Structural Evolution of AlN Nanoclusters and the Elemental Chemisorption Characteristics: Atomistic Insight
Abstract
:1. Introduction
2. Methods
3. Results and Discussion
3.1. Structural Evolution of AlN Clusters
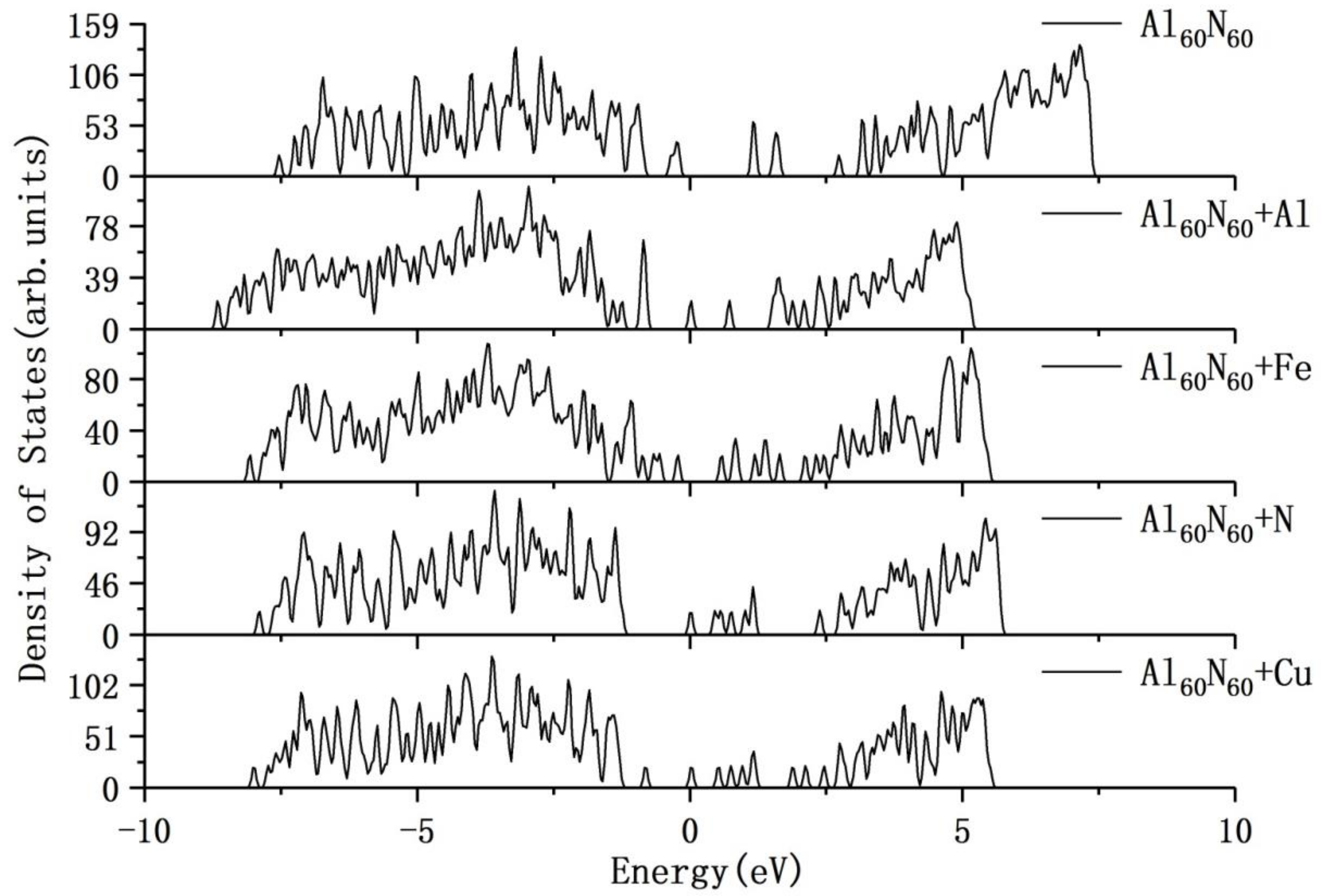
3.2. Chemisorption of Al, N, Fe, Cu Atoms on the Al60N60 Large Cluster
4. Summary and Outlook
Author Contributions
Funding
Acknowledgments
Conflicts of Interest
References
- Li, X.; Li, S.; Ren, H.; Yang, J.; Tang, Y. Effect of alkali metal atoms doping on structure and nonlinear optical properties of the gold-germanium bimetallic clisters. Nanomaterials 2017, 7, 184. [Google Scholar] [CrossRef]
- Yan, J.; Xia, J.; Zhang, Q.; Zhang, B.; Wang, B. First-principles studieds on the structural and electronic properties of As clusters. Materials 2018, 11, 1596. [Google Scholar] [CrossRef]
- Die, D.; Zheng, B.; Kuang, X.-y.; Zhao, Z.-Q.; Guo, J.-J.; Du, Q. Exploration of the structural, electronic and tunable magnetic properties of Cu4M (M=Sc-Ni) clusters. Materials 2017, 10, 946. [Google Scholar] [CrossRef]
- Rao, B.K.; Jena, P. Evolution of the electronic structure and properties of neutral and charged aluminum clusters: A comprehensive analysis. J. Chem. Phys. 1999, 111, 1890–1904. [Google Scholar] [CrossRef]
- Deshpande, M.D.; Kanhere, D.G.; Vasiliev, I.; Martin, R.M. Ab initio absorption spectra of Aln (n = 2–13) clusters. Phys. Rev. B 2003, 68, 035428. [Google Scholar] [CrossRef]
- Guo, L. Density functional study of structural and electronic properties of AlnAs (1 ≤ n ≤ 15) clusters. J. Alloys. Compd. 2012, 527, 197–203. [Google Scholar] [CrossRef]
- Ruiz, E.; Alvarez, S.; Alemany, P. Electronic structure and properties of AlN. Phys. Rev. B 1994, 49, 7115. [Google Scholar] [CrossRef]
- Kim, H.J.; Egashira, Y.; Komiyama, H. Temperature dependence of the sticking probability and molecular size of the film growth species in an atmospheric chemical vapor deposition process to form AlN from AlCl3 and NH3. Appl. Phys. Lett. 1991, 59, 2521–2523. [Google Scholar] [CrossRef]
- Jiang, Z.; Interrante, L.V. N, N’-Bis (triethylaluminum) ethylenediamine -and N, N’-Bis (trimethylaluminum) ethylenediamine-derived organometallic precursors to aluminum nitride: Syntheses, structures, and pyrolyses. Chem. Mater. 1990, 2, 439–446. [Google Scholar] [CrossRef]
- Sauls, F.C.; Interrante, L.V.; Jiang, Z.P. Me3Al·NH3 formation and pyrolytic methane loss: thermodynamics, kinetics, and mechanism. Inorg. Chem. 1990, 29, 2989–2996. [Google Scholar] [CrossRef]
- Kishimoto, K.; Funato, M.; Kawakami, Y. Effects of Al and N2 flow sequences on the interface formation of AlN on sapphire By EVPE. Crystals 2017, 7, 123. [Google Scholar] [CrossRef]
- Búc, D.; Hotový, I.; Haščík, S.; Červeň, I. Reactive unbalanced magnetron sputtering of AlN thin films. Vacuum 1998, 50, 121–123. [Google Scholar] [CrossRef]
