Conjugation of Functionalized Gold Nanorods and Copper (I)-Based Drug: An Anisotropic Nano Drug Delivery System
Abstract
1. Introduction
2. Materials and Methods
2.1. Materials
2.2. AuNR Synthesis
2.3. AuNR-Cu(I) Conjugate Preparation
2.4. Characterizations
2.5. Cell Cultures and Biological Tests
2.6. Statistical Analysis
3. Results and Discussion
3.1. AuNR Synthesis
3.2. Cu(I)-Complex Loading on AuNRs
3.3. XPS Characterization
3.4. NEXAFS Characterization
3.5. FTIR Characterization
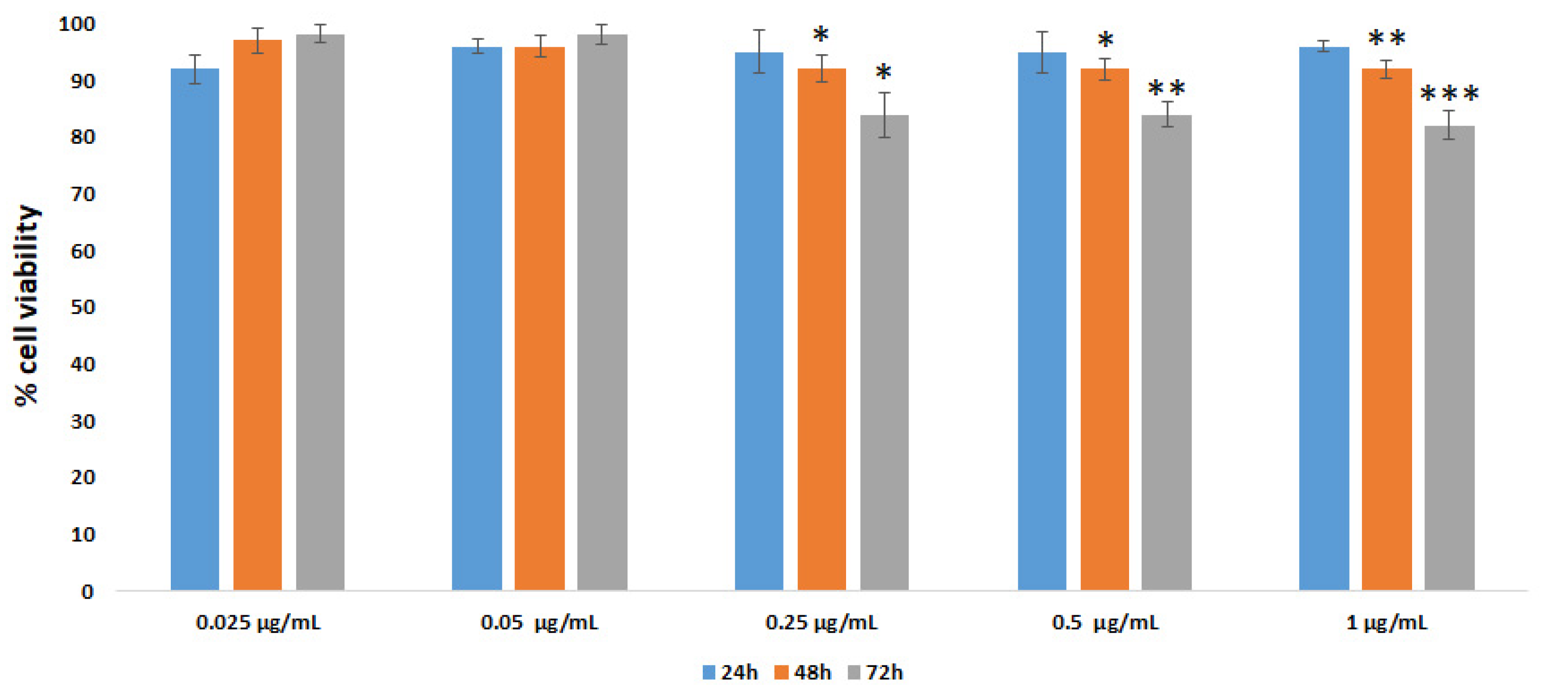
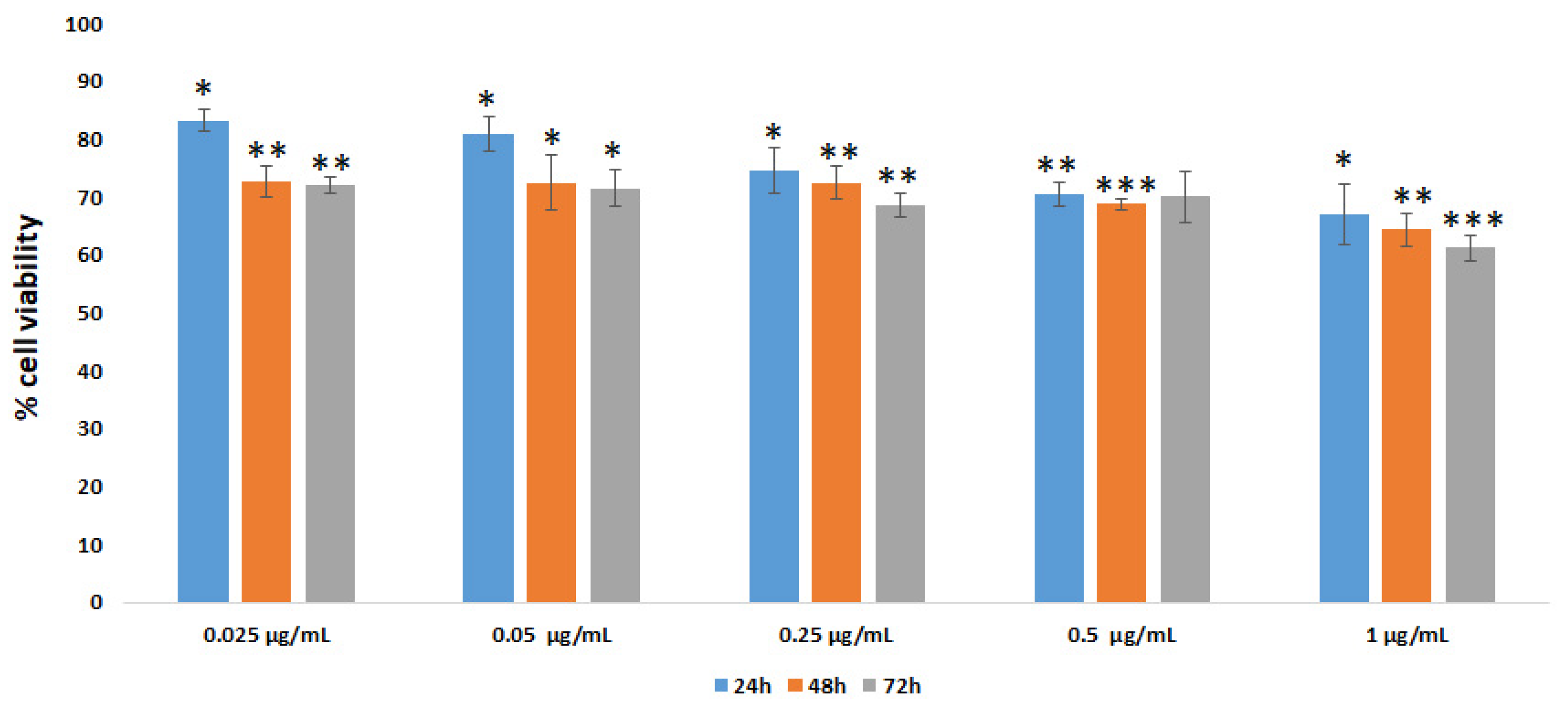
3.6. Biological Tests
4. Conclusions
Supplementary Materials
Author Contributions
Funding
Data Availability Statement
Acknowledgments
Conflicts of Interest
References
- Xia, K.; Yatabe, T.; Yonesato, K.; Kikkawa, S.; Yamazoe, S.; Nakata, A.; Ishikawa, R.; Shibata, N.; Ikuhara, Y.; Yamaguchi, K.; et al. Ultra-stable and highly reactive colloidal gold nanoparticle catalysts protected using multi-dentate metal oxide nanoclusters. Nat. Commun. 2024, 15, 851. [Google Scholar] [CrossRef] [PubMed]
- Dehkordi, S.M.; Mohammadi, H. Improvement of directivity in plasmonic nanoantennas based on structured cubic gold nanoparticles. Sci. Rep. 2024, 14, 17153. [Google Scholar] [CrossRef] [PubMed]
- Naponiello, G.; Venditti, I.; Zardetto, V.; Saccone, D.; Di Carlo, A.; Fratoddi, I.; Barolo, C.; Dini, D. Photoelectrochemical characterization of squaraine-sensitized nickel oxide cathodes deposited via screen-printing for p-type dye-sensitized solar cells. Appl. Surf. Sci. 2015, 356, 911–920. [Google Scholar] [CrossRef]
- Junior, B.B.; Sawazaki, M.R.B.; Guidelli, É.J.; Mulato, M. Optimizing gold nanoparticles for thin film formation: Insights into synthesis and surface functionalization with APTES. Colloids Surf. A Physicochem. Eng. Asp. 2025, 722, 137–180. [Google Scholar] [CrossRef]
