the TiO2–ZFO-1 composite nanorods were in polycrystalline feature. The high-resolution TEM (HRTEM) micrographs from the head and lateral regions of the composite nanorod in Figure 2a are displayed in Figure 2c,d, respectively. The lattice spacing of 0.168 nm for the inner region and 0.254 nm for the outer region of the composite nanorod in the HRTEM images corresponded to the crystallographic plane of (211) for the rutile TiO2 and the (311) plane of the cubic ZFO, respectively. Notably, the head region of the composite nanorod consisted of several distinct, large ZFO crystallites and the lateral region of the composite nanorod composed of ZFO in a thin-layered structure. The elemental mapping images of Ti, O, Zn, and Fe from the head and body regions of the TiO2–ZFO-1nanorod are demonstrated in Figure 2e,f, respectively. The Ti element was located inside the composite nanorod, while the Zn and Fe elements enclose the rod body, which is definitive proof for the successful synthesis of the core-shell TiO2–ZFO nanorod. Notably, the thickness of the ZFO at the coverage region of the composite nanorod’s head is markedly thicker than that at the lateral region of the composite nanorod. The elemental dispersive region size of Zn and Fe at the head region of the composite nanorod is approximately 43 nm on average, and at the lateral region of the composite rod it is only 15 nm. This is due to the fact that the head region of free-standing TiO2 nanorods will encounter more sputtering deposited ZFO adatoms than those of the lateral region of the nanorods because of the one-dimensional geometry effect of the TiO2 nanorods. The elemental mapping analysis demonstrated that the ZFO was continuously decorated on the TiO2 nanorod.
Figure 3a presents the low-magnification TEM image of the single TiO2–ZFO-2 nanorod. Figure 3b demonstrates the SAED pattern taken from several TiO2–ZFO-2 composite nanorods. The clear diffraction spots in centric rings reveals crystalline feature of the TiO2–ZFO composite nanorods. The HR images in Figure 3c,d demonstrates the local lattice fringes of the ZFO and TiO2 structures taken from the head and lateral regions of the composite nanorod. Similar to the analysis in Figure 2e,f, the coverage thickness of ZFO crystallite is different in the head and body regions of the composite nanorod. The elemental dispersive region size of Zn and Fe at the head region of the TiO2–ZFO-2 composite nanorod was approximately 63 nm and at the lateral region of the composite nanorod it was 30 nm (Figure 3e,f).
The low-magnification TEM image of the TiO2–ZFO-3 nanorod is shown in Figure 4a. The morphology of the head region of the composite nanorod became rounder in comparison with the other composite nanorods prepared at a shorter ZFO sputtering duration. Furthermore, the SAED pattern with distinct spots arranged in centric rings in Figure 4b exhibits the crystalline feature of the TiO2–ZFO-3 composite nanorods prepared with the ZFO sputtering duration of 60 min. Notably, the clear local HR images taken from Figure 4a are not available herein because a thicker ZFO covered the TiO2 nanorod. The elemental dispersive region size of the Zn and Fe at the head region of the composite nanorod was evaluated to be approximately 97 nm on average and that at the lateral region of the composite, the nanorod was 45 nm from the elemental mapping images in Figure 4c,d. Notably, the increment of the ZFO thickness in the head region was substantially larger than that in the lateral region of the composite nanorod for the prolonged sputtering deposition of ZFO onto the free-standing TiO2 nanorods in this study. Nerveless, the ZFO shell layer was fully covered onto the TiO2 to form a core-shell composite structure with various ZFO sputtering durations herein.
The XRD patterns of the TiO2–ZFO-2 and TiO2–ZFO-3 nanorods are shown in Figure 5a,b to demonstrate the crystal structure of the TiO2–ZFO composite nanorods. Notably, the XRD pattern of the TiO2–ZFO-1 nanorods is not shown herein because ultra-thin ZFO crystallite thickness coated onto the TiO2 nanorods did not give sufficiently intense Bragg reflections from the ZFO. Figure 5a,b exhibit distinct and sharp Bragg reflections originating from the TiO2 nanorods (JCPD 01-073-1232). Moreover, small but differentiable Bragg reflections from the ZFO phase were observed in the XRD pattern (JCPD 01-079-1150), revealing the well composited structure in the nanorods. The XRD results are in agreement with the structural observations from the TEM analyses.
