Highly Efficient Conductivity Modulation via Stacked Multi-Gate Graphene Ambipolar Transistors
Abstract
1. Introduction
2. Materials and Methods
2.1. Device Simulation
2.2. Device Fabrication
2.3. Device Characterization and Testing
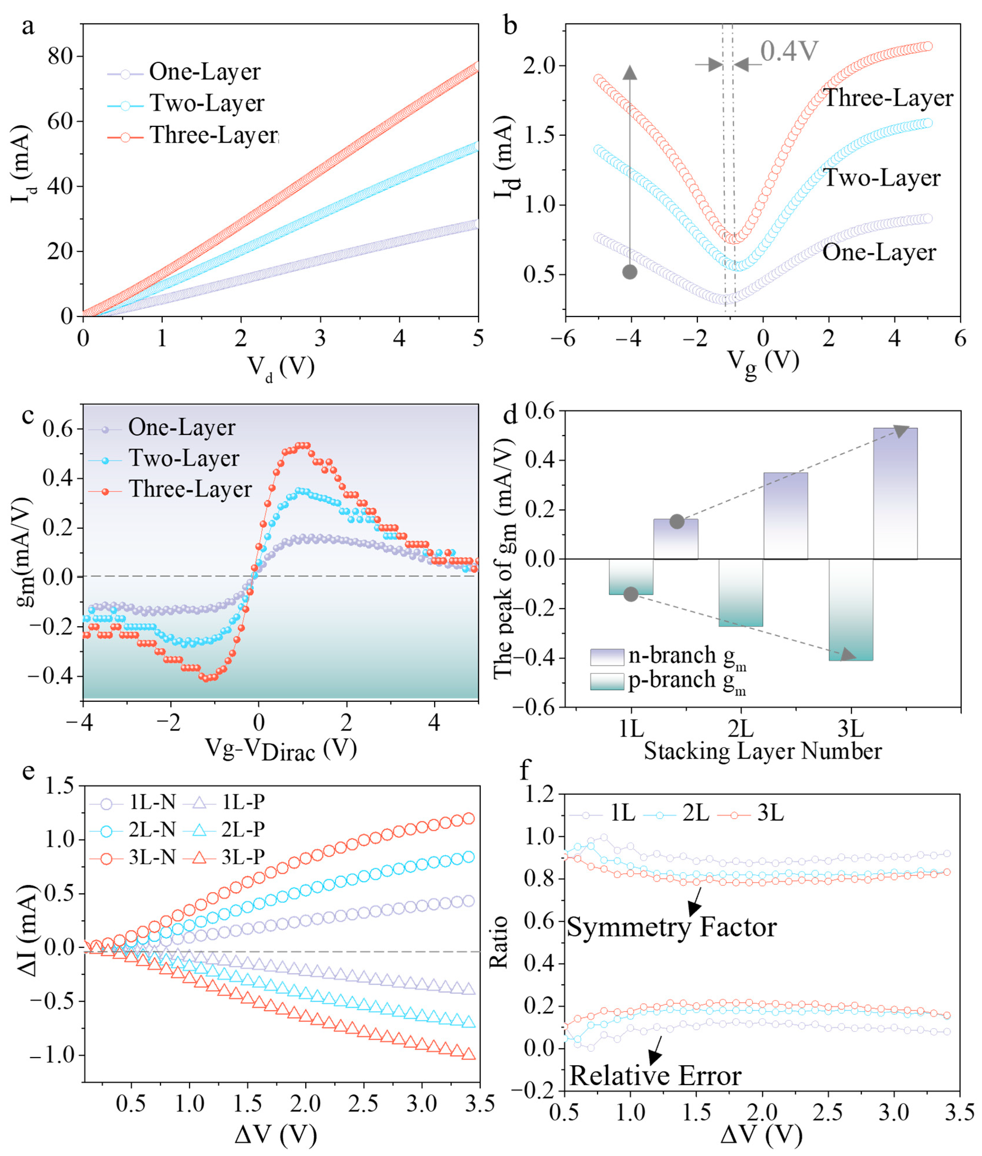
3. Results
4. Discussion
5. Conclusions
Supplementary Materials
Author Contributions
Funding
Data Availability Statement
Conflicts of Interest
References
- Novoselov, K.S.; Fal′ko, V.I.; Colombo, L.; Gellert, P.R.; Schwab, M.G.; Kim, K. A Roadmap for Graphene. Nature 2012, 490, 192–200. [Google Scholar] [CrossRef]
- Fang, H.; Hu, W. Photogating in Low Dimensional Photodetectors. Adv. Sci. 2017, 4, 1700323. [Google Scholar] [CrossRef] [PubMed]
- Khaliq, A.; Xu, H.; Qadir, A.; Xu, Y.; He, C.; Chen, B.; Ning, H.; Fang, H.; He, Y.; Xu, H.; et al. Photogating Regimes in Graphene: Memory-Bearing and Reset-Free Operation. Nanomaterials 2025, 15, 1667. [Google Scholar] [CrossRef] [PubMed]
- Zhang, X.; Nie, C.; Jiang, X.; Chen, X.; Zhang, H.; Gao, Y.; Xu, H.; Li, X.; Fang, H.; Li, D.; et al. Recent Progress on Local Field Manipulations of Graphene Photodetectors. Adv. Opt. Mater. 2025, 13, 2402794. [Google Scholar] [CrossRef]
- Shin, J.; Yoo, H. Photogating Effect-Driven Photodetectors and Their Emerging Applications. Nanomaterials 2023, 13, 882. [Google Scholar] [CrossRef]
- Wang, F.; Fang, S.; Zhang, Y.; Li, J.; Zhang, M.; Zhu, X.; Fu, J.; Tian, X.; Li, X.; Wang, X.; et al. 2D Computational Photodetectors Enabling Multidimensional Optical Information Perception. Nat. Commun. 2025, 16, 6791. [Google Scholar] [CrossRef]
- Cho, S.W.; Jo, C.; Kim, Y.H.; Park, S.K.; Kim, Y.H. Progress of Materials and Devices for Neuromorphic Vision Sensors. Nano-Micro Lett. 2022, 14, 203. [Google Scholar] [CrossRef]
- Han, Z.; Xing, Y.; Lin, Y.; Wang, Y.; Wei, H.; Li, H.; Wang, C.; Li, J.; He, Y. Artificial Synapse with High Weight-Updating Performance Based on Charge-Trapping Mechanism. ACS Appl. Mater. Interfaces 2025, 17, 18645–18654. [Google Scholar] [CrossRef]
- Fu, J.; Nie, C.; Sun, F.; Zhang, X.; Gao, Y.; Zhang, H.; Fang, H.; Li, X.; He, Y. Bionic Visual-Audio Photodetectors with In-Sensor Perception and Preprocessing. Sci. Adv 2024, 10, eadk8199. [Google Scholar] [CrossRef]
- Luo, F.; Zhu, M.; Sun, H.; Zhang, X.; Zhang, M.; Gan, X. High Responsivity Graphene Photodetectors from Visible to Near-Infrared by Photogating Effect. AIP Adv. 2018, 8, 115108. [Google Scholar] [CrossRef]
