Room-Temperature Pressure-Induced Optically-Actuated Fabry-Perot Nanomechanical Resonator with Multilayer Graphene Diaphragm in Air
Abstract
1. Introduction
2. Fabrication and Optical Interferometric Readout of the F-P Resonator
3. Experiment and Analysis
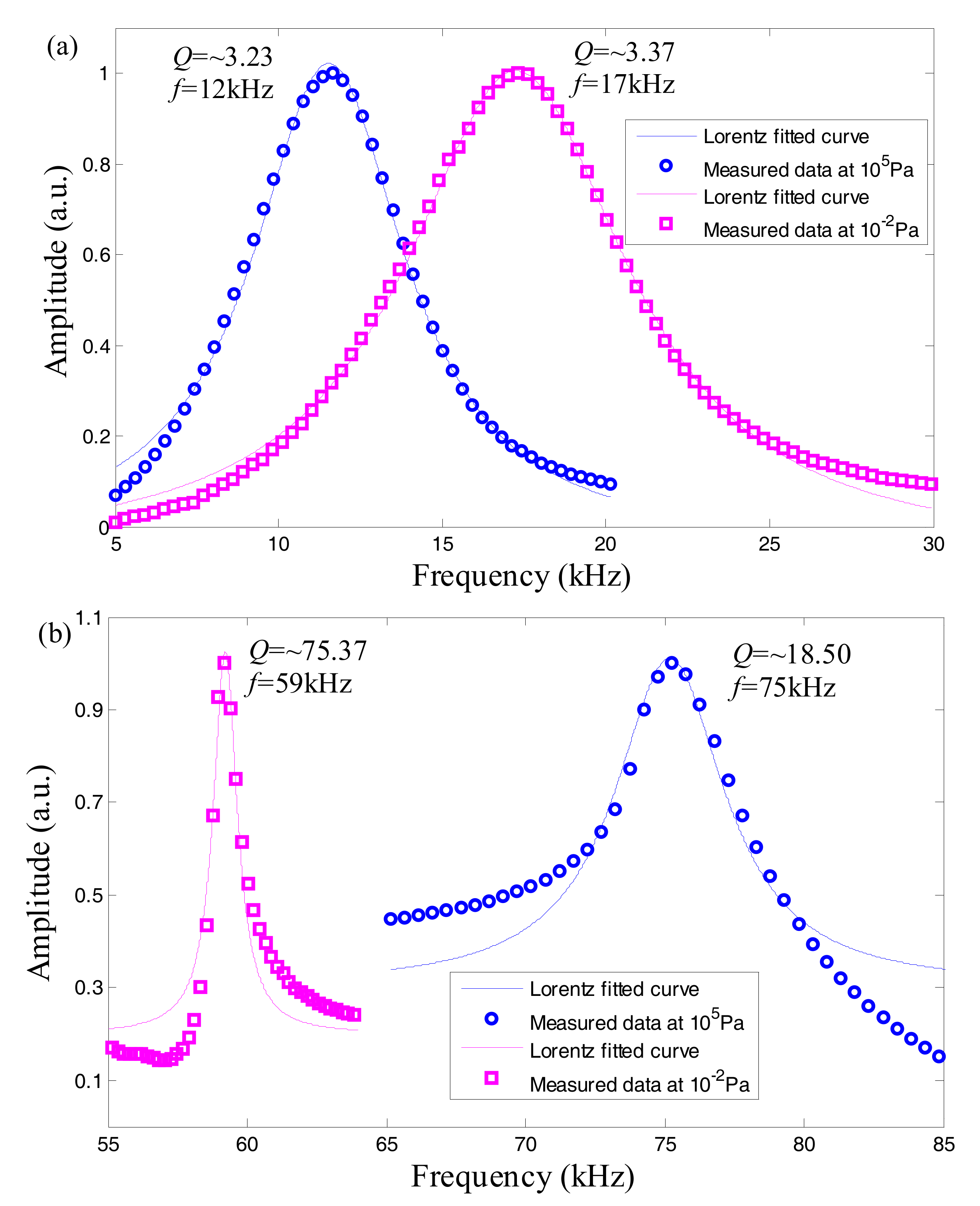
3.1. Effect of Membrane Stress on f and Q
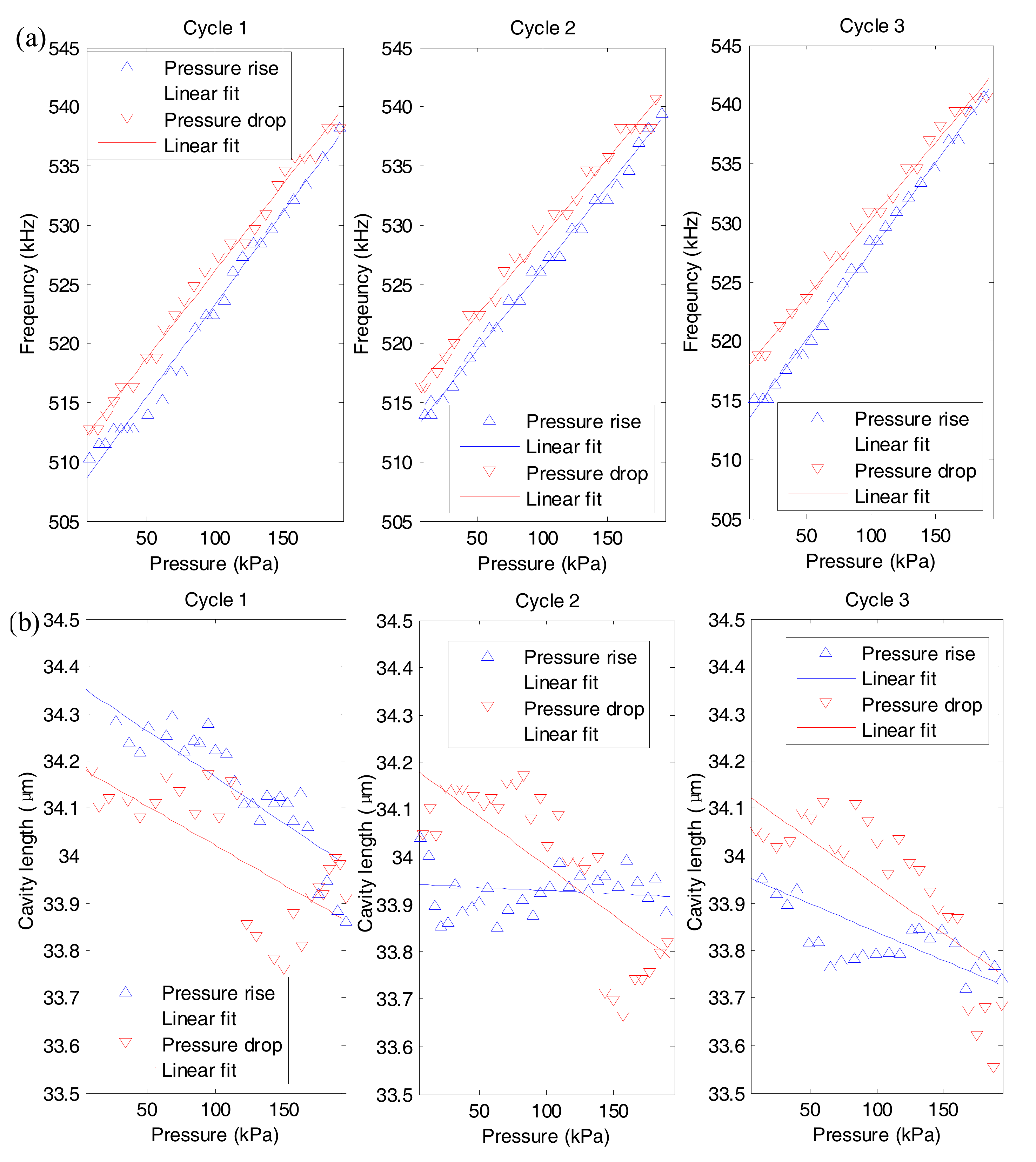
3.2. Pressure-Sensitive Resonance Responses in Air Damping
4. Conclusions
Acknowledgments
Author Contributions
Conflicts of Interest
References
- Craighead, H.G. Nanoelectromechanical systems. Science 2000, 290, 1532–1535. [Google Scholar] [CrossRef] [PubMed]
- Sage, E.; Brenac, A.; Alava, T.; Morel, R.; Dupre, C.; Hanay, M.S.; Roukes, M.L.; Duraffourg, L.; Masselon, C.; Hentz, S. Neutral particle mass spectrometry with nanomechanical systems. Nat. Commun. 2015, 6, 6482. [Google Scholar] [CrossRef] [PubMed]
- Lassagne, B.; Tarakanov, Y.; Kinaret, J.; Sanchez, D.G.; Bachtold, A. Coupling mechanics to charge transport in carbon nanotube mechanical resonators. Science 2009, 325, 1107–1110. [Google Scholar] [CrossRef] [PubMed]
- LaHaye, M.D.; Buu, O.; Camarota, B.; Schwab, K.C. Approaching the quantum limit of a nanomechanical resonator. Science 2004, 304, 74–77. [Google Scholar] [CrossRef] [PubMed]
- Doolin, C.; Kim, P.H.; Hauer, B.D.; MacDonald, A.J.R.; Davis, J.P. Multidimensional optomechanical cantilevers for high-frequency force sensing. New J. Phys. 2014, 16, 035001. [Google Scholar] [CrossRef]
- Cole, R.M.; Brawley, G.A.; Adiga, V.P.; Alba, R.D.; Parpia, J.M.; Ilic, B.; Craighead, H.G.; Bowen, W.P. Evanescent-field optical readout of graphene mechanical motion at room temperature. Phys. Rev. Appl. 2015, 3, 024004. [Google Scholar] [CrossRef]
- Andres, C.-G.; van Leeuwen, R.; Michele, B.; van der Zant Herre, S.J.; Gary, A.S.; Warner, J.V. Single-layer MoS2 mechanical resonators. Adv. Mater. 2013, 25, 6719–6723. [Google Scholar]
- Jiang, J.W.; Park, H.S.; Rabczuk, T. MoS2 nanoresonators: Intrinsically better than graphene? Nanoscale 2014, 6, 3618–3625. [Google Scholar] [CrossRef] [PubMed]
- Morell, N.; Reserbat-Plantey, A.; Tsioutsios, I.; Schädler, K.G.; Dubin, F.; Koppens, F.H.L.; Bachtold, A. High quality factor mechanical resonators based on WSe2 monolayers. Nano Lett. 2016, 16, 5102–5108. [Google Scholar] [CrossRef] [PubMed]