- Zarska, M.; Novak, O.; Jakubcova, T.; Novotny, F.; Urbancokova, A.; Havel, F.; Novak, J.; Raabova, H.; Musilek, K.; Filimonenko, V.; et al. Photothermal induction of pyroptosis in malignant glioma spheroids using (16-mercaptohexadecyl) trimethyl ammonium bromide-modified cationic gold nano-rods. Colloids Surf. B Biointerfaces 2024, 243, 114128. [Google Scholar] [CrossRef]
- Elsayed, D.A.; Assy, M.G.; Mousa, S.M.; El-Bassyouni, G.T.; Mouneir, S.M.; Shehab, W.S. TiO2 nanoparticle as catalyst for an efficient green one-pot synthesis of 1H-3-Indolyl Derivatives as significant antiviral activity. Bioorg. Chem. 2022, 124, 105805. [Google Scholar] [CrossRef]
- Venditti, I.; Barbero, N.; Russo, M.V.; Di Carlo, A.; Decker, F.; Fratoddi, I.; Barolo, C.; Dini, D. Electrodeposited ZnO with squaraine sentisizers as photoactive anode of DSCs. Mater. Res. Express 2014, 1, 015040. [Google Scholar] [CrossRef]
- Zhou, W.; Yao, Y.; Qin, H.; Xing, X.; Li, Z.; Ouyang, M.; Fan, H. Size Dependence of Gold Nanorods for Efficient and Rapid Photothermal Therapy. Int. J. Mol. Sci. 2024, 25, 2018. [Google Scholar] [CrossRef]
- Kim, N.; Jeong, Y.-G.; Lee, S.; Kang, J.; Kim, Y.; Choi, Y.-A.; Khang, D.; Kim, S.-H. Ameliorated Skin Inflammation through the Synergistic Effect of Gold Nano-rod–Dexamethasone and Photothermal Therapy. ACS Appl. Mater. Interfaces 2024, 16, 12217–12231. [Google Scholar] [CrossRef]
- Sílvia, S.; Aires, F.; Monteiro, A.; Pinto, G.; Faria, I.; Sales, G.; Correa-Duarte, M.A.; Guerreiro, S.; Fernandes, R. Radiotherapy Metastatic Prostate Cancer Cell Lines Treated with Gold Nano-rods Modulate miRNA Signatures. Int. J. Mol. Sci. 2024, 25, 2754. [Google Scholar] [CrossRef]