- Zhang, M.K.; Liu, W.D.; Gong, Y.P.; Zhang, H.; Zhang, J.; Zhu, Y.; Wang, P.; Liu, H.; Hu, W.; Lu, H.L.; et al. Graphene/Quantum Dot Heterostructure Photodetectors: From Material to Performance. Adv. Opt. Mater. 2022, 10, 2201889. [Google Scholar] [CrossRef]
- Kwon, M.G.; Kim, C.; Chang, K.E.; Yoo, T.J.; Kim, S.Y.; Hwang, H.J.; Lee, S.; Lee, B.H. Performance enhancement of graphene/Ge near-infrared photodetector by modulating the doping level of graphene. APL Photonics 2022, 7, 023106. [Google Scholar] [CrossRef]
- Howe, L.; Ellepola, K.H.; Jahan, N.; Stashkevich, A.A.; Kravets, V.G.; Grigorenko, A.N.; Withers, F. Characterization and Modeling of Interfacial Photogating Effect in Graphene Field-Effect Transistor Photodetectors on Silicon. ACS Appl. Electron. Mater. 2025, 7, 1305–1313. [Google Scholar] [CrossRef] [PubMed]
- Huang, Y.H.; Chiang, Y.T.; Chen, C.Y.; Cheng, C.C.; Chen, H.I.; Shih, Y.T.; Lin, T.Y.; Wu, C.I. Wavelength-Tunable and High-Performance Graphene/Semiconductor Photodetectors from Visible to Near Infrared Lights. ACS Appl. Electron. Mater. 2025, 7, 9822–9829. [Google Scholar] [CrossRef]
- Chen, J.H.; Jang, C.; Adam, S.; Fuhrer, M.S.; Williams, E.D.; Ishigami, M. Charged-Impurity Scattering in Graphene. Nat. Phys. 2008, 4, 377–381. [Google Scholar] [CrossRef]
- Li, M.Y.; Tang, C.C.; Ling, D.C.; Chen, S.C.; Wu, K.H.; Huang, J.C.A. Charged Impurity-Induced Scatterings in Chemical Vapor Deposited Graphene. J. Appl. Phys. 2013, 114, 233701. [Google Scholar] [CrossRef]
- Wang, B.; Zhang, X.; Loh, K.P.; Zhang, C.; Xu, Q.H.; Yao, J. Tunable Broadband Transmission and Phase Modulation of Light through Graphene Multilayers. J. Appl. Phys. 2014, 115, 213102. [Google Scholar] [CrossRef]
- Liu, Y.; Yuan, L.; Yang, M.; Zheng, Y.; Li, L.; Gao, L.; Nerngchamnong, N.; Nai, C.T.; Sangeeth, C.S.S.; Feng, Y.P.; et al. Giant Enhancement in Vertical Conductivity of Stacked CVD Graphene Sheets by Self-Assembled Molecular Layers. Nat. Commun. 2014, 5, 5461. [Google Scholar] [CrossRef]
- Gosling, J.H.; Morozov, S.V.; Vdovin, E.E.; Makarovsky, O.; Greenaway, M.T.; Kudrynskyi, Z.R.; Patanè, A.; Eaves, L.; Fromhold, T.M.; Kazakova, O.; et al. Graphene FETs with High and Low Mobilities Have Universal Temperature-Dependent Properties. Nanotechnology 2023, 34, 125702. [Google Scholar] [CrossRef]
- Nikitskiy, I.; Goossens, S.; Kufer, D.; Lasanta, T.; Navickaite, G.; Koppens, F.H.L.; Konstantatos, G. Integrating an Electrically Active Colloidal Quantum Dot Photodiode with a Graphene Phototransistor. Nat. Commun. 2016, 7, 11954. [Google Scholar] [CrossRef]