- Bunch, J.S.; van der Zande, A.M.; Verbridge, S.S.; Frank, I.W.; Tanenbaum, D.M.; Parpia, J.M.; Craighead, H.G.; McEuen, P.L. Electromechanical resonators from graphene sheets. Science 2007, 315, 490–493. [Google Scholar] [CrossRef] [PubMed]
- Chen, C.Y.; Rosenblatt, S.; Bolotin, K.I.; Kalb, W.; Kim, P.; Kymissis, I.; Stormer, H.L.; Heinz, T.F.; Hones, J. Performance of monolayer graphene nanomechanical resonators with electrical readout. Nat. Nanotechnol. 2009, 267, 861–867. [Google Scholar] [CrossRef] [PubMed]
- Van der Zande, A.M.; Barton, R.A.; Alden, J.S.; Ruiz-Vargas, C.S.; Whitney, W.S.; Pham, P.H.Q.; Park, J.; Parpia, J.M.; Craighead, H.G.; McEuen, P.L. Large-scale arrays of single-layer graphene resonators. Nano Lett. 2008, 10, 4869–4873. [Google Scholar] [CrossRef] [PubMed]
- Barton, R.A.; Ilic, B.; van der Zande, A.M.; Whitney, W.S.; McEuen, P.L.; Parpia, J.M.; Craighead, H.G. High, size-dependent quality factor in an array of graphene mechanical resonators. Nano Lett. 2011, 11, 1232–1236. [Google Scholar] [CrossRef] [PubMed]
- Barton, R.A.; Parpia, J.; Craighead, H.G. Fabrication and performance of graphene nanoelectromechanical systems. J. Vac. Sci. Technol. B Nanotechnol. Microelectron. Mater. Process. Meas. Phenom. 2011, 29, 050801. [Google Scholar] [CrossRef]
- Oshidari, Y.; Hatakeyama, T.; Kometani, R.; Warisawa, S.; Ishihara, S. High quality factor graphene resonator fabrication using resist shrinkage-induced strain. Appl. Phys. Express 2012, 5, 117201. [Google Scholar] [CrossRef]
- Singh, V.; Bosman, S.J.; Schneider, B.H.; Blanter, Y.M.; Castellanos-Gomez, A.; Steele, G.A. Optomechanical coupling between a multilayer graphene mechanical resonator and a superconducting microwave cavity. Nat. Nanotechnol. 2014, 9, 820–824. [Google Scholar] [CrossRef] [PubMed]
- Chen, C.Y.; Lee, S.; Deshpande, V.V.; Lee, G.-H.; Lekas, M.; Shepard, K.; Hone, J. Graphene mechanical oscillators with tunable frequency. Nat. Nanotechnol. 2013, 8, 923–927. [Google Scholar] [CrossRef] [PubMed]
- Ilic, B.R.; Krylov, S.; Kondratovich, M.; Craighead, H.G. Optically actuated nanoelectromechanical oscillators. IEEE J. Sel. Top. Quantum Electron. 2007, 13, 392–399. [Google Scholar] [CrossRef]
