Surface Decoration of ZnWO4 Nanorods with Cu2O Nanoparticles to Build Heterostructure with Enhanced Photocatalysis
Abstract
:1. Introduction
2. Experimental
2.1. Synthesis of Photocatalysts
2.2. Characterization
2.3. Photocurrent and Electrochemical Impedance Spectra Measurements
2.4. Photocatalytic Activity
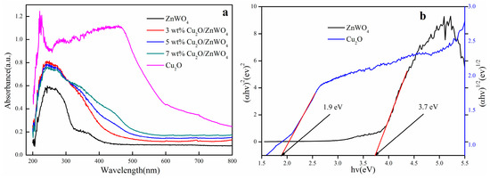
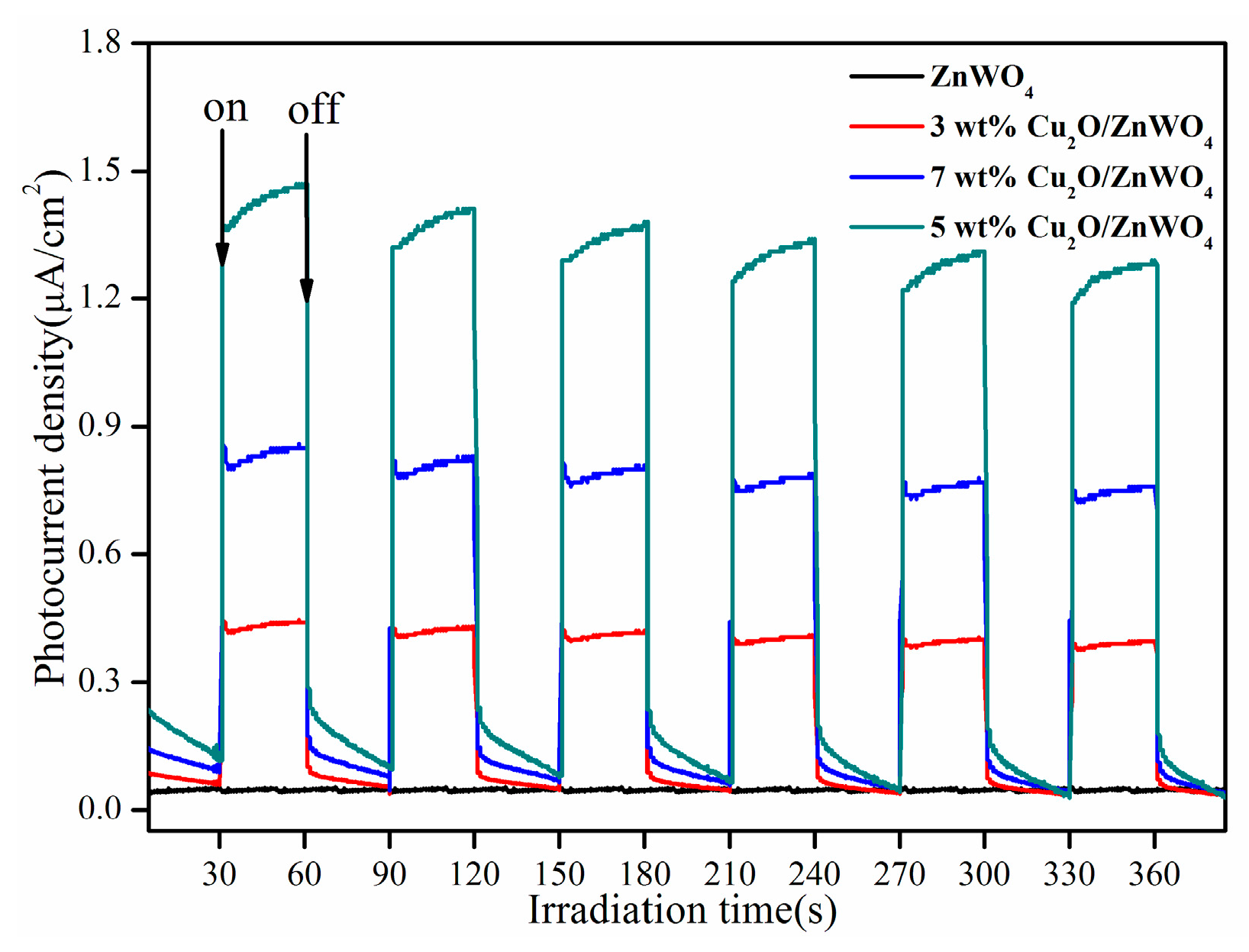
3. Results and Discussion
4. Conclusions
Acknowledgments
Author Contributions
Conflicts of Interest
References
- Patnaik, S.; Martha, S.; Parida, K.M. An overview of the structural, textural and morphological modulations of g-C3N4 towards photocatalytic hydrogen production. RSC Adv. 2016, 6, 46929–46951. [Google Scholar] [CrossRef]
- Feng, K.L.; Huang, S.Q.; Lou, Z.Y.; Zhu, N.W.; Yuan, H.P. Enhanced photocatalytic activities of the heterostructured upconversion photocatalysts with cotton mediated on TiO2/ZnWO4:Yb3+, Tm3+. Dalton Trans. 2015, 44, 13681–13687. [Google Scholar] [CrossRef] [PubMed]
- Lin, J.; Lin, J.; Zhu, Y.F. Controlled Synthesis of the ZnWO4 Nanostructure and Effects on the Photocatalytic Performance. Inorg. Chem. 2007, 46, 8372–8378. [Google Scholar] [CrossRef] [PubMed]
- Sun, L.M.; Zhao, X.; Cheng, X.F.; Sun, H.G.; Li, Y.L.; Li, P.; Fan, W.L. Evaluating the C, N, and F Pairwise Codoping Effect on the Enhanced Photoactivity of ZnWO4: The Charge Compensation Mechanism in Donor Acceptor Pairs. J. Phys. Chem. C 2011, 115, 15516–15524. [Google Scholar] [CrossRef]
- Yu, C.L.; Yu, J.C. Sonochemical fabrication, characterization and photocatalytic properties of Ag/ZnWO4 nanorod catalyst. Mater. Sci. Eng. B 2009, 164, 16–22. [Google Scholar] [CrossRef]
- Song, X.C.; Zheng, Y.F.; Yang, E.; Liu, G.; Zhang, Y.; Chen, H.F.; Zhang, Y.Y. Photocatalytic activities of Cd-doped ZnWO4 nanorods prepared by a hydrothermal process. J. Hazard. Mater. 2010, 179, 1122–1127. [Google Scholar] [CrossRef] [PubMed]
- Huang, G.L.; Zhu, Y.F. Enhanced Photocatalytic Activity of ZnWO4 Catalyst via Fluorine Doping. J. Phys. Chem. C 2007, 111, 11952–11958. [Google Scholar] [CrossRef]
- Huang, G.L.; Zhang, S.C.; Xu, T.G.; Zhu, Y.F. Fluorination of ZnWO4 Photocatalyst and Influence on the Degradation Mechanism for 4-Chlorophenol. Environ. Sci. Technol. 2008, 42, 8516–8521. [Google Scholar] [CrossRef] [PubMed]
- Chen, S.H.; Sun, S.X.; Sun, H.G.; Fan, W.L.; Zhao, X.; Sun, X. Experimental and Theoretical Studies on the Enhanced Photocatalytic Activity of ZnWO4 Nanorods by Fluorine Doping. J. Phys. Chem. C 2010, 114, 7680–7688. [Google Scholar] [CrossRef]