The transmittance spectrum of the ZFO thin film is displayed in Figure 6a. The film had a strong absorbance edge in the wavelength of 500~650 nm. Figure 6b shows the estimation of the optical bandgap value of the ZFO thin film by Tauc plot. The optical bandgap value of the ZFO film was 2.25 eV. Furthermore, the UV-Vis diffuse reflectance spectra of the TiO2 and various TiO2–ZFO composite nanorods are shown in Figure 6c. The absorption edge of TiO2 nanorods were located at approximately 410 nm. TiO2 nanorods exhibited a strong absorption in the UV range; the estimated bandgap value of the TiO2 nanorods was approximately 3.02 eV in this work. After the decoration of the ZFO onto the surfaces of the TiO2 nanorods, the absorption edge of the nanorods was substantially red-shifted to the visible light regions, revealing the improved light harvesting ability of the TiO2 nanorods via a composite structure. All the TiO2–ZFO nanorods with various thicknesses of ZFO shell layer presented an intensive absorption from the UV to the visible light region. Comparatively, the optical absorption edge of the TiO2–ZFO-2 and TiO2–ZFO-3 nanorods exhibited a larger degree of light harvesting than did the TiO2–ZFO-1 nanorods. This might be associated with the ZFO crystallite layer thickness effect. The optical absorption edge analysis revealed that the TiO2–ZFO composite nanorods could absorb more photons than that of the TiO2 nanorods under solar light irradiation and these composite nanorods are beneficial for photodegrading organic dyes applications.
Figure 7a presents the Fe 2p XPS spectrum of the as-deposited ZFO ultra-thin film; the spectrum can be deconvoluted into six subpeaks. The subpeaks situated at 709.7 and 723.1 eV are ascribed to originate from the oxidation state of Fe2+. The subpeaks located at 711.7 and 726.1 eV are attributed to Fe3+. The subpeaks situated at 714.8 and 719.1 eV are contributions from the Fe2+ and Fe3+ satellite signals, respectively [12]. The intense peaks of the binding contribution of 711.7 and 726.1 eV demonstrated that Fe in the ZFO crystallites is mainly in a trivalent state. However, the iron binding energy analysis of the ZFO revealed the existence of a small quantity of Fe+2 in the crystal surface. The Zn 2p XPS spectrum is shown in Figure 7b. The peaks located respectively at 1044.1 and 1021.1 eV are from Zn 2p1/2 and Zn 2p3/2; these binding energies of the Zn 2p imply the existence of Zn2+ in the ZFO film [13]. The O 1s XPS spectrum of the ZFO film is shown in Figure 7c. The fitted subpeaks situated at 530.8 eV are associated with the existence of oxygen vacancies in the oxide film. The peak situated at 529.5 eV corresponded to lattice oxygen bonds in the ZFO film. The XPS result demonstrated that the Zn/Fe atomic ratio is 0.49 which is similar to the stoichiometric Zn/Fe composition ratio of the ZFO. However, the oxygen content slightly deviated from the stoichiometry and is approximately 3.5. The existence of oxygen vacancies in the ZFO crystal might account for the observed mixed iron valence states from the Fe 2p signal. Figure 7d displays the Ti 2p XPS spectrum of the TiO2 nanorods. The peak was deconvoluted into four subpeaks, which are located at the binding energy regions of approximately 458.1 eV, corresponding to Ti4+2p3/2, at 463.3 eV, corresponding to Ti4+2p1/2, at 457.1 eV, corresponding to Ti3+ 2p3/2, and at 462.8 eV, corresponding to Ti3+2p1/2. The existence of the Ti4+ and Ti3+ in the nanorods revealed the presence of oxygen vacancies in the TiO2 nanorods. The O1s spectrum of the TiO2 nanorods is shown in Figure 7e. The deconvoluted subpeak with a relatively high intensity located at approximately 531.2 eV is ascribed to lattice oxygen of TiO2; that with a relatively lower intensity located at approximately 532.3 originated from the oxygen-deficient defects in the TiO2. The asymmetric O1s XPS spectrum in Figure 7e, indicates that oxygen vacancies are present on the TiO2 surface and this supports the observation of the mixed titanium valence states in the TiO2 [14].
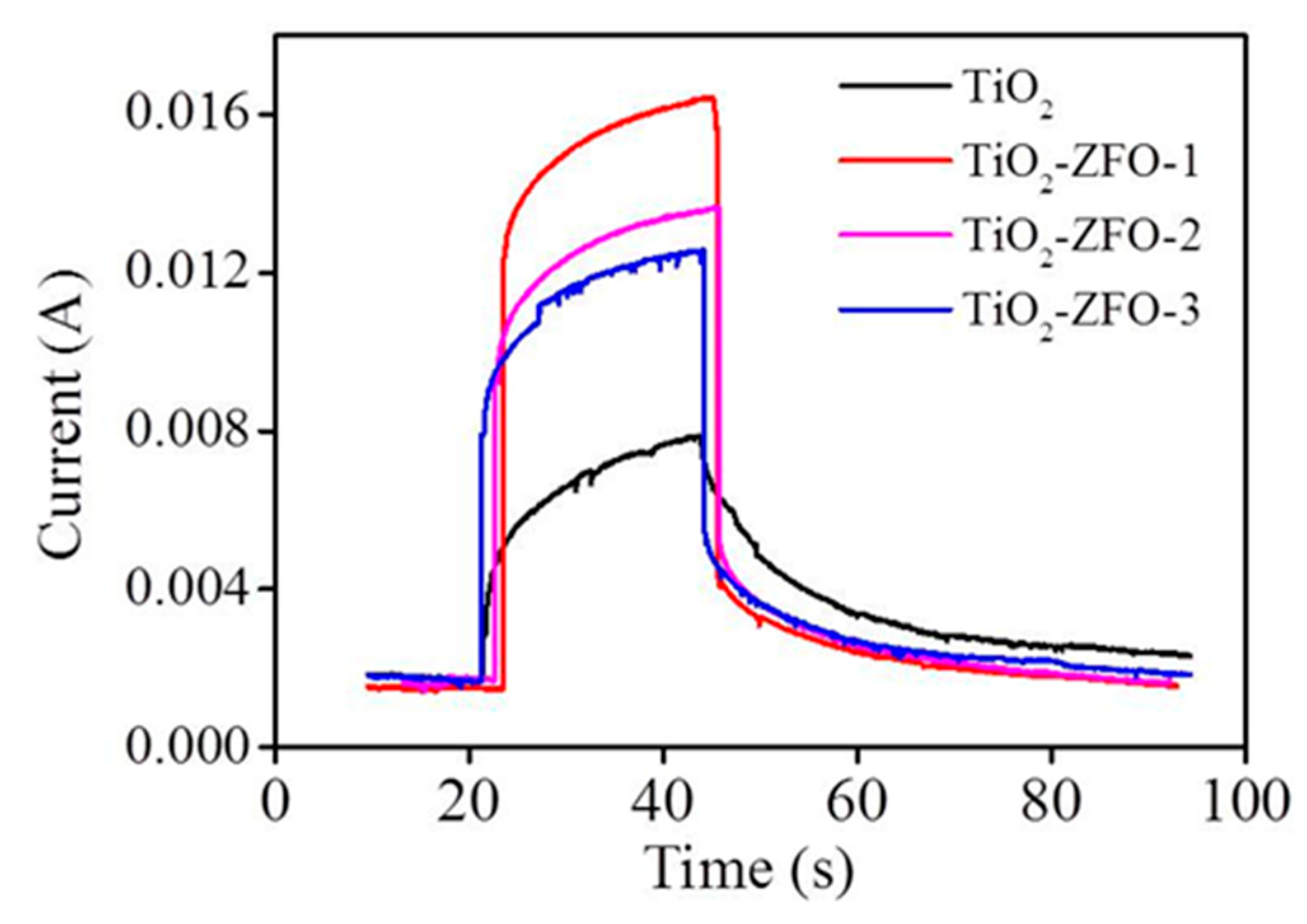