- Liu, C.H.; Kim, I.S.; Lauhon, L.J. Optical control of mechanical mode-coupling within a MoS2 resonator in the strong-coupling regime. Nano Lett. 2015, 15, 6727–6731. [Google Scholar] [CrossRef] [PubMed]
- She, Y.; Li, C.; Lan, T.; Peng, X.; Liu, Q.; Fan, S. The effect of viscous air damping on an optically actuated multilayer MoS2 nanomechanical resonator using Fabry-Perot interference. Nanomaterials 2016, 6, 162. [Google Scholar] [CrossRef] [PubMed]
- Ma, J.; Jin, W.; Xuan, H.F.; Wang, C.; Ho, H.L. Fiber-optic ferrule-top nanomechanical resonator with multilayer graphene film. Opt. Lett. 2014, 39, 4769–4772. [Google Scholar] [CrossRef] [PubMed]
- Dolleman, R.J.; Davidovikj, D.; Cartamil-Bueno, S.J.; van der Zant, H.S.J.; Steeneken, P.G. Graphene squeeze-film pressure sensors. Nano Lett. 2016, 16, 568–571. [Google Scholar] [CrossRef] [PubMed]
- Bhiladvala, R.B.; Wang, Z.J. Effect of fluids on the Q factor and resonance frequency of oscillating micrometer and nanometer scale beams. Phys. Rev. E Stat. Nonlinear Soft Matter Phys. 2004, 69, 287–316. [Google Scholar] [CrossRef] [PubMed]
- Lee, J.S.; Wang, Z.H.; He, K.L.; Shan, J.; Feng, P.X.-L. Air damping of atomically thin MoS2 nanomechanical resonators. Appl. Phys. Lett. 2014, 105, 023104. [Google Scholar] [CrossRef]
- Eichler, A.; Moser, J.; Chaste, J.; Zdrojek, M.; Wilson-Rae, I.; Bachtold, A. Nonlinear damping in mechanical resonators made from carbon nanotubes and graphene. Nat. Nanotechnol. 2011, 6, 339–342. [Google Scholar] [CrossRef] [PubMed]
- Samanta, C.; Yasasvi Gangavarapu, P.R.; Naik, A.K. Nonlinear mode coupling and internal resonances in MoS2 nanoelectromechanical system. Appl. Phys. Lett. 2015, 107, 173110. [Google Scholar] [CrossRef]
- Kramer, E.; van Dorp, J.; van Leeuwen, R.; Venstra, W.J. Strain-dependent damping in nanomechanical resonators from thin MoS2 crystals. Appl. Phys. Lett. 2015, 107, 091903. [Google Scholar] [CrossRef]
- Verbridge, S.S.; Ilic, R.; Craighead, H.G.; Parpia, J.M. Size and frequency dependent gas damping of nanomechanical resonators. Appl. Phys. Lett. 2008, 93, 013101. [Google Scholar] [CrossRef]
- Li, C.; Xiao, J.; Guo, T.T.; Fan, S.C.; Jin, W. Interference characteristics in a Fabry-Perot cavity with graphene membrane for optical fiber pressure sensors. Microsyst. Technol. 2015, 21, 2297–2306. [Google Scholar] [CrossRef]
- Gao, X.Y.; Yu, X.Y.; Li, B.X.; Fan, S.C.; Li, C. Measuring graphene adhesion on silicon substrate by single and dual nanoparticle-loaded blister. Adv. Mater. Interfaces 2017, 4, 1601023. [Google Scholar] [CrossRef]
- Bunch, J.S.; Verbridge, S.S.; Alden, J.S.; van der Zande, A.M.; Parpia, J.M.; Craighead, H.G.; McEuen, P.L. Impermeable atomic membranes from graphene sheets. Nano Lett. 2008, 8, 2458–2462. [Google Scholar] [CrossRef] [PubMed]
- Li, C.; Peng, X.B.; Liu, Q.W.; Xin, G.; Lv, R.T.; Fan, S.C. Nondestructive and in situ determination of graphene layers using optical fiber Fabry-Perot interference. Meas. Sci. Technol. 2017, 28, 025206. [Google Scholar] [CrossRef]
- Li, C.; Gao, X.; Guo, T.; Xiao, J.; Fan, S.; Jin, W. Analyzing the applicability of miniature ultra-high sensitivity Fabry-Perot acoustic sensor using a nanothick graphene diaphragm. Meas. Sci. Technol. 2015, 26, 085101. [Google Scholar] [CrossRef]
- Yan, R.; Simpson, J.R.; Bertolazzi, S.; Brivio, J.; Watson, M.; Wu, X.; Kis, A.; Luo, T.; Walker, A.R.H.; Xing, H.G. Thermal conductivity of monolayer molybdenum disulfide obtained from temperature-dependent Raman spectroscopy. ACS Nano 2014, 5, 986–993. [Google Scholar] [CrossRef] [PubMed]
- Güttinger, J.; Noury, A.; Weber, P.; Eriksson, A.M.; Lagoin, C.; Moser, J.; Eichler, C.; Wallraff, A.; Isacsson, A.; Bachtold, A. Energy-dependent path of dissipation in nanomechanical resonators. Nat. Nanotechnol. 2017, 12, 631–636. [Google Scholar] [CrossRef] [PubMed]
- Castellanos-Gomez, A.; Singh, V.; van der Zant, H.S.J.; Steele, G.A. Mechanics of freely-suspended ultrathin layered materials. Ann. Phys. 2015, 527, 27–44. [Google Scholar] [CrossRef]
- Kwak, M.K. Vibration of circular membranes in contact with water. J. Sound Vib. 1994, 178, 688–690. [Google Scholar] [CrossRef]
- Singh, V.; Sengupta, S.; Solanki, H.S.; Dhall, R.; Allain, A.; Dhara, S.; Pant, P.; Deshmukh, M.M. Probing thermal expansion of graphene and modal dispersion at low-temperature using graphene nanoelectromechanical systems resonators. Nanotechnology 2010, 21, 165204–165211. [Google Scholar] [CrossRef] [PubMed]
