An Investigation of Influencing Factors on Practical Sub-Diffraction-Limit Focusing of Planar Super-Oscillation Lenses
Abstract
1. Introduction
2. Design and Experimental Preparations
3. Results and Discussions
3.1. Characterization of Focusing Properties
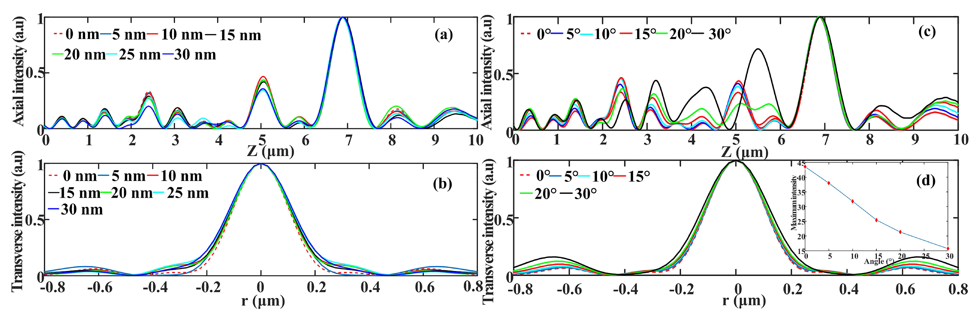
3.2. Fabrication Imperfections
3.3. Size Effect
4. Conclusions and Outlook
Acknowledgments
Author Contributions
Conflicts of Interest
References
- Huang, K.; Ye, H.; Teng, J.; Yeo, S.P.; Yanchuk, B.L.; Qiu, C.W. Optimization-free superoscillatory lens using phase and amplitude masks. Laser Photonics Rev. 2014, 8, 1–6. [Google Scholar] [CrossRef]
- Berthelot, J.; Aćimović, S.S.; Juan, M.L.; Kreuzer, M.P.; Renger, J.; Quidant, R. Three-dimensional manipulation with scanning near-field optical nanotweezers. Nat. Nanotechnol. 2014, 9, 295–299. [Google Scholar] [CrossRef] [PubMed]
- Beizig, E.; Trautman, J.K.; Harris, T.D.; Weiner, J.S.; Kostelak, R.L. Breaking the diffraction barrier: Optical microscopy on a nanometric scale. Science 1991, 251, 1468–1470. [Google Scholar] [CrossRef]
- Liu, Z.; Lee, H.; Xiong, Y.; Sun, C.; Zhang, X. Far-field optical hyperlens magnifying sub-diffraction-limited objects. Science 2007, 315, 1686. [Google Scholar] [CrossRef] [PubMed]
- Zhu, Y.C.; Yuan, W.Z.; Sun, H.; Yu, Y.T. Broadband ultra-deep sub-diffraction-limit optical focusing by metallic graded-index (MGRIN) lenses. Nanomaterials 2017, 7, 221. [Google Scholar] [CrossRef] [PubMed]
- Liu, Z.; Steele, J.M.; Srituravanich, W.; Pikus, Y.; Sun, C.; Zhang, X. Focusing surface plasmons with a plasmonic lens. Nano Lett. 2005, 5, 1726–1729. [Google Scholar] [CrossRef] [PubMed]
- Fernandez-Dominguez, A.I.; Liu, Z.; Pendry, J.B. Coherent four-fold super-resolution imaging with composite photonic-plasmonic structured illumination. ACS Photonics 2015, 2, 341–348. [Google Scholar] [CrossRef]
- Chen, J.; Badioli, M.; Gonzalez, P.A.; Thongrattabasiri, S.; Huth, F.; Osmond, J.; Spasenovic, M.; Centeno, A.; Pesquera, A.; Godignon, P.; et al. Optical nano-imaging of gate-tunable graphene plasmons. Nature 2012, 487, 77–81. [Google Scholar] [CrossRef] [PubMed]
- Liu, H.; Wang, B.; Ke, L.; Deng, J.; Chum, C.C.; Teo, S.L.; Shen, L.; Maier, S.A.; Teng, J. High aspect subdiffraction-limit photolithography via a silver superlens. Nano Lett. 2012, 12, 1549–1554. [Google Scholar] [CrossRef] [PubMed]
- Zhu, Y.; Yuan, W.; Li, W.; Sun, H.; Qi, K.; Yu, Y. TE-polarized design for metallic slit lenses: A way to deep-subwavelength focusing over a broad wavelength range. Opt. Lett. 2018, 43, 206–209. [Google Scholar] [CrossRef] [PubMed]
- Sun, H.; Zhu, Y.; Gao, B.; Wang, P.; Yu, Y. Polarization-dependent quasi-far-field superfocusing strategy of nanoring-based plasmonic lenses. Nanosc. Res Lett. 2017, 12, 386. [Google Scholar] [CrossRef] [PubMed][Green Version]
- Srituravanich, W.; Pan, L.; Wang, Y.; Sun, C.; Bogy, D.B.; Zhang, X. Flying plasmonic lens in the near field for high-speed nanolithography. Nat. Nanotechnol. 2008, 3, 733–737. [Google Scholar] [CrossRef] [PubMed]
- Huang, F.M.; Zheludev, N.I. Super-resolution without evanescent waves. Nano Lett. 2009, 9, 1249–1254. [Google Scholar] [CrossRef] [PubMed]
- Tang, D.; Wang, C.; Zhao, Z.; Wang, Y.; Pu, M.; Li, X.; Gao, P.; Luo, X. Ultrabroadband superoscillatory lens composed by plasmonic metasurfaces for subdiffraction light focusing. Laser Photonics Rev. 2015, 9, 713–719. [Google Scholar] [CrossRef]
- Yuan, G.H.; Vezzoli, S.; Altuzarra, C.; Rogers, E.T.F.; Couteau, C.; Soci, C.; Zheludev, N.I. Quantum super-oscillation of a single photon. Light Sci. Appl. 2016, 5, e16127. [Google Scholar] [CrossRef]
- Liu, T.; Yang, S.; Jiang, Z. Electromagnetic exploration of far-field super-focusing nanostructured metasurfaces. Opt. Express 2016, 24, 16297–16308. [Google Scholar] [CrossRef] [PubMed]
- Rogers, E.T.F.; Lindberg, J.; Roy, T.; Savo, S.; Chad, J.E.; Dennis, M.R.; Zheludev, N.I. A super-oscillatory lens optical microscope for subwavelength imaging. Nat. Mater. 2012, 11, 432–435. [Google Scholar] [CrossRef] [PubMed]
- Wong, A.M.; Eleftheriades, G.V. An optical super-microscope for far-field, real-time imaging beyond the diffraction limit. Sci. Rep. 2013, 3, 1715. [Google Scholar] [CrossRef] [PubMed]
- Remez, R.; Tsur, Y.; Lu, P.-H.; Tavabi, A.H.; Dunin-Borkowski, R.E.; Arie, A. Superoscillating electron wave functions with subdiffraction spots. Phys Rev. A 2017, 95, 031802. [Google Scholar] [CrossRef]
- Wang, Q.; Maddock, J.; Rogers, E.T.F.; Roy, T.; Craig, C.; Macdonald, K.F.; Hewak, D.W.; Zheludev, N.I. 1.7 Gbit/in.2 gray-scale continuous-phase-change femtosecond image storage. Appl. Phys. Lett. 2014, 104, 121105. [Google Scholar] [CrossRef]
- Yuan, G.; Rogers, E.T.F.; Roy, T.; Adamo, G.; Shen, Z.; Zheludev, N.I. Planar super-oscillatory lens for sub-diffraction optical needles at violet wavelengths. Sci. Rep. 2014, 4, 06333. [Google Scholar] [CrossRef] [PubMed]
- Rogers, E.T.F.; Zheludev, N.I. Optical super-oscillations: Sub-wavelength light focusing and super-resolution imaging. J. Opt. 2013, 15, 094008. [Google Scholar] [CrossRef]
- Qin, F.; Huang, K.; Wu, J.; Jiao, J.; Luo, X.; Qiu, C.; Hong, M. Shaping a subwavelength needle with ultra-long focal length by focusing azimuthally polarized light. Sci. Rep. 2015, 5, 09977. [Google Scholar] [CrossRef] [PubMed]
- Yuan, G.H.; Rogers, E.T.F.; Roy, T.; Du, L.; Shen, Z.; Zheludev, N.I. Plasmonic Super-Oscillations and Sub-Diffraction Focusing. In Proceedings of the Conference on Lasers and Electro-Optics (CLEO), San Jose, CA, USA, 8–13 June 2014. [Google Scholar]
- Yu, A.; Chen, G.; Zhang, Z.; Wen, Z.; Dai, L.; Zhang, K.; Jiang, S.; Wu, Z.; Li, Y.; Wang, C.; et al. Creation of Sub-diffraction Longitudinally Polarized Spot by Focusing Radially Polarized Light with Binary Phase Lens. Sci. Rep. 2016, 6, 38859. [Google Scholar] [CrossRef] [PubMed]