- Jiang, H.; Wei, J.; Sun, F.; Zhang, M.; Zhang, H.; He, Y.; Chen, H.; Gao, Y.; Zhang, J.; Fang, H.; et al. Enhanced Photogating Effect in Graphene Photodetectors via Potential Fluctuation Engineering. ACS Nano 2022, 16, 4458–4466. [Google Scholar] [CrossRef] [PubMed]
- Miccoli, C.; Cerantonio, V.; Chini, A.; Verzellesi, G. T-CAD Simulations Study on Drain Leakage Current and Its Correlation with Gate Current for AlGaN/GaN HEMTs. In Proceedings of the 2021 IEEE 8th Workshop on Wide Bandgap Power Devices and Applications (WiPDA); IEEE: New York, NY, USA, 2021; pp. 255–258. [Google Scholar]
- Fu, J.; Guo, Z.; Nie, C.; Gao, Y.; Zhang, H.; Li, X.; Fang, H.; He, Y. Schottky Infrared Detectors with Optically Tunable Barriers beyond the Internal Photoemission Limit. Innovation 2024, 5, 100626. [Google Scholar] [CrossRef] [PubMed]
- Wang, Y.Y.; Burke, P.J. Polyelectrolyte Multilayer Electrostatic Gating of Graphene Field-Effect Transistors. Nano Res. 2014, 7, 1650–1658. [Google Scholar] [CrossRef] [PubMed]
- Sun, M.; Zhang, C.; Lu, S.; Huang, J.; Xu, Z.; Zhang, Y.; Xue, Y.; Ren, T.L. Recent Advances in Graphene Field-Effect Transistor toward Biological Detection. Adv. Funct. Mater. 2024, 34, 2405471. [Google Scholar] [CrossRef]
- Fu, S.; Zhang, H.; Tielrooij, K.J.; Huang, Y.; Hu, F.; Li, D.; Wu, Y.; Tang, L.; Li, B.; Meng, Y.; et al. Tracking and Controlling Ultrafast Charge and Energy Flow in Graphene-Semiconductor Heterostructures. Innovation 2025, 6, 100667. [Google Scholar] [CrossRef]
- Guo, X.; Wang, W.; Nan, H.; Yu, Y.; Jiang, J.; Zhao, W.; Li, J.; Zafar, Z.; Xiang, N.; Ni, Z.; et al. High-Performance Graphene Photodetector Using Interfacial Gating. Optica 2016, 3, 1066–1070. [Google Scholar] [CrossRef]
- Wang, Y.; Ho, V.X.; Pradhan, P.; Karna, S.P. Interfacial Photogating Effect for Hybrid Graphene-Based Photodetectors. ACS Appl. Nano Mater. 2021, 4, 8539–8545. [Google Scholar] [CrossRef]
- Warren, N.; Donahue, E.; Yunusa, U.; Rana, B.; Poudyal, N.; Li, W.; Lin, W.; Wang, Z. Investigating the Mechanism of Copper-Carbon Interactions in Ultraconductor Materials via In Situ Thermal X-ray and Raman Spectroscopy. Mater. Adv. 2025, 6, 9427–9436. [Google Scholar] [CrossRef]
- Hu, Z.; Prasad Sinha, D.; Ung Lee, J.; Liehr, M. Substrate dielectric effects on graphene field effect transistors. J. Appl. Phys. 2014, 115, 194507. [Google Scholar] [CrossRef]