- Rudenko, A.N.; Keil, F.J.; Katsnelson, M.I.; Lichtenstein, A.I. Interfacial interactions between local defects in amorphous SiO2 and supported graphene. Phys. Rev. B 2011, 84, 085438. [Google Scholar] [CrossRef]
- Li, X.S.; Cai, W.W.; An, J.H.; Kim, S.; Nah, J.; Yang, D.X.; Piner, R.; Velamakanni, A.; Jung, I.; Tutuc, E.; et al. Large-area synthesis of high-quality and uniform graphene films on copper foils. Science 2009, 324, 1312–1314. [Google Scholar] [CrossRef] [PubMed]
- Celebi, K.; Buchheim, J.; Wyss, R.M.; Droudian, A.; Gasser, P.; Shorubalko, I.; Kye, J., II; Lee, C.; Park, H.G. Ultimate permeation across atomically thin porous graphene. Science 2014, 344, 259–292. [Google Scholar] [CrossRef] [PubMed]
- Huang, L.; Zhang, M.; Li, C.; Shi, G.Q. Graphene-based membranes for molecular separation. J. Phys. Chem. Lett. 2015, 6, 2806–2815. [Google Scholar] [CrossRef] [PubMed]
- Lee, C.; Wei, X.; Kysar, J.W.; Hone, J. Measurement of the elastic properties and intrinsic strength of monolayer graphene. Science 2008, 321, 385–388. [Google Scholar] [CrossRef] [PubMed]
- Zalalutdinov, M.K.; Robinson, J.T.; Junkermeier, C.E.; Culbertson, J.C.; Reinecke, T.L.; Stine, R.; Sheehan, P.E.; Houston, B.H.; Snow, E.S. Engineering graphene mechanical systems. Nano Lett. 2012, 12, 4212–4218. [Google Scholar] [CrossRef] [PubMed]
- Khanna, V.K. Adhesion-delamination phenomena at the surfaces and interfaces in microelectronics and MEMS structures and packaged devices. J. Phys. D Appl. Phys. 2011, 44, 034004. [Google Scholar] [CrossRef]
- Guan, F.; Kumaravadivel, P.; Averin, D.V.; Du, X. Tuning strain in flexible graphene nanoelectromechanical resonators. Appl. Phys. Lett. 2015, 107, 193102. [Google Scholar] [CrossRef]






| Fabrication Method | Layers | Geometry | f (MHz) | Q Factor | Driving | Readout | Experimental Conditions | Kn | Refs. |
|---|---|---|---|---|---|---|---|---|---|
| Exfoliated | 1–143 | Doubly-clamped beam | 10–170 | 20–850 | Electrical/ Free-space optical | Free-space optical | Room temperature (RT); <1.3 × 10−4 Pa | 2.8 × 107 | [10] |
| Exfoliated | 1 | Doubly-clamped beam | 30–120 | 125 | Electrical | Electrical | RT; <1.3 × 10−3 Pa | 2 × 106 | [11] |
| 30–120 | 14,000 | 5K; <1.3 × 10−3 Pa | 3 × 104 | ||||||
