The Preparation and Properties of Nanocomposite from Bio-Based Polyurethane and Graphene Oxide for Gas Separation
Abstract
1. Introduction
2. Materials and Methods
2.1. Materials
2.2. Preparation of Tung-Oil-Based Polyurethane (TBPU)
2.3. Preparation of TBPU-GO Hybrid Membrane
2.4. Characterization
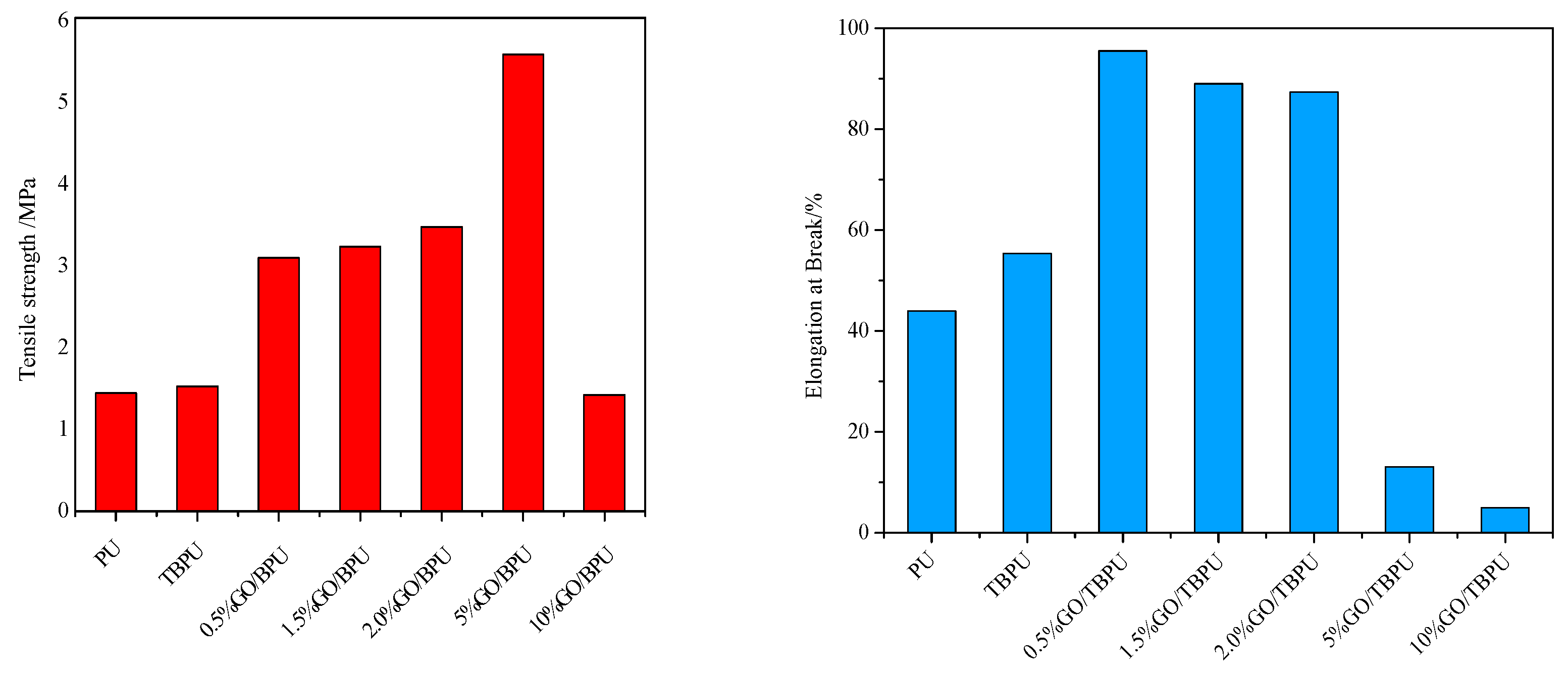
3. Results and Discussion
4. Conclusions
Author Contributions
Funding
Conflicts of Interest
References
- Zafar, U.; Nzeram, P.; Langarica-Fuentes, A.; Houlden, A.; Heyworth, A.; Saiani, A.; Robson, G.D. Biodegradation of polyester polyurethane during commercial composting and analysis of associated fungal communities. Bioresour. Technol. 2014, 158, 374–377. [Google Scholar] [CrossRef] [PubMed]
- Huber, G.W.; Chheda, J.N.; Barrett, C.J.; Dumesic, J.A. Production of Liquid Alkanes by Aqueous-Phase Processing of Biomass-Derived Carbohydrates. Science 2005, 308, 1446–1450. [Google Scholar] [CrossRef] [PubMed]
- Pera-Titus, M. Porous Inorganic Membranes for CO2 Capture: Present and Prospects. Chem. Rev. 2014, 114, 1413–1492. [Google Scholar] [CrossRef] [PubMed]
- Ramasubramanian, K.; Zhao, Y.; Winston Ho, W.S. CO2 capture and H2 purification: Prospects for CO2-selective membrane processes. AIChE J. 2013, 59, 1033–1045. [Google Scholar] [CrossRef]
- Hu, S.; Li, Y. Two-step sequential liquefaction of lignocellulosic biomass by crude glycerol for the production of polyols and polyurethane foams. Bioresour. Technol. 2014, 161, 410–415. [Google Scholar] [CrossRef] [PubMed]
- Zhang, C.; Madbouly, S.A.; Kessler, M.R. Biobased Polyurethanes Prepared from Different Vegetable Oils. ACS Appl. Mater. Interfaces 2015, 7, 1226–1233. [Google Scholar] [CrossRef] [PubMed]
- Rojek, P.; Prociak, A. Effect of different rapeseed-oil-based polyols on mechanical properties of flexible polyurethane foams. J. Appl. Polym. Sci. 2012, 125, 2936–2945. [Google Scholar] [CrossRef]
- Yuan, W.; Wang, J.; Shen, T.; Ren, J. Surface modification of graphene oxide with thermoresponsive polymers via atom transfer radical polymerization: Transition from LCST to UCST. Mater. Lett. 2013, 107, 243–246. [Google Scholar] [CrossRef]
- Kim, H.; Miura, Y.; Macosko, C.W. Graphene/Polyurethane Nanocomposites for Improved Gas Barrier and Electrical Conductivity. Chem. Mater. 2010, 22, 3441–3450. [Google Scholar] [CrossRef]
- Wang, T.; Zhao, L.; Shen, J.N.; Wu, L.G.; Van der Bruggen, B. Enhanced Performance of Polyurethane Hybrid Membranes for CO2 Separation by Incorporating Graphene Oxide: The Relationship between Membrane Performance and Morphology of Graphene Oxide. Environ. Sci. Technol. 2015, 49, 8004–8011. [Google Scholar] [CrossRef] [PubMed]
- Mosiewicki, M.A.; Casado, U.; Marcovich, N.E.; Aranguren, M.I. Polyurethanes from tung oil: Polymer characterization and composites. Polym. Eng. Sci. 2009, 49, 685–692. [Google Scholar] [CrossRef]