- Beheshtian, J.; Peyghan, A.A.; Bagheri, Z. Quantum chemical study of fluorinated AlN nano-cage. Appl. Surf. Sci. 2012, 259, 631–636. [Google Scholar] [CrossRef]
- Costales, A.; Blanco, M.A.; Francisco, E.; Pendas, A.M.; Pandey, R. First principles study of neutral and anionic (medium-size) aluminum nitride clusters: AlnNn, n=7–16. J. Phys. Chem. B 2006, 110, 4092–4098. [Google Scholar] [CrossRef]
- Wu, H.S.; Zhang, F.Q.; Xu, X.H.; Zhang, C.J.; Jiao, H. Geometric and energetic aspects of aluminum nitride cages. J. Phys. Chem. A 2003, 107, 204–209. [Google Scholar] [CrossRef]
- Kandalam, A.K.; Pandey, R.; Blanco, M.A.; Costales, A.; Recio, J.M.; Newsam, J.M. First principles study of polyatomic clusters of AlN, GaN, and InN. 1. structure, stability, vibrations, and ionization. J. Phys. Chem. B 2000, 104, 4361–4367. [Google Scholar] [CrossRef]
- Saeedi, M.; Anafcheh, M.; Ghafouri, R.; Hadipour, N.L. A computational investigation of the electronic properties of Octahedral AlnNn and AlnPn cages (n = 12, 16, 28, 36, and 48). Struct. Chem. 2013, 24, 681–689. [Google Scholar] [CrossRef]
- BelBruno, J.J. The structure of AlnNn (n = 2–4) clusters: a DFT study. Chem. Phys. Lett. 1999, 313, 795–804. [Google Scholar] [CrossRef]
- Guo, C.; Wang, C. A theoretical study on the hydrogen storage properties of planar (AlN)n clusters (n = 3–5). Struct. Chem. 2017, 28, 1717–1722. [Google Scholar] [CrossRef]
- Solimannejad, M.; Kamalinahad, S.; Shakerzadeh, E. Selective detection of toxic cyanogen gas in the presence of O2, and H2O molecules using a AlN nanocluster. Phys. Lett. A 2016, 380, 2854–2860. [Google Scholar] [CrossRef]
- Takahashi, N.; Matsumoto, Y.; Nakamura, T. Investigations of structure and morphology of the AlN nano-pillar crystal films prepared by halide chemical vapor deposition under atmospheric pressure. J. Phys. Chem. Solids. 2006, 67, 665–668. [Google Scholar] [CrossRef]
- Makarov, Y.N.; Avdeev, O.V.; Barash, I.S.; Bazarevskiy, D.S.; Chemekova, T.Y.; Mokhov, E.N.; Nagalyuk, S.S.; Roenkov, A.D.; Segal, A.S.; Vodakov, Y.A.; et al. Experimental and theoretical analysis of sublimation growth of AlN bulk crystals. J. Cryst. Growth. 2008, 310, 881–886. [Google Scholar] [CrossRef]
- Yin, L.W.; Bando, Y.; Zhu, Y.C.; Li, M.S.; Li, Y.B.; Golberg, D. Growth and field emission of hierarchical single-crystalline Wurtzite AlN nanoarchitectures. Adv. Mater. 2010, 17, 110–114. [Google Scholar] [CrossRef]
- Sumathi, R.R. Bulk AlN single crystal growth on foreign substrate and preparation of free-standing native seeds. Cryst. Eng. Comm. 2013, 15, 2232–2240. [Google Scholar] [CrossRef]
- Ma, X.; Zhao, Y.; Zhao, X.; Gao, T.; Chen, H.; Liu, X. Influence mechanisms of Cu or Fe on the microstructures and tensile properties at 350 °C of network AlNp reinforced Al composites. J. Alloy. Compd. 2018, 740, 452–460. [Google Scholar] [CrossRef]