Figure 8 shows the current vs. time curves of the TiO2 and various TiO2–ZFO nanorods with and without irradiation. Comparatively, the measured current value is low for all the nanorods at 5V under dark conditions. The dark current of the various nanorods is in the range of 9 × 10−4~1.41 × 10−3A. The photocurrent of the nanorods is generated upon light illumination. The photocurrent of the TiO2 nanorods is approximately 7.9 × 10−3A under irradiation. Moreover, a larger increment of the current value was observed for the composite nanorods under irradiation. The photocurrent values reached 1.32 × 10−2A and 1.2 × 10−2 for the TiO2–ZFO-2 and TiO2–ZFO-3 nanorods, respectively. Moreover, the highest photocurrent value of approximately 1.72 × 10−2A was observed for the TiO2–ZFO-1 nanorods. A substantial increase of the photocurrent of the TiO2 coated with the ZFO shell layer was visible. Photo-responses (the ratio of photocurrent to dark current) were 16.8, 13.4, and 12.1, for the TiO2–ZFO-1, TiO2–ZFO-2, and TiO2–ZFO-3 nanorods, respectively. The photo-response of the TiO2 nanorods was only 6.4 in this study. The TiO2–ZFO-1 nanorods showed a marked increment of photo-response to approximately 2.5 times higher than that of the TiO2 nanorods. The photoexcited charges can be responsible for the photocurrent. The intensity of photocurrent is widely used to evaluate the degree of photoexcited charge separation. The rise of the photocurrent means a decreased size of photoexcited charge recombination [15]. The ZFO is a narrow bandgap oxide, which greatly improved the light harvesting ability of the TiO2 nanorods. Moreover, the suitable band alignment between the TiO2 and ZFO caused the photoexcited electrons in the ZFO to be able to transfer to the conduction band of TiO2; moreover, these free electrons flowed through the TiO2 nanorods under the bias. [16,17]. Similar to heterogeneous WS2–TiO2 light detectors, the improved photo-response activity is associated with the type II band structure between the WS2 and TiO2 [5]. Moreover, the TiO2–SnO2 nano-heterostructure offers a high charge separation efficiency and a direct pathway for electron transport; therefore, the heterogeneous TiO2 detector displays a higher photo-response value than that of TiO2 [18]. These examples supported the enhanced photo-response of the TiO2–ZFO nanorods than that in the TiO2 nanorods herein. An optimal ZFO crystallite size for efficiently improving the photoexcited charge separation in the TiO2–ZFO heterostructure was observed for the TiO2–ZFO-1 nanorods in this study.
Figure 9a–d shows the intensity change of absorbance spectra of the MO solution containing various nanorod samples with different irradiation durations. The distinct feature at 464 nm is associated with the monomeric MO. The intensity of the absorbance peaks of the MO solution containing various nanorod samples decreased with the irradiation duration, revealing the photocatalytic reaction between the nanorods and the MO solution under irradiation. A series of contrast experiments were carried out and the photodegradation ratios (C/Co) of the MO solution containing various nanorod samples are summarized in Figure 9e. In this study, the Co is the initial concentration of the MO solution without irradiation and C is the concentration of the MO solution with various irradiation times. Notably, prior to illumination, the MO solution containing various nanorod samples was magnetically stirred in the dark for 50 min. Moreover, the peak intensity of the absorbance spectra of the MO solution decreased approximately 6% because partial dye molecules might have been adsorbed onto the surfaces of the nanorods for various nanorod samples under the given dark conditions. From Figure 9e, approximately 47.5% MO solution was degraded under irradiation for 50 min using TiO2 nanorods as a photocatalyst. The photodegradation degrees of the MO solution were evaluated to approximately 80.6% and 82.3% when using TiO2–ZFO-3 and TiO2–ZFO-2 nanorods as photocatalysts, respectively. Furthermore, the highest photodegradation degree of the MO solution was observed for the MO solution containing the TiO2–ZFO-1 nanorods at the given degradation reaction condition. For comparison, the kinetic model for photodegrading the MO solution is discussed and the apparent first-order rate constant k was used to evaluating the photodegradation efficiency of different nanorod photocatalysts [2,19]. Figure 9f reveals that the plot of ln(Co/C) vs. irradiation duration (t) is approximating linear. The apparent first-order rate constant k was calculated to be 0.0128, 0.0589, 0.0398, and 0.0367 min−1 for TiO2, TiO2–ZFO-1, TiO2–ZFO-2, and TiO2–ZFO-3 nanorods, respectively. When composite nanorods were used as photocatalysts, the photodegradation efficiency of the MO solution accelerated a lot compared with the pure TiO2 nanorods. Moreover, after coating the appropriate size of the ZFO shell layer, the photodegradation rate of the MO solution was further improved. The photodegradation test results illustrated that the photodegradation ability of the TiO2 nanorods were substantially improved by decorating ZFO onto the surfaces of the TiO2 nanorods. This is attributable to the enhanced light harvesting ability of the TiO2 nanorods coated with the visible light sensitizer of ZFO. Moreover, the photo-response result demonstrated that the photocurrent of the TiO2 nanorods was substantially enhanced through the surface coating of ZFO. The formation of type II band structure between the TiO2 and ZFO is important for the improved photodegradation ability. The effective photogenerated charge separation at the heterointerfaces significantly improved the photodegradation performance of composite nanorods toward organic dyes. This is supported by the case that the construction of ZnO–ZnS core-shell nanorods because of suitable type II band alignment at the heterointerface, substantially improves photodegradation efficiency toward methylene blue dyes [20]. Similarity, the ZnO–SnO2 and ZnO–Zn2SnO4 core-shell nanorods also have a type II band alignment between the constituent compounds and they demonstrate superior photodegradation ability than that of ZnO toward rhodamine B dyes [13]. Figure 9g illustrates the band alignment structure between the TiO2 and ZFO and the photodegradation mechanism of the TiO2–ZFO composite nanorods. The conduction band (CB) and valence band (VB) positions of the TiO2 are determined at 0.37 and 2.65 eV (vs. NHE), respectively [16]. The CB and VB of ZFO are at 1.10 and 1.15 eV (vs. NHE), respectively [17]. Under irradiation, the photogenerated holes in TiO2 will migrate to the ZFO. Moreover, the photogenerated electrons in ZFO could migrate to the TiO2. This process could improve the photogenerated charge separation efficiency and decline greatly the rate of charge recombination. Therefore, the formation of TiO2–ZFO heterojunction structure led to the improvement of photodegradation efficiency of the composite nanorods. The possible photodegradation reactions of the TiO2–ZFO composite nanorods with the MO dyes under irradiation are described as follows:
ZFO + hv → ZFO (e) + ZFO (h+)
TiO2 + hv → TiO2 (e) + TiO2 (h+)
ZFO/TiO2 → charge separation: ZFO (h+) + TiO2 (e)
ZFO (h+) + OH → ‧OH
TiO2 (e) + O2 → ‧O2
‧O2− + H+ → ‧OOH
‧OOH + H+ + e → H2O2
H2O2 + e → ‧OH + –OH
h+, ‧O2−, ‧OH + MO → degradation products
For a series of TiO2–ZFO nanorod samples, the TiO2–ZFO-1 exhibited superior photodegradation ability toward MO dyes among the various composite nanorods. This might be associated with the fact that thicker ZFO crystallite sizes on the TiO2 nanorods engendered the decreased separation efficiency of photogenerated charges in the composites, therefore leading to a decrease of photodegradation rate of the composite nanorods toward MO dyes. This is supported by the observation of different photocurrent values among the various TiO2–ZFO nanorods. The increased ZFO shell crystallite size in the TiO2–ZFO composite nanorods although is advantageous to generate a greater number of electron-hole pairs in the ZFO side under the given irradiation; however, an increased travel path for the charges to across the heterointerface from ZFO to TiO2 might increase the possibility of recombination of charges. Therefore, the TiO2–ZFO-1 nanorods exhibited an optimal ZFO shell size and the highest photodegradation performance among various TiO2–ZFO nanorods herein. To further test the stability of the TiO2–ZFO-1 photocatalysts, recycling tests were conducted. As shown in Figure 9h, the photodegradation rate of the sample remains at a similar level after three consecutive cycles, implying that the obtained TiO2–ZFO heterogeneous photocatalyst has a high stability during photodegradation of the MO dyes.

4. Conclusions

TiO2–ZFO core-shell nanorods with various ZFO crystallite thicknesses were synthesized through sputtering deposited ZFO thin films onto the surfaces of TiO2 nanorods. By controlling the deposition duration of ZFO, various ZFO thicknesses were decorated onto the TiO2 nanorods. The structural analyses revealed that crystalline TiO2–ZFO heterostructures were formed by combining hydrothermal and sputtering methods. Moreover, the coupling of ZFO with TiO2 extended the composite nanorods optical absorbance edge to the visible light region. The heterogeneous TiO2–ZFO composite nanorods exhibited a superior photo-response value than that of the TiO2 nanorods. The experimental results herein demonstrated that the TiO2–ZFO-1 nanorods show an optimal ZFO coverage thickness for the decent light harvesting ability and they exhibited the highest degree of photoexcited charge separation efficiency among the various composite nanorods. This further resulted in the higher photodegradation rate of the MO solution for the TiO2–ZFO-1 nanorods under irradiation in this study. The experimental results herein demonstrated that sputtering deposited visible-light sensitizer ZFO crystallites with tunable thickness are a promising approach to design TiO2–ZFO core-shell heterostructures with optimal photodegradation ability toward organic dyes.

Author Contributions

Formal analysis, Y.-C.L. (Yen-Chen Liu); Investigation, Y.-C.L. (Yuan-Chang Liang) and Y.-C.L. (Yen-Chen Liu); Writing—original draft preparation, Y.-C.L. (Yuan-Chang Liang) and Y.-C.L. (Yen-Chen Liu); Writing—Review and Editing, Y.-C.L. (Yuan-Chang Liang); Supervision, Y.-C.L. (Yuan-Chang Liang).