- Chakraborty, K.; Biswas, A.; Mishra, S.; Mallick, A.M.; Tripathi, A.; Jan, S.; Roy, R.S. Harnessing Peptide-Functionalized Multivalent Gold Nanorods for Promoting Enhanced Gene Silencing and Managing Breast Cancer Metastasis. ACS Appl. Bio Mater. 2023, 6, 458–472. [Google Scholar] [CrossRef] [PubMed]
- Arsalani, S.; Arsalani, S.; Isikawa, M.; Guidelli, E.J.; Mazon, E.E.; Ramos, A.P.; Bakuzis, A.; Pavan, T.Z.; Baffa, O.; Carneiro, A.A.O. Hybrid Nanoparticles of Citrate-Coated Manganese Ferrite and Gold Nanorods in Magneto-Optical Imaging and Thermal Therapy. Nanomaterials 2023, 13, 434. [Google Scholar] [CrossRef] [PubMed]
- Khan, A.; Khan, T.H.; Ahamed, M.; El-Toni, A.M.; Aldalbahi, A.; Alam, J.; Ahamad, T. Temperature-Responsive Polymer Microgel-Gold Nanorods Composite Particles: Physicochemical Characterization and Cytocompatibility. Polymers 2018, 10, 99. [Google Scholar] [CrossRef] [PubMed]
- Pissuwan, D.; Poomrattanangoon, S.; Chungchaiyart, P. Trends in Using Gold Nanoparticles for Inducing Cell Differentiation: A Review. ACS Appl. Nano Mater. 2022, 5, 3110–3120. [Google Scholar] [CrossRef]
- Kruse, B.; Dash, B.S.; Kostka, K.; Wolff, N.; Prymak, O.; Loza, K.; Gumbiowski, N.; Heggen, M.; Oliveira, C.L.P.; Chen, J.-P.; et al. Doxorubicin-Loaded Ultrasmall Gold Nanoparticles (1.5 nm) for Brain Tumor Therapy and Assessment of Their Biodistribution. ACS Appl. Bio Mater. 2024, 7, 6890–6907. [Google Scholar] [CrossRef]
- Wang, S.; Zhao, X.; Wang, S.; Qian, J.; He, S. Biologically Inspired Polydopamine Capped Gold Nanorods for Drug Delivery and Light-Mediated Cancer Therapy. ACS Appl. Mater. Interfaces 2016, 8, 24368–24384. [Google Scholar] [CrossRef]