- Jhang, S.H.; Craciun, M.F.; Schmidmeier, S.; Tokumitsu, S.; Russo, S.; Yamamoto, M.; Skourski, Y.; Wosnitza, J.; Tarucha, S.; Eroms, J.; et al. Stacking-order dependent transport properties of trilayer graphene. Phys. Rev. B—Condens. Matter Mater. Phys. 2011, 84, 161408. [Google Scholar] [CrossRef]
- Bai, J.; Liao, L.; Zhou, H.; Cheng, R.; Liu, L.; Huang, Y.; Duan, X. Top-gated chemical vapor deposition grown graphene transistors with current saturation. Nano Lett. 2011, 11, 2555–2559. [Google Scholar] [CrossRef][Green Version]
- Xu, H.; Zhang, Z.; Xu, H.; Wang, Z.; Wang, S.; Peng, L.M. Top-gated graphene field-effect transistors with high normalized transconductance and designable dirac point voltage. ACS Nano 2011, 5, 5031–5037. [Google Scholar] [CrossRef]
- Sunku, S.S.; Halbertal, D.; Engelke, R.; Yoo, H.; Finney, N.R.; Curreli, N.; Ni, G.; Tan, C.; McLeod, A.S.; Lo, C.F.B.; et al. Dual-Gated Graphene Devices for Near-Field Nano-imaging. Nano Lett. 2021, 21, 1688–1693. [Google Scholar] [CrossRef]
- Kim, S.; Nah, J.; Jo, I.; Shahrjerdi, D.; Colombo, L.; Yao, Z.; Tutuc, E.; Banerjee, S.K. Realization of a high mobility dual-gated graphene field-effect transistor with Al2O3 dielectric. Appl. Phys. Lett. 2009, 94, 062107. [Google Scholar] [CrossRef]
- Franklin, A.D.; Oida, S.; Farmer, D.B.; Smith, J.T.; Han, S.J.; Breslin, C.M.; Gignac, L. Stacking Graphene Channels in Parallel for Enhanced Performance With the Same Footprint. IEEE Electron Device Lett. 2013, 34, 556–558. [Google Scholar] [CrossRef]
- Shimatani, M.; Ikuta, T.; Sakamoto, Y.; Fukushima, S.; Ogawa, S.; Maehashi, K. Turbostratic stacked graphene-based high-responsivity mid-wavelength infrared detector using an enhanced photogating effect. Opt. Mater. Express 2022, 12, 458–467. [Google Scholar] [CrossRef]
- Yusuf, M.H.; Nielsen, B.; Dawber, M.; Du, X. Extrinsic and intrinsic charge trapping at the graphene/ferroelectric interface. Nano Lett. 2014, 14, 5437–5444. [Google Scholar] [CrossRef]
- Wang, H.; Wu, Y.; Cong, C.; Shang, J.; Yu, T. Hysteresis of electronic transport in graphene transistors. ACS Nano 2010, 4, 7221–7228. [Google Scholar] [CrossRef]
- Wang, M.; Luo, D.; Wang, B.; Ruoff, R.S. Synthesis of large-area single-crystal graphene. Trends Chem. 2021, 3, 15–33. [Google Scholar] [CrossRef]
- Yuan, G.; Liu, W.; Huang, X.; Wan, Z.; Wang, C.; Yao, B.; Sun, W.; Zheng, H.; Yang, K.; Zhou, Z.; et al. Stacking transfer of wafer-scale graphene-based van der Waals superlattices. Nat. Commun. 2023, 14, 5457. [Google Scholar] [CrossRef] [PubMed]