Funding

This research was funded by the Ministry of Science and Technology of Taiwan. Grant No. MOST 105-2628-E-019-001-MY3.

Conflicts of Interest

The authors declare no conflict of interest.

References

  1. Liang, Y.C.; Xu, N.C.; Wang, C.C.; Wei, D.W. Fabrication of Nanosized Island-Like CdO Crystallites-Decorated TiO2 Rod Nanocomposites via a Combinational Methodology and Their Low-Concentration NO2 Gas-Sensing Behavior. Materials 2017, 10, 778. [Google Scholar] [CrossRef] [PubMed]
  2. Liang, Y.C.; Chung, C.C.; Lo, Y.J.; Wang, C.C. Microstructure-dependent visible-light driven photoactivity of sputtering-assisted synthesis of sulfide-based visible-light sensitizer onto ZnO nanorods. Materials 2016, 9, 1014. [Google Scholar] [CrossRef] [PubMed]
  3. Ohno, T.H.; Sarukawa, K.J.; Matsumura, M.H. Photocatalytic Activities of Pure Rutile Particles Isolated from TiO2 Powder by Dissolving the Anatase Component in HF Solution. Phys. Chem. B 2001, 105, 2417–2420. [Google Scholar] [CrossRef]
  4. Tian, G.H.; Chen, Y.J.; Zhou, W.; Pan, K.; Tian, C.G.; Huang, X.R.; Fu, H.G. 3D hierarchical flower-like TiO2 nanostructure: Morphology control and its photocatalytic property. CrystEngComm 2011, 13, 2994–3000. [Google Scholar] [CrossRef]
  5. Ren, X.H.; Qiao, H.; Huang, Z.Y.; Tang, P.H.; Liu, S.H.; Luo, S.W.; Yao, H.; Qi, X.; Zhong, J.X. Investigating the photocurrent generation and optoelectronic responsivity of heterostructure. Opt. Commun. 2018, 406, 118–123. [Google Scholar] [CrossRef]
  6. Xia, Y.B.; Yin, L.W. Core–shell structured α-Fe2O3-TiO2 nanocomposites with improved photocatalytic activity in the visible light region. Phys. Chem. Chem. Phys. 2013, 15, 18627–18634. [Google Scholar] [PubMed]
  7. Qin, D.D.; Tao, C.L. A nanostructured ZnO–ZnFe2O4 heterojunction for the visible light photoelectrochemical oxidation of water. RSC Adv. 2014, 4, 16968–16972. [Google Scholar] [CrossRef]
  8. Xu, S.H.; Feng, D.L.; Shangguan, W.F. Preparations and Photocatalytic Properties of Visible-Light-Active Zinc Ferrite-Doped TiO2 Photocatalyst. J. Phys. Chem. C 2009, 113, 2463–2467. [Google Scholar] [CrossRef]
  9. Zhu, X.D.; Zhang, F.; Wang, M.J.; Ding, J.J.; Sun, S.; Bao, J.; Gao, C. Facile synthesis, structure and visible light photocatalytic activity of recyclable ZnFe2O4/TiO2. Appl. Surf. Sci. 2014, 319, 83–89. [Google Scholar] [CrossRef]
  10. Liang, Y.C.; Lee, C.M. Cosputtering crystal growth of zinc oxide-based composite films: From the effects of doping to phase on photoactivity and gas sensing properties. J. Appl. Phys. 2016, 120, 135306. [Google Scholar] [CrossRef]
  11. Liang, Y.C.; Lee, C.M.; Lo, Y.J. Reducing gas-sensing performance of Ce-doped SnO2 thin films through a cosputtering method. RSC Adv. 2017, 7, 4724–4734. [Google Scholar] [CrossRef]
  12. Xiong, K.; Wang, K.Z.; Chen, L.; Wang, X.Q.; Fan, Q.B.; Courtois, J.M.; Liu, Y.L.; Tuo, X.G.; Yan, M.H. Heterostructured ZnFe2O4/Fe2TiO5/TiO2 Composite Nanotube Arrays with an Improved Photocatalysis Degradation Efficiency Under Simulated Sunlight Irradiation. Nano-Micro Lett. 2018, 10, 17. [Google Scholar] [CrossRef] [PubMed]
  13. Liang, Y.C.; Lo, Y.J. High-temperature solid-state reaction induced structure modifications and associated photoactivity and gas-sensing performance of binary oxide one-dimensional composite system. RSC Adv. 2017, 7, 29428–29439. [Google Scholar] [CrossRef]
  14. Bharti, B.N.; Kumar, S.T.; Lee, H.N.; Kumar, R.J. Formation of oxygen vacancies and Ti3+ state in TiO2 thin film and enhanced optical properties by air plasma treatment. Sci. Rep. 2016, 6, 32355. [Google Scholar] [CrossRef] [PubMed]
  15. Liang, Y.C.; Lo, Y.R.; Wang, C.C.; Xu, N.C. Shell Layer Thickness-Dependent Photocatalytic Activity of Sputtering Synthesized Hexagonally Structured ZnO-ZnS Composite Nanorods. Materials 2018, 11, 87. [Google Scholar] [CrossRef] [PubMed]
  16. Di Paola, A.G.T.; Bellardita, M.A.; Palmisano, L.N.D. Brookite, the Least Known TiO2 Photocatalyst. Catalysts 2013, 3, 36–73. [Google Scholar] [CrossRef]
  17. Song, H.; Zhu, L.P.; Li, Y.G.; Lou, Z.R.; Xiao, M.; Ye, Z.H. Preparation of ZnFe2O4 nanostructures and highly efficient visible-light-driven hydrogen generation with the assistance of nanoheterostructures. J. Mater. Chem. A 2015, 3, 8353–8360. [Google Scholar] [CrossRef]
  18. Chen, D.; Wei, L.; Meng, L.P.; Wang, D.; Chen, Y.X.; Tian, Y.F.; Yan, S.S.; Mei, L.G.; Jiao, J. Visible-blind quasi-solid-state UV detector based on SnO2-TiO2 nanoheterostructure arrays. J. Alloys Compd. 2018, 751, 56–61. [Google Scholar] [CrossRef]