- Zygouri, E.; Bekiari, V.; Malis, G.; Karamanos, N.K.; Koutsakis, C.; Psomas, G.; Tangoulis, V. pH-Sensitive Gold Nanorods for Non-Steroidal Anti-Inflammatory Drugs (NSAIDs) Delivery and DNA-Binding Studies. Molecules 2023, 28, 3780. [Google Scholar] [CrossRef]
- He, J.; He, Y.; Wu, X.; Zhang, X.; Hu, R.; Tang, B.Z.; Xu, Q.-H. Mesoporous Silica-Encapsulated Gold Nanorods for Drug Delivery/Release and Two-Photon Excitation Fluorescence Imaging to Guide Synergistic Phototherapy and Chemotherapy. ACS Appl. Bio Mater. 2023, 6, 3433–3440. [Google Scholar] [CrossRef]
- Linnell, B.M.P.; Noveron, J.C. Gold nanoparticles with reversible colloidal aggregation mediated with Cu (II) ions. Colloids Surf. A Physicochem. Eng. Asp. 2023, 682, 132806. [Google Scholar] [CrossRef]
- Zhou, R.; Zhang, M.; Xi, J.; Li, J.; Ma, R.; Ren, L.; Bai, Z.; Qi, K.; Li, X. Gold Nano-rods-Based Photothermal Therapy: Interactions Between Biostructure, Nanomaterial, and Near-Infrared Irradiation. Nanoscale Res. Lett. 2022, 17, 68. [Google Scholar] [CrossRef]
- Chen, Y.-S.; Zhao, Y.; Yoon, S.J.; Gambhir, S.S.; Emelianov, S. Miniature gold nanorods for photoa-coustic molecular imaging in the second near-infrared optical window. Nat. Nanotechnol. 2019, 14, 465–472. [Google Scholar] [CrossRef] [PubMed]
- Zhao, S.; Luo, Y.; Chang, Z.; Liu, C.; Li, T.; Gan, L.; Huang, Y.; Sun, Q. BSA-Coated Gold Nanorods for NIR-II Photothermal Therapy. Nanoscale Res. Lett. 2021, 16, 170. [Google Scholar] [CrossRef] [PubMed]
- Wang, Y.; Wu, Y.; Wen, Q.; Li, P.; Wang, Y.; Jiang, H.; Zhang, W. PEGylated gold nano-rods with a broad absorption band in the first near-infrared window for in vivo multifunctional photoa-coustic imaging. RSC Adv. 2020, 10, 4561–4567. [Google Scholar] [CrossRef] [PubMed]
- Wen, X.; Bi, S.; Zeng, S. NIR-II Light-Activated Gold Nanorods for Synergistic Thermo-dynