High Performance Shape-Stabilized Phase Change Material with Nanoflower-Like Wrinkled Mesoporous Silica Encapsulating Polyethylene Glycol: Preparation and Thermal Properties
Abstract
:1. Introduction
2. Materials and Methods
2.1. Materials
2.2. Preparation of NFMS
2.3. Preparation of PEG/NFMS
2.4. Characterization
3. Results and Discussion
3.1. Characterization of the NFMS and PEG/NFMS
3.2. Crystallization Properties of PEG, NFMS, and PEG/NFMS
3.3. Chemical Properties of Pure PEG, NFMS, and PEG/NFMS
3.4. Leakage Test of PEG/NFMS
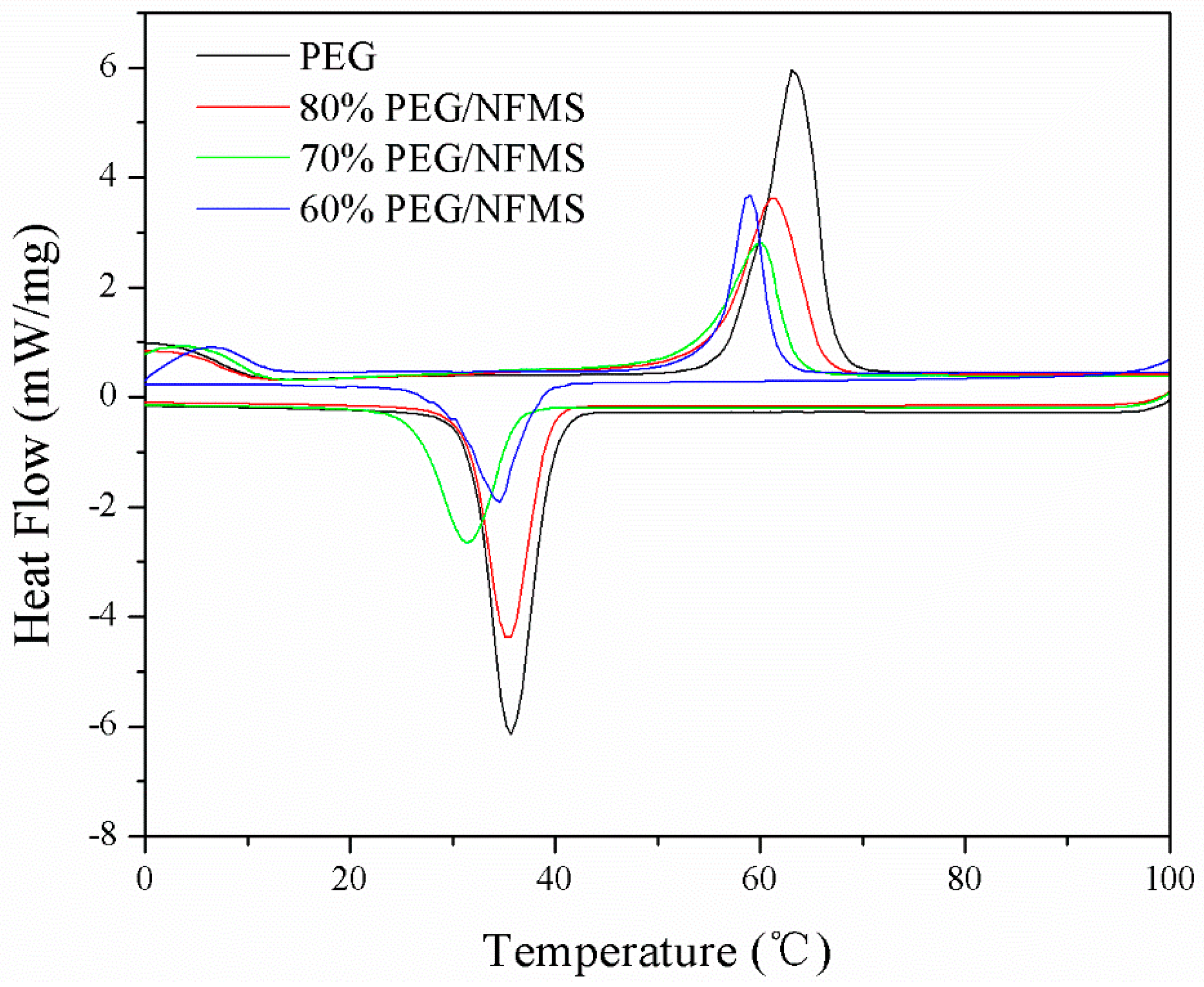
3.5. Thermal Properties of PEG and PEG/NFMS
3.6. Thermal Stability of Pure PEG and 80 w% PEG/NFMS
3.7. Undercooling of PEG and NFMS
3.8. Percentage of Heat Loss
4. Conclusions
Author Contributions
Acknowledgments
Conflicts of Interest
References
- Chen, Y.; Zhang, X.J.; Wang, B.F.; Lv, M.J.; Zhu, Y.Y.; Gao, J.K. Fabrication and characterization of novel shape-stabilized stearic acid composite phase change materials with tannic-acid-templated mesoporous silica nanoparticles for thermal energy storage. R. Soc. Chem. 2017, 156, 25–31. [Google Scholar] [CrossRef]
- Gao, J.; Kong, W.X.; Zhou, L.Y.; He, Y.; Ma, L.; Wang, Y.; Yin, L.Y.; Jiang, Y.J. Monodisperse core-shell magnetic organosilica nanoflowers with radial wrinkle for lipase immobilization. Chem. Eng. J. 2017, 309, 70–79. [Google Scholar] [CrossRef]
- Goitandia, A.M.; Beobide, G.; Aranzabe, E.; Aranzabe, A. Development of content-stable phase change composites by infiltration into inorganic porous supports. Sol. Energy Mater. Sol. Cells 2015, 134, 318–328. [Google Scholar] [CrossRef]
- Cai, Y.B.; Sun, G.Y.; Liu, M.M.; Zhang, J.; Wang, Q.Q.; Wei, Q.F. Fabrication and characterization of capric-lauric-palmitic acid/electrospun SiO2, nanofibers composite as form-stable phase change material for thermal energy storage/retrieval. Sol. Energy 2015, 118, 87–95. [Google Scholar] [CrossRef]
- Li, J.R.; He, L.H.; Liu, T.Z.; Gao, X.J.; Zhu, H.Z. Preparation and characterization of PEG/SiO2 composites as shape-stabilized phase change materials for thermal energy storage. Sol. Energy Mater. Sol. Cells 2013, 118, 48–53. [Google Scholar] [CrossRef]
- Wang, J.J.; Yang, M.; Lu, Y.F.; Jin, Z.K.; Tan, L.; Gao, H.Y.; Fan, W.J.; Wang, G. Surface functionalization engineering driven crystallization behavior of polyethylene glycol confined in mesoporous silica for shape-stabilized phase change materials. Nano Energy 2016, 19, 78–87. [Google Scholar] [CrossRef]
- Min, X.; Fang, M.H.; Huang, Z.H.; Liu, Y.G.; Huang, Y.T.; Wen, R.L.; Qian, T.T.; Wu, X.W. Enhanced thermal properties of novel shape-stabilized PEG composite phase change materials with radial mesoporous silica sphere for thermal energy storage. Sci. Rep.-UK 2015, 5, 12964. [Google Scholar] [CrossRef] [PubMed]
- Gao, J.K.; Hou, L.A.; Zhang, G.H.; Gu, P. Facile functionalized of SBA-15 via a biomimetic coating and its application in efficient removal of uranium ions from aqueous solution. J. Hazard. Mater. 2015, 286, 325–333. [Google Scholar] [CrossRef] [PubMed]
- Feng, L.L.; Song, P.; Yan, S.C.; Wang, H.B.; Wang, J. The shape-stabilized phase change materials composed of polyethylene glycol and graphitic carbon nitride matrices. Thermochim. Acta 2015, 612, 19–24. [Google Scholar] [CrossRef]
- Qi, L.M. Colloidal chemical approaches to inorganic microand nanostructures with controlled morphologies and patterns. Coord. Chem. Rev. 2010, 254, 1054–1071. [Google Scholar] [CrossRef]
- Feng, L.L.; Zhao, W.; Zheng, J.; Frisco, S.; Song, P.; Li, X.G. The shape-stabilized phase change materials composed of polyethylene glycol and various mesoporous matrices (AC, SBA-15 and MCM-41). Sol. Energy Mater. Sol. Cells 2011, 95, 3550–3556. [Google Scholar] [CrossRef]
- Moon, D.S.; Lee, J.K. Tunable Synthesis of Hierarchical Mesoporous Silica Nanoparticles with Radial Wrinkle Structure. Langmuir 2012, 28, 12341–12347. [Google Scholar] [CrossRef] [PubMed]
- Qian, T.T.; Li, J.H.; Min, X.; Deng, Y.; Guan, W.M.; Ning, L. Radial-like mesoporous silica sphere: A promising new candidate of supporting material for storage of low-, middle-, and high-temperature heat. Energy 2016, 112, 1074–1083. [Google Scholar] [CrossRef]
- Kadoono, T.; Ogura, M. Heat storage properties of organic phase-change materials confined in the nanospace of mesoporous SBA-15 and CMK-3. Phys. Chem. Chem. Phys. 2014, 16, 5495–5498. [Google Scholar] [CrossRef] [PubMed]
- Ryan, B.; Brad, W.; Michellel, G.L.; Andrea, D.J. Hierarchical mesoporous silica materials for separation of functional food ingredients-A review. Innov. Food. Sci. Emerg. 2008, 9, 243–248. [Google Scholar]
- Wang, Y.; Herron, N. X-Ray Photoconductive Nanocomposites. Science 1996, 273, 632–634. [Google Scholar] [CrossRef] [PubMed]
- Chen, Y.; Zhu, Y.Y.; Wang, J.B.; Lv, M.J.; Zhang, X.J.; Gao, J.K.; Zhang, Z.J.; Lei, H. Novel Shape-Stabilized Phase Change Materials Composed of Polyethylene Glycol/Nonsurfactant-Templated Mesoporous Silica: Preparation and Thermal Properties. JOM-UK 2017, 69, 1–5. [Google Scholar] [CrossRef]
- Gao, J.K.; Lv, M.J.; Lu, J.S.; Chen, Y.; Zhang, Z.J.; Zhang, X.J.; Zhu, Y.Y. Enhanced Thermal Properties of Novel Latent Heat Thermal Storage Material Through Confinement of Stearic Acid in Meso-Structured Onion-Like Silica. JOM-US 2017, 69, 1–6. [Google Scholar] [CrossRef]
- Moon, D.S.; Lee, J.K. Formation of wrinkled silica mesostructures based on the phase behavior of pseudoternary systems. Langmuir 2014, 30, 15574–15580. [Google Scholar] [CrossRef] [PubMed]
- Deng, Y.; Li, J.H.; Nian, H.G.; Li, Y.L.; Yin, X.P. Design and preparation of shape-stabilized composite phase change material with high thermal reliability via encapsulating polyethylene glycol into flower-like TiO2, nanostructure for thermal energy storage. Appl. Therm. Eng. 2017, 114, 328–336. [Google Scholar] [CrossRef]
- Abu-Zied, B.M.; Hussein, M.A.; Asiri, A.M. Characterization, in situ electrical conductivity and thermal behavior of immobilized PEG on MCM-41. Int. J. Electrochem. Sci. 2015, 10, 4873–4887. [Google Scholar]
- Golestaneh, S.I.; Mosallanejad, A.; Karimi, G.; Khorram, M.; Khashi, M. Fabrication and characterization of phase change material composite fibers with wide phase-transition temperature range by co-electrospinning method. Appl. Energy 2016, 182, 409–417. [Google Scholar] [CrossRef]
- Malach, T.J. Phase Change Formulation. U.S. Patent 6,482,332, 19 November 2002. [Google Scholar]
- Sarı, A.; Karaipekli, A. Preparation, thermal properties and thermal reliability of capric acid/expanded perlite composite for thermal energy storage. Mater. Chem. Phys. 2008, 109, 459–464. [Google Scholar] [CrossRef]
- Ke, H.Z.; Li, D.W.; Zhang, H.D.; Wang, X.L.; Cai, Y.B.; Huang, F.L.; Wei, Q.F. Electrospun form-stable phase change composite nanofibers consisting of capric acid-based binary fatty acid eutectics and polyethylene terephthalate. FIB Polym. 2013, 14, 89–99. [Google Scholar] [CrossRef]
- Wang, C.L.; Yeh, K.L.; Chen, C.W.; Lee, Y.; Lee, H.-L.; Lee, T. A quick-fix design of phase change material by particle blending and spherical agglomeration. Appl. Energy 2017, 191, 239–250. [Google Scholar] [CrossRef]
- Cai, Y.B.; Ke, H.Z.; Lin, L.; Fei, X.Z.; Wei, Q.F.; Song, L.; Hu, Y.; Fong, H. Preparation, morphology and thermal properties of electrospun fatty acid eutectics/polyethylene terephthalate form-stable phase change ultrafine composite fibers for thermal energy storage. Energy Convers. Manag. 2012, 64, 245–255. [Google Scholar] [CrossRef]
- Qian, T.T.; Li, J.H.; Ma, H.W.; Yang, J. The preparation of a green shape-stabilized composite phase change material of polyethylene glycol/SiO2, with enhanced thermal performance based on oil shale ash via temperature-assisted sol–gel method. Sol. Energy Mater. Sol. Cells 2015, 132, 29–39. [Google Scholar] [CrossRef]
- Zhao, Y.J.; Min, X.; Huang, Z.H.; Fang, M.H. Honeycomb-like structured biological porous carbon encapsulating PEG: A shape-stable phase change material with enhanced thermal conductivity for thermal energy storage. Energy Build. 2017, 158, 1049–1062. [Google Scholar] [CrossRef]
- Pan, L.; Tao, Q.H.; Zhang, S.D.; Wang, S.S.; Zhang, J.; Wang, S.H.; Wang, Z.Y.; Zhang, Z.P. Preparation, characterization and thermal properties of micro-encapsulated phase change materials. Sol. Energy Mater. Sol. Cells 2012, 98, 66–70. [Google Scholar] [CrossRef]










| Samples | PEG Content | Melting | Crystallization | ||||
|---|---|---|---|---|---|---|---|
| Tmp (°C ) | Tm (°C ) | Hm (J/g) | Tcp (°C ) | Tc (°C ) | Hc (J/g) | ||
| PEG | 100% | 63.1 | 53.8 | 202.1 | 35.7 | 42.6 | 186.4 |
| PEG/NFMS | 60% | 59.1 | 51.1 | 84.7 | 34.5 | 41.5 | 80.2 |
| PEG/NFMS | 70% | 60.0 | 49.8 | 97.0 | 31.4 | 39.4 | 96.1 |
| PEG/NFMS | 80% | 60.9 | 50.8 | 136.8 | 35.2 | 41.0 | 132.8 |
| PCMs | PEG | Melting | Crystallization | Reference | ||
|---|---|---|---|---|---|---|
| Content | Tm (°C) | Hm (J/g) | Tc (°C) | Hc (J/g) | ||
| PEG/NFMS | 80% | 50.80 | 136.60 | 41.00 | 132.60 | Present study |
| SA/TAMSN | 70% | 71.50 | 108.80 | 64.00 | 114.10 | Chen et al. [1] |
| PEG/RMS | 80% | 57.22 | 129.60 | 39.02 | 118.30 | Min et al. [7] |
| PEG6000/CNIC | 60% | 43.80 | 45.80 | 12.00 | 42.70 | Feng et al. [9] |
| PEG/AC | 80% | 49.00 | 81.30 | 27.80 | 72.80 | Feng et al. [11] |
| PEG/SiO2 | 79.3% | 58.09 | 151.80 | 42.34 | 141.00 | Qian et al. [28] |
| c-PCMP4 | 85.36% | 56.50 | 159.70 | 37.90 | 155.60 | Zhao et al. [29] |
© 2018 by the authors. Licensee MDPI, Basel, Switzerland. This article is an open access article distributed under the terms and conditions of the Creative Commons Attribution (CC BY) license (http://creativecommons.org/licenses/by/4.0/).
Share and Cite
Gao, J.; Tao, W.; Chen, D.; Guo, X.; Chen, Y.; Jiang, Y. High Performance Shape-Stabilized Phase Change Material with Nanoflower-Like Wrinkled Mesoporous Silica Encapsulating Polyethylene Glycol: Preparation and Thermal Properties. Nanomaterials 2018, 8, 385. https://doi.org/10.3390/nano8060385
Gao J, Tao W, Chen D, Guo X, Chen Y, Jiang Y. High Performance Shape-Stabilized Phase Change Material with Nanoflower-Like Wrinkled Mesoporous Silica Encapsulating Polyethylene Glycol: Preparation and Thermal Properties. Nanomaterials. 2018; 8(6):385. https://doi.org/10.3390/nano8060385
Chicago/Turabian StyleGao, Junkai, Wenwen Tao, Dian Chen, Xiuwang Guo, Yan Chen, and Yanjun Jiang. 2018. "High Performance Shape-Stabilized Phase Change Material with Nanoflower-Like Wrinkled Mesoporous Silica Encapsulating Polyethylene Glycol: Preparation and Thermal Properties" Nanomaterials 8, no. 6: 385. https://doi.org/10.3390/nano8060385
APA StyleGao, J., Tao, W., Chen, D., Guo, X., Chen, Y., & Jiang, Y. (2018). High Performance Shape-Stabilized Phase Change Material with Nanoflower-Like Wrinkled Mesoporous Silica Encapsulating Polyethylene Glycol: Preparation and Thermal Properties. Nanomaterials, 8(6), 385. https://doi.org/10.3390/nano8060385