| CVD | 1 | Doubly-clamped beam | 5–75 | 250 (RT), 9000 (10K) | Electrical/ Free-space optical | Electrical/ Free-space optical | RT&10K; <6.7 × 10−3 Pa | 1 × 104– 3.5 × 105 | [12] |
| Exfoliated | 2–5 | Doubly-clamped beam | 8–23 | 300–1100 | Thermal noise | Electrical | RT; <10−3 Pa | 7 × 105 | [15] |
| CVD | 30–60 | Doubly-clamped beam | 0.088–0.135 | 2–81 | F-P optical | F-P optical | RT; 10−2–105 Pa | 6 × 10−4– 6 × 103 | [21] |
| Exfoliated | ~30 | Circular drum | 13–17 | 3–80 | Free-space optical | Free-space optical | RT; 102–105 Pa | 0.015–15 | [22] |
| Exfoliated | 1 | Square drum | 30–90 | 25 | Free-space optical | Free-space optical | RT; 27–3 × 104 Pa | 0.05–54.87 | [31] |
| Exfoliated | <5 | Doubly-clamped beam | 108–122 | / | Electrical | Electrical | RT; <6.7 Pa | 525 | [46] |
| CVD | ~13 | Circular drum | 0.509–0.542 | 13.3–16.6 | F-P optical | F-P optical | RT; 105–2.99 × 105 Pa | 2 × 10−4– 6 × 10−4 | This work |
© 2017 by the authors. Licensee MDPI, Basel, Switzerland. This article is an open access article distributed under the terms and conditions of the Creative Commons Attribution (CC BY) license (http://creativecommons.org/licenses/by/4.0/).
Share and Cite
Li, C.; Lan, T.; Yu, X.; Bo, N.; Dong, J.; Fan, S. Room-Temperature Pressure-Induced Optically-Actuated Fabry-Perot Nanomechanical Resonator with Multilayer Graphene Diaphragm in Air. Nanomaterials 2017, 7, 366. https://doi.org/10.3390/nano7110366
Li C, Lan T, Yu X, Bo N, Dong J, Fan S. Room-Temperature Pressure-Induced Optically-Actuated Fabry-Perot Nanomechanical Resonator with Multilayer Graphene Diaphragm in Air. Nanomaterials. 2017; 7(11):366. https://doi.org/10.3390/nano7110366
Chicago/Turabian StyleLi, Cheng, Tian Lan, Xiyu Yu, Nan Bo, Jingyu Dong, and Shangchun Fan. 2017. "Room-Temperature Pressure-Induced Optically-Actuated Fabry-Perot Nanomechanical Resonator with Multilayer Graphene Diaphragm in Air" Nanomaterials 7, no. 11: 366. https://doi.org/10.3390/nano7110366
APA StyleLi, C., Lan, T., Yu, X., Bo, N., Dong, J., & Fan, S. (2017). Room-Temperature Pressure-Induced Optically-Actuated Fabry-Perot Nanomechanical Resonator with Multilayer Graphene Diaphragm in Air. Nanomaterials, 7(11), 366. https://doi.org/10.3390/nano7110366