  19. Liang, Y.C.; Wang, C.C.; Lo, Y.J. Photoactivity enhancement of zinc sulfide ceramics thin films through ultrathin buffering engineering. Ceram. Int. 2016, 42, 15849–15854. [Google Scholar] [CrossRef]
  20. Liang, Y.C.; Wang, C.C. Surface crystal feature-dependent photoactivity of ZnO–ZnS composite rods via hydrothermal sulfidation. RSC Adv. 2018, 8, 5063–5070. [Google Scholar] [CrossRef]
Figure 1. SEM images of various nanorod samples: (a) TiO2; (b) TiO2–ZFO-1; (c) TiO2–ZFO-2; (d) TiO2–ZFO-3.
Figure 1. SEM images of various nanorod samples: (a) TiO2; (b) TiO2–ZFO-1; (c) TiO2–ZFO-2; (d) TiO2–ZFO-3.
Nanomaterials 09 00205 g001
Figure 2. TEM analyses of TiO2–ZFO-1 nanorods: (a) low-magnification micrograph of the single nanorod; (b) selected area electron diffraction (SAED) pattern; (c,d) high-resolution TEM (HRTEM) micrographs in the lateral and head regions of the nanorod, respectively; (e) Zn, Fe, Ti, and O mapping micrographs in the head region of the nanorod; (f) Zn, Fe, Ti, and O mapping micrographs in the lateral region of the nanorod.
Figure 2. TEM analyses of TiO2–ZFO-1 nanorods: (a) low-magnification micrograph of the single nanorod; (b) selected area electron diffraction (SAED) pattern; (c,d) high-resolution TEM (HRTEM) micrographs in the lateral and head regions of the nanorod, respectively; (e) Zn, Fe, Ti, and O mapping micrographs in the head region of the nanorod; (f) Zn, Fe, Ti, and O mapping micrographs in the lateral region of the nanorod.
Nanomaterials 09 00205 g002
Figure 3. TEM analyses of TiO2–ZFO-2 nanorods: (a) low-magnification TEM micrograph of the single nanorod; (b) SAED pattern; (c,d) HRTEM images taken from the lateral and head regions of the nanorod, respectively; (e) Zn, Fe, Ti, and O mapping micrographs in head region of the nanorod; (f) Zn, Fe, Ti, and O mapping micrographs in the lateral region of the nanorod.
Figure 3. TEM analyses of TiO2–ZFO-2 nanorods: (a) low-magnification TEM micrograph of the single nanorod; (b) SAED pattern; (c,d) HRTEM images taken from the lateral and head regions of the nanorod, respectively; (e) Zn, Fe, Ti, and O mapping micrographs in head region of the nanorod; (f) Zn, Fe, Ti, and O mapping micrographs in the lateral region of the nanorod.
Nanomaterials 09 00205 g003
Figure 4. Analyses of TiO2–ZFO-3 nanorods: (a) low-magnification TEM image of the single nanorod; (b) SAED pattern; (c) Zn, Fe, Ti, and O mapping micrographs in the head region of the nanorod; (d) Zn, Fe, Ti, and O mapping micrographs in the lateral region of the nanorod.
Figure 4. Analyses of TiO2–ZFO-3 nanorods: (a) low-magnification TEM image of the single nanorod; (b) SAED pattern; (c) Zn, Fe, Ti, and O mapping micrographs in the head region of the nanorod; (d) Zn, Fe, Ti, and O mapping micrographs in the lateral region of the nanorod.
Nanomaterials 09 00205 g004
Figure 5. XRD patterns: (a) TiO2–ZFO-2 nanorods; (b) TiO2–ZFO-3 nanorods.
Figure 5. XRD patterns: (a) TiO2–ZFO-2 nanorods; (b) TiO2–ZFO-3 nanorods.
Nanomaterials 09 00205 g005
Figure 6. (a) Transmittance (%) spectrum of the ZFO thin film. (b) Tauc plot of the ZFO thin film. (c) Optical absorbance spectra of various nanorods.
Figure 6. (a) Transmittance (%) spectrum of the ZFO thin film. (b) Tauc plot of the ZFO thin film. (c) Optical absorbance spectra of various nanorods.
Nanomaterials 09 00205 g006
Figure 7. XPS spectra of the ZFO thin film: (a) Fe2p; (b) Zn2p; (c) O1s. XPS spectra of the TiO2 nanorods: (d) Ti2p; (e) O1s.
Figure 7. XPS spectra of the ZFO thin film: (a) Fe2p; (b) Zn2p; (c) O1s. XPS spectra of the TiO2 nanorods: (d) Ti2p; (e) O1s.
Nanomaterials 09 00205 g007
Figure 8. Photocurrent vs. time cures of various nanorods.
Figure 8. Photocurrent vs. time cures of various nanorods.
Nanomaterials 09 00205 g008
Figure 9. Intensity change of absorbance spectra of MO solution vs. degradation duration containing various nanorods under irradiation: (a) pure TiO2 nanorods; (b) TiO2–ZFO-1; (c) TiO2–ZFO-2; (d) TiO2–ZFO-3. (e) Plot of C/Co vs. irradiation time for MO solution containing various nanorods in dark and illumination conditions. (f) Plot of ln(Co/C) vs. time. (g) Photodegradation mechanism of the TiO2–ZFO toward MO dyes. (h) Cycling tests.
Figure 9. Intensity change of absorbance spectra of MO solution vs. degradation duration containing various nanorods under irradiation: (a) pure TiO2 nanorods; (b) TiO2–ZFO-1; (c) TiO2–ZFO-2; (d) TiO2–ZFO-3. (e) Plot of C/Co vs. irradiation time for MO solution containing various nanorods in dark and illumination conditions. (f) Plot of ln(Co/C) vs. time. (g) Photodegradation mechanism of the TiO2–ZFO toward MO dyes. (h) Cycling tests.
Nanomaterials 09 00205 g009