- Huang, G.L.; Zhu, Y.F. Synthesis and photoactivity enhancement of ZnWO4 photocatalysts doped with chlorine. CrystEngComm 2012, 14, 8076–8082. [Google Scholar] [CrossRef]
- He, D.Q.; Wang, L.L.; Xu, D.D.; Zhai, J.L.; Wang, D.J.; Xie, T.F. Investigation of Photocatalytic Activities over Bi2WO6/ZnWO4 Composite under UV Light and Its Photoinduced Charge Transfer Properties. ACS Appl. Mater. Interfaces 2011, 3, 3167–3171. [Google Scholar] [CrossRef] [PubMed]
- Li, P.; Zhao, X.; Jia, C.J.; Sun, H.G.; Sun, L.M.; Cheng, X.F.; Liu, L.; Fan, W.L. ZnWO4/BiOI heterostructures with highly efficient visible light photocatalytic activity: the case of interface lattice and energy level match. J. Mater. Chem. A 2013, 1, 3421–3429. [Google Scholar] [CrossRef]
- Song, X.C.; Li, W.T.; Huang, W.Z.; Zhou, H.; Zheng, Y.F.; Yin, H.Y. A novel pen heterojunction BiOBr/ZnWO4: Preparation and its improved visible light photocatalytic activity. Mater. Chem. Phys. 2015, 160, 251–256. [Google Scholar] [CrossRef]
- Sun, L.M.; Zhao, X.; Jia, C.J.; Zhou, Y.X.; Cheng, X.F.; Li, P.; Liu, L.; Fan, W.L. Enhanced visible-light photocatalytic activity of g-C3N4-ZnWO4 by fabricating a heterojunction: investigation based on experimental and theoretical studies. J. Mater. Chem. 2012, 22, 23428–23438. [Google Scholar] [CrossRef]
- Wang, Y.J.; Wang, Z.X.; Muhammad, S.; He, J. Graphite-like C3N4 hybridized ZnWO4 nanorods: Synthesis and its enhanced photocatalysis in visible light. CrystEngComm 2012, 14, 5065–5070. [Google Scholar] [CrossRef]
- Bai, X.J.; Wang, L.; Zhu, Y.F. Visible Photocatalytic Activity Enhancement of ZnWO4 by Graphene Hybridization. ACS Catal. 2012, 2, 2769–2778. [Google Scholar] [CrossRef]
- Ke, J.; Niu, C.G.; Zhang, J.; Zeng, G.M. Significantly enhanced visible light photocatalytic activity and surfaceplasmon resonance mechanism of Ag/AgCl/ZnWO4 composite. J. Mol. Catal. A Chem. 2014, 395, 276–282. [Google Scholar] [CrossRef]
- Li, K.B.; Xue, J.; Zhang, Y.H.; Wei, H.; Liu, Y.L.; Dong, C.X. ZnWO4 nanorods decorated with Ag/AgBr nanoparticles as highlyefficient visible-light-responsive photocatalyst for dye AR18 photodegradation. Appl. Surf. Sci. 2014, 320, 1–9. [Google Scholar] [CrossRef]
- Zhang, Z.H.; Du, R.; Zhang, L.B.; Zhu, H.B.; Zhang, H.N.; Wang, P. Carbon-Layer-Protected Cuprous Oxide Nanowire Arrays for Efficient Water Reduction. ACS Nano 2013, 7, 1709–1717. [Google Scholar] [CrossRef] [PubMed]