- Dong, G.; Zhang, Y.; Hou, J.; Shen, J.; Chen, V. Graphene Oxide Nanosheets Based Novel Facilitated Transport Membranes for Efficient CO2 Capture. Ind. Eng. Chem. Res. 2016, 55, 5403–5414. [Google Scholar] [CrossRef]
- Marcano, D.C.; Kosynkin, D.V.; Berlin, J.M.; Sinitskii, A.; Sun, Z.; Slesarev, A.; Alemany, L.B.; Lu, W.; Tour, J.M. Improved Synthesis of Graphene Oxide. ACS Nano 2010, 4, 4806–4814. [Google Scholar] [CrossRef] [PubMed]
- Khosravi, A.; Sadeghi, M.; Banadkohi, H.Z.; Talakesh, M.M. Polyurethane-Silica Nanocomposite Membranes for Separation of Propane/Methane and Ethane/Methane. Ind. Eng. Chem. Res. 2014, 53, 2011–2021. [Google Scholar] [CrossRef]
- Kim, H.W.; Yoon, H.W.; Yoo, B.M.; Park, J.S.; Gleason, K.L.; Freeman, B.D.; Park, H.B. High-performance CO2-philic graphene oxide membranes under wet-conditions. Chem. Commun. 2014, 50, 13563–13566. [Google Scholar] [CrossRef] [PubMed]
- Yousefi, N.; Gudarzi, M.M.; Zheng, Q.; Aboutalebi, S.H.; Sharif, F.; Kim, J.K. Self-alignment and high electrical conductivity of ultralarge graphene oxide-polyurethane nanocomposites. J. Mater. Chem. 2012, 22, 12709–12717. [Google Scholar] [CrossRef]
- Dong, G.; Hou, J.; Wang, J.; Zhang, Y.; Chen, V.; Liu, J. Enhanced CO2/N2 separation by porous reduced graphene oxide/Pebax mixed matrix membranes. J. Membr. Sci. 2016, 520, 860–868. [Google Scholar] [CrossRef]









© 2018 by the authors. Licensee MDPI, Basel, Switzerland. This article is an open access article distributed under the terms and conditions of the Creative Commons Attribution (CC BY) license (http://creativecommons.org/licenses/by/4.0/).
Share and Cite
Zhang, Y.; Ma, J.; Bai, Y.; Wen, Y.; Zhao, N.; Zhang, X.; Zhang, Y.; Li, Q.; Wei, L. The Preparation and Properties of Nanocomposite from Bio-Based Polyurethane and Graphene Oxide for Gas Separation. Nanomaterials 2019, 9, 15. https://doi.org/10.3390/nano9010015
Zhang Y, Ma J, Bai Y, Wen Y, Zhao N, Zhang X, Zhang Y, Li Q, Wei L. The Preparation and Properties of Nanocomposite from Bio-Based Polyurethane and Graphene Oxide for Gas Separation. Nanomaterials. 2019; 9(1):15. https://doi.org/10.3390/nano9010015
Chicago/Turabian StyleZhang, Yongsheng, Jun Ma, Yao Bai, Youwei Wen, Na Zhao, Xiaoling Zhang, Yatao Zhang, Qian Li, and Liuhe Wei. 2019. "The Preparation and Properties of Nanocomposite from Bio-Based Polyurethane and Graphene Oxide for Gas Separation" Nanomaterials 9, no. 1: 15. https://doi.org/10.3390/nano9010015
APA StyleZhang, Y., Ma, J., Bai, Y., Wen, Y., Zhao, N., Zhang, X., Zhang, Y., Li, Q., & Wei, L. (2019). The Preparation and Properties of Nanocomposite from Bio-Based Polyurethane and Graphene Oxide for Gas Separation. Nanomaterials, 9(1), 15. https://doi.org/10.3390/nano9010015