- Chen, G.; Li, Y.; Wang, X.; Wen, Z.; Lin, F.; Dai, L.; Chen, L.; He, Y.; Liu, S. Super-Oscillation Far-Field Focusing Lens Based on Ultra-Thin Width-Varied Metallic Slit Array. IEEE Photonics Technol. Lett. 2016, 28, 335–338. [Google Scholar] [CrossRef]
- Chen, G.; Li, Y.; Yu, A.; Wen, Z.; Dai, L.; Chen, Li.; Zhang, Z.; Jiang, S.; Zhang, K.; Wang, X.; Lin, F. Super-oscillatory focusing of circularly polarized light by ultra-long focal length planar lens based on binary amplitude-phase modulation. Sci. Rep. 2016, 6, 29068. [Google Scholar] [CrossRef] [PubMed]
- Yuan, G.H.; Rogers, E.T.F.; Zheludev, N.I. Achromatic super-oscillatory lenses with sub-wavelength focusing. Light Sci. Appl. 2017, 6, e17036. [Google Scholar] [CrossRef]
- Wu, J.; Wu, Z.; He, Y.; Yu, A.; Zhang, Z.; Wen, Z.; Chen, G. Creating a nondiffracting beam with sub-diffraction size by a phase spatial light modulator. Opt. Express 2017, 25, 6274–6282. [Google Scholar] [CrossRef] [PubMed]
- Li, G.; Zhang, J. Ultra-broadband and efficient surface plasmon polariton launching through metallic nanoslits of subwavelength period. Sci. Rep. 2014, 4, 05914. [Google Scholar] [CrossRef] [PubMed]
- Lindquist, N.C.; Nagpal, P.; Lesuffleur, A.; Norris, D.J.; Sang-Hyun, O. Three-dimensional plasmonic nanofocusing. Nano Lett. 2010, 10, 1369–1373. [Google Scholar] [CrossRef] [PubMed]
- Fleischman, D.; Sweatlock, L.A.; Murakami, H.; Atwarer, H. Hyper-selective plasmonic color filters. Opt. Express 2017, 25, 27386–27395. [Google Scholar] [CrossRef] [PubMed]
- Søndergaard, T.; Bozhevolnyi, S.I.; Novikov, S.M.; Beermann, J.; Devaux, E.; Ebbesen, T.W. Extraordinary optical transmission enhanced by nanofocusing. Nano. Lett. 2010, 10, 3123–3128. [Google Scholar] [CrossRef] [PubMed]
- Liu, Y.; Fu, Y.; Zhou, X. Influence of V-shaped metallic subwavelength slits with variant periods for superfocusing. Plasmonics 2010, 5, 79–83. [Google Scholar] [CrossRef]
- Diao, J.S.; Yuan, W.Z.; Yu, Y.T.; Zhu, Y.C.; Wu, Y. Controllable design of super-oscillatory planar lenses for sub-diffraction-limit optical needles. Opt. Express 2016, 24, 1924–1933. [Google Scholar] [CrossRef] [PubMed]
- Li, M.Y.; Li, W.L.; Li, H.Y.; Zhu, Y.C.; Yu, Y.T. Controllable design of super-oscillatory lenses with multiple sub-diffraction-limit foci. Sci. Rep. 2017, 7, 01335. [Google Scholar] [CrossRef] [PubMed]
- Yu, Y.T.; Zappe, H. Effect of lens size on the focusing performance of plasmonic lenses and suggestions for the design. Opt. Express 2011, 19, 9434–9444. [Google Scholar] [CrossRef] [PubMed]
- Zhu, Y.C.; Yuan, W.Z.; Yu, Y.T.; Wang, P. Robustly efficient superfocusing of immersion plasmonic lenses based on coupled nanoslits. Plasmonics 2016, 11, 1543–1548. [Google Scholar] [CrossRef]
- Palik, E.D. Handbook of Optical Constants of Solid; Academic Press: San Diego, CA, USA, 1998; pp. 168–268. ISBN 0-12-544424-9. [Google Scholar]