- Wang, M.Y.; Sun, L.; Lin, Z.Q.; Cai, J.H.; Xie, K.P.; Lin, C.J. P-N heterojunction photoelectrodes composed of Cu2O-loaded TiO2 nanotube arrays with enhanced photoelectrochemical and photoelectrocatalytic activities. Energy Environ. Sci. 2013, 6, 1211–1220. [Google Scholar] [CrossRef]
- Wang, W.Z.; Huang, X.W.; Wu, S.; Zhou, Y.X.; Wang, L.J.; Shi, H.L.; Liang, Y.J.; Zou, B. Preparation of p-n junction Cu2O/BiVO4 heterogeneous nanostructures withenhanced visible-light photocatalytic activity. Appl. Catal. B 2013, 134–135, 293–301. [Google Scholar] [CrossRef]
- Cui, W.Q.; An, W.J.; Liu, L.; Hu, J.S.; Liang, Y.H. Novel Cu2O quantum dots coupled flower-like BiOBr for enhanced photocatalytic degradation of organic contaminant. J. Hazard. Mater. 2014, 280, 417–427. [Google Scholar] [CrossRef] [PubMed]
- Zhang, Z.L.; Che, H.W.; Wang, Y.L.; Gao, J.J.; Zhao, L.R.; She, X.L.; Sun, J.; Poernomo, G.W.; Zhong, Z.Y.; Su, F.B. Facile Synthesis of Mesoporous Cu2O Microspheres with Improved Catalytic Property for Dimethyldichlorosilane Synthesis. Ind. Eng. Chem. Res. 2012, 51, 1264–1274. [Google Scholar] [CrossRef]
- Liu, L.C.; Gu, X.R.; Sun, C.Z.; Li, H.; Deng, Y.; Gao, F.; Dong, L. In situ loading of ultra-small Cu2O particles on TiO2 nanosheets to enhance the visible-light photoactivity. Nanoscale 2012, 4, 6351–6359. [Google Scholar] [CrossRef] [PubMed]
- Song, S.Q.; Rao, R.C.; Yang, H.X.; Zhang, A.M. Cu2O/MWCNTs Prepared by Spontaneous Redox: Growth Mechanism and Superior Catalytic Activity. J. Phys. Chem. C 2010, 114, 13998–14003. [Google Scholar] [CrossRef]
- Yu, S.H.; Liu, B.; Mo, M.S.; Huang, J.H.; Liu, X.M.; Qian, Y.T. General synthesis of single-crystal tungstate nanorods/nanowires: A facile, low-temperature solution approach. Adv. Funct. Mater. 2003, 13, 639–647. [Google Scholar] [CrossRef]
- Hojamberdieva, M.; Katsumata, K.; Morita, K.; Bilmes, S.A.; Matsushita, N.; Okada, K. One-step hydrothermal synthesis and photocatalytic performance of ZnWO4/Bi2WO6 composite photocatalysts for efficient degradation of acetaldehyde under UV light irradiation. Appl. Catal. A Gen. 2013, 457, 12–20. [Google Scholar] [CrossRef]
- Chen, Z.H.; Bing, F.; Liu, Q.; Zhang, Z.G.; Fang, X.M. Novel Z-scheme visible-light-driven Ag3PO4/Ag/SiC photocatalysts with enhanced photocatalytic activity. J. Mater. Chem. A 2015, 3, 4652–4658. [Google Scholar] [CrossRef]
- Khyzhuna, O.Y.; Bekeneva, V.L.; Atuchinb, V.V.; Galashovc, E.N.; Shlegelc, V.N. Electronic properties of ZnWO4 based on ab initio FP-LAPW band-structure calculations and X-ray spectroscopy data. Mater. Chem. Phys. 2013, 140, 588–595. [Google Scholar] [CrossRef]