Share and Cite

MDPI and ACS Style

Liang, Y.-C.; Liu, Y.-C. Microstructures and Photodegradation Performance toward Methylene Orange of Sputtering-Assisted Decoration of ZnFe2O4 Crystallites onto TiO2 Nanorods. Nanomaterials 2019, 9, 205. https://doi.org/10.3390/nano9020205

AMA Style

Liang Y-C, Liu Y-C. Microstructures and Photodegradation Performance toward Methylene Orange of Sputtering-Assisted Decoration of ZnFe2O4 Crystallites onto TiO2 Nanorods. Nanomaterials. 2019; 9(2):205. https://doi.org/10.3390/nano9020205

Chicago/Turabian Style

Liang, Yuan-Chang, and Yen-Chen Liu. 2019. "Microstructures and Photodegradation Performance toward Methylene Orange of Sputtering-Assisted Decoration of ZnFe2O4 Crystallites onto TiO2 Nanorods" Nanomaterials 9, no. 2: 205. https://doi.org/10.3390/nano9020205

APA Style

Liang, Y.-C., & Liu, Y.-C. (2019). Microstructures and Photodegradation Performance toward Methylene Orange of Sputtering-Assisted Decoration of ZnFe2O4 Crystallites onto TiO2 Nanorods. Nanomaterials, 9(2), 205. https://doi.org/10.3390/nano9020205

Note that from the first issue of 2016, this journal uses article numbers instead of page numbers. See further details here.

Article Metrics

Back to TopTop