- Lin, L.; Goh, X.M.; McGuinness, L.P.; Roberts, A. Plasmonic lenses formed by two-dimensional nanometric cross-shaped aperture arrays for Fresnel-region focusing. Nano Lett. 2010, 10, 1936–1940. [Google Scholar] [CrossRef] [PubMed]
- Khorasaninejad, M.; Chen, W.T.; Devlin, R.C.; Oh, J.; Zhu, A.Y.; Capasso, F. Metalenses at visible wavelengths: Diffraction-limited focusing and subwavelength resolution imaging. Science 2016, 352, 1190–1194. [Google Scholar] [CrossRef] [PubMed]
- Wang, P.; Yu, X.; Zhu, Y.; Yu, Y.; Yuan, W. Batch fabrication of broadband metallic planar microlenses and their arrays combining nanosphere self-assembly with conventional photolithography. Nanosc. Res Lett. 2017, 12, 388. [Google Scholar] [CrossRef] [PubMed]











| SOL | R (μm) | f (μm) | Calculated Rayleigh Diffraction Limit | Transmittance Function ti |
|---|---|---|---|---|
| #1 | 10 | 4 | 0.44λ | 04FF2 90754 FDFA2 FD503 B198C |
| #2 | 10 | 7 | 0.49λ | FFFD 41351 22B24 BDA80 E89663 |
| #3 | 10 | 10 | 0.57λ | CE4CE EB177 5217C 14904 8478E |
| SOL | f (μm) | FWHM | ||||
|---|---|---|---|---|---|---|
| VAS | FDTD | EXP | VAS | FDTD | EXP | |
| #1 | 4.00 | 3.92 | 4.21 | 0.33λ | 0.34λ | 0.33λ |
| #2 | 7.00 | 6.90 | 6.80 | 0.40λ | 0.40λ | 0.39λ |
| #3 | 9.97 | 9.76 | 10.12 | 0.42λ | 0.43λ | 0.47λ |
| SOL | f (μm) | FWHM | ||||
|---|---|---|---|---|---|---|
| λ (nm) | 532 | 640 a | 730 | 532 | 640 a | 730 |
| #1 | 5.06 | 4.21 | 3.28 | 0.32λ | 0.33λ | 0.41λ |
| #2 | 9.28 | 6.80 | 5.46 | 0.34λ | 0.39λ | 0.49λ |
| #3 | 12.50 | 10.12 | 7.80 | 0.40λ | 0.47λ | 0.55λ |
| SOL | f (μm) | FWHM | ||
|---|---|---|---|---|
| FDTD | EXP | FDTD | EXP | |
| R = 10 μm | 6.90 | 6.80 | 0.38λ | 0.39λ |
| R = 8 μm | 6.88 | 7.34 | 0.44λ | 0.51λ |
| R = 6 μm | 6.72 | 6.54 | 0.55λ | 0.56λ |
© 2018 by the authors. Licensee MDPI, Basel, Switzerland. This article is an open access article distributed under the terms and conditions of the Creative Commons Attribution (CC BY) license (http://creativecommons.org/licenses/by/4.0/).
Share and Cite
Yu, Y.; Li, W.; Li, H.; Li, M.; Yuan, W. An Investigation of Influencing Factors on Practical Sub-Diffraction-Limit Focusing of Planar Super-Oscillation Lenses. Nanomaterials 2018, 8, 185. https://doi.org/10.3390/nano8040185
Yu Y, Li W, Li H, Li M, Yuan W. An Investigation of Influencing Factors on Practical Sub-Diffraction-Limit Focusing of Planar Super-Oscillation Lenses. Nanomaterials. 2018; 8(4):185. https://doi.org/10.3390/nano8040185
Chicago/Turabian StyleYu, Yiting, Wenli Li, Haoyong Li, Muyuan Li, and Weizheng Yuan. 2018. "An Investigation of Influencing Factors on Practical Sub-Diffraction-Limit Focusing of Planar Super-Oscillation Lenses" Nanomaterials 8, no. 4: 185. https://doi.org/10.3390/nano8040185
APA StyleYu, Y., Li, W., Li, H., Li, M., & Yuan, W. (2018). An Investigation of Influencing Factors on Practical Sub-Diffraction-Limit Focusing of Planar Super-Oscillation Lenses. Nanomaterials, 8(4), 185. https://doi.org/10.3390/nano8040185