- Hu, J.S.; An, W.J.; Wang, H.; Geng, J.P.; Cui, W.Q.; Zhan, Y. Synthesis of a hierarchical BiOBr nanodots/Bi2WO6 p-n heterostructure with enhanced photoinduced electric and photocatalytic degradation performance. RSC Adv. 2016, 6, 29554–29562. [Google Scholar] [CrossRef]
- An, W.J.; Cui, W.Q.; Liang, Y.H.; Hu, J.S.; Liu, L. Surface decoration of BiPO4 with BiOBr nanoflakes to build heterostructure photocatalysts with enhanced photocatalytic activity. Appl. Surf. Sci. 2015, 351, 1131–1139. [Google Scholar] [CrossRef]
- Liu, L.; Ding, L.; Liu, Y.G.; An, W.J.; Lin, S.L.; Liang, Y.H.; Cui, W.Q. A stable Ag3PO4@PANI core@shell hybrid: Enrichment photocatalytic degradation with π-π conjugation. Appl. Catal. B 2017, 201, 92–104. [Google Scholar] [CrossRef]
- Chen, F.Y.; An, W.J.; Liu, L.; Liang, Y.H.; Cui, W.Q. Highly efficient removal of bisphenol A by a three-dimensional graphene hydrogel-AgBr@rGO exhibiting adsorption/photocatalysis synergy. Appl. Catal. B 2017, 217, 65–80. [Google Scholar] [CrossRef]
- Ai, Z.H.; Xiao, H.Y.; Mei, T.; Liu, J.; Zhang, L.Z.; Deng, K.J.; Qiu, J.R. Electro-fenton degradation of Rhodamine B based on a composite cathode of Cu2O nanocubes and carbon nanotubes. J. Phys. Chem. C 2008, 112, 11929–11935. [Google Scholar] [CrossRef]












© 2018 by the authors. Licensee MDPI, Basel, Switzerland. This article is an open access article distributed under the terms and conditions of the Creative Commons Attribution (CC BY) license (http://creativecommons.org/licenses/by/4.0/).
Share and Cite
Tian, L.; Rui, Y.; Sun, K.; Cui, W.; An, W. Surface Decoration of ZnWO4 Nanorods with Cu2O Nanoparticles to Build Heterostructure with Enhanced Photocatalysis. Nanomaterials 2018, 8, 33. https://doi.org/10.3390/nano8010033
Tian L, Rui Y, Sun K, Cui W, An W. Surface Decoration of ZnWO4 Nanorods with Cu2O Nanoparticles to Build Heterostructure with Enhanced Photocatalysis. Nanomaterials. 2018; 8(1):33. https://doi.org/10.3390/nano8010033
Chicago/Turabian StyleTian, Lingyu, Yulan Rui, Kelei Sun, Wenquan Cui, and Weijia An. 2018. "Surface Decoration of ZnWO4 Nanorods with Cu2O Nanoparticles to Build Heterostructure with Enhanced Photocatalysis" Nanomaterials 8, no. 1: 33. https://doi.org/10.3390/nano8010033
APA StyleTian, L., Rui, Y., Sun, K., Cui, W., & An, W. (2018). Surface Decoration of ZnWO4 Nanorods with Cu2O Nanoparticles to Build Heterostructure with Enhanced Photocatalysis. Nanomaterials, 8(1), 33. https://doi.org/10.3390/nano8010033