- Perdew, J.P.; Burke, K.; Ernzerhof, M. Generalized gradient approximation made simple. Phys. Rev. Lett. 1996, 77, 3865. [Google Scholar] [CrossRef]
- Hohenberg, P.; Kohn, W. Inhomogeneous electron gas. Phys. Rev. 1964, 136, B864. [Google Scholar] [CrossRef]
- Kohn, W.; Sham, L.J. Self-consistent equations including exchange and correlation effects. Phys. Rev. 1965, 140, A1133. [Google Scholar] [CrossRef]
- Kresse, G.; Joubert, D. From ultrasoft pseudopotentials to the projector augmented-wave method. Phys. Rev. B 1999, 59, 1758. [Google Scholar] [CrossRef]
- Kresse, G.; Furthmuller, J. Efficient iterative schemes for ab initio total-energy calculations using a plane-wave basis set. Phys. Rev. B 1996, 54, 11169. [Google Scholar] [CrossRef]
- Hartmann, C.; Wollweber, J.; Dittmar, A.; Irmscher, K.; Kwasniewski, A.; Langhans, F.; Neugut, T.; Bickermann, M. Preparation of bulk AlN seeds by spontaneous nucleation of freestanding crystals. Jap. J. Appl. Phys. 2013, 52, 08JA06. [Google Scholar] [CrossRef]
- Marsman, M.; Paier, J.; Stroppa, A.; Kresse, G. Hybrid functionals applied to extended systems. J. Phys-Condens. Mat. 2008, 20, 064201. [Google Scholar] [CrossRef]
- Ouyang, T.; Qian, Z.; Ahuja, R.; Liu, X. First-principles investigation of CO adsorption on pristine, C-doped and N-vacancy defected hexagonal AlN nanosheets. Appl. Surf. Sci. 2018, 439, 196–201. [Google Scholar] [CrossRef]
- Ouyang, T.; Qian, Z.; Hao, X.; Ahuja, R.; Liu, X. Effect of defects on adsorption characteristics of AlN monolayer towards SO2 and NO2: Ab initio exposure. Appl. Surf. Sci. 2018, 462, 615–622. [Google Scholar] [CrossRef]








© 2019 by the authors. Licensee MDPI, Basel, Switzerland. This article is an open access article distributed under the terms and conditions of the Creative Commons Attribution (CC BY) license (http://creativecommons.org/licenses/by/4.0/).
Share and Cite
Nie, X.; Qian, Z.; Du, W.; Lu, Z.; Li, H.; Ahuja, R.; Liu, X. Structural Evolution of AlN Nanoclusters and the Elemental Chemisorption Characteristics: Atomistic Insight. Nanomaterials 2019, 9, 1420. https://doi.org/10.3390/nano9101420
Nie X, Qian Z, Du W, Lu Z, Li H, Ahuja R, Liu X. Structural Evolution of AlN Nanoclusters and the Elemental Chemisorption Characteristics: Atomistic Insight. Nanomaterials. 2019; 9(10):1420. https://doi.org/10.3390/nano9101420
Chicago/Turabian StyleNie, Xi, Zhao Qian, Wenzheng Du, Zhansheng Lu, Hu Li, Rajeev Ahuja, and Xiangfa Liu. 2019. "Structural Evolution of AlN Nanoclusters and the Elemental Chemisorption Characteristics: Atomistic Insight" Nanomaterials 9, no. 10: 1420. https://doi.org/10.3390/nano9101420
APA StyleNie, X., Qian, Z., Du, W., Lu, Z., Li, H., Ahuja, R., & Liu, X. (2019). Structural Evolution of AlN Nanoclusters and the Elemental Chemisorption Characteristics: Atomistic Insight. Nanomaterials, 9(10), 1420. https://doi.org/10.3390/nano9101420