- Tang, X.; Chen, M.; Kamath, A.; Ackerman, M.M.; Guyot-Sionnest, P. Colloidal quantum-dots/graphene/silicon dual-channel detection of visible light and short-wave infrared. ACS Photonics 2020, 7, 1117–1121. [Google Scholar] [CrossRef]
- Wu, P.; Ye, L.; Tong, L.; Wang, P.; Wang, Y.; Wang, H.; Ge, H.; Wang, Z.; Gu, Y.; Zhang, K.; et al. Van der Waals two-color infrared photodetector. Light Sci. Appl. 2022, 11, 6. [Google Scholar] [CrossRef] [PubMed]
- Peng, Y.; Yang, Q.; Fu, J.; Yang, J.; Wu, Y.; Zhang, Y.; Li, G.; Li, Z.; Shi, H.; Wei, X. Uncooled Graphene Infrared Detectors Enabled by Pyroelectric Photogating for Human Radiation Perception. Laser Photonics Rev. 2025, 19, 2500218. [Google Scholar] [CrossRef]
- Shimatani, M.; Ogawa, S.; Fukushima, S.; Okuda, S.; Kanai, Y.; Ono, T.; Matsumoto, K. Enhanced photogating via pyroelectric effect induced by insulator layer for high-responsivity long-wavelength infrared graphene-based photodetectors operating at room temperature. Appl. Phys. Express 2019, 12, 025001. [Google Scholar] [CrossRef]




Disclaimer/Publisher’s Note: The statements, opinions and data contained in all publications are solely those of the individual author(s) and contributor(s) and not of MDPI and/or the editor(s). MDPI and/or the editor(s) disclaim responsibility for any injury to people or property resulting from any ideas, methods, instructions or products referred to in the content. |
© 2026 by the authors. Licensee MDPI, Basel, Switzerland. This article is an open access article distributed under the terms and conditions of the Creative Commons Attribution (CC BY) license.
Share and Cite
Nie, C.; Zhang, H.; Zhang, X.; Sun, F.; Liu, J.; Wei, X. Highly Efficient Conductivity Modulation via Stacked Multi-Gate Graphene Ambipolar Transistors. Nanomaterials 2026, 16, 218. https://doi.org/10.3390/nano16030218
Nie C, Zhang H, Zhang X, Sun F, Liu J, Wei X. Highly Efficient Conductivity Modulation via Stacked Multi-Gate Graphene Ambipolar Transistors. Nanomaterials. 2026; 16(3):218. https://doi.org/10.3390/nano16030218
Chicago/Turabian StyleNie, Changbin, Hongchen Zhang, Xianning Zhang, Feiying Sun, Jun Liu, and Xingzhan Wei. 2026. "Highly Efficient Conductivity Modulation via Stacked Multi-Gate Graphene Ambipolar Transistors" Nanomaterials 16, no. 3: 218. https://doi.org/10.3390/nano16030218
APA StyleNie, C., Zhang, H., Zhang, X., Sun, F., Liu, J., & Wei, X. (2026). Highly Efficient Conductivity Modulation via Stacked Multi-Gate Graphene Ambipolar Transistors. Nanomaterials, 16(3), 218. https://doi.org/10.3390/nano16030218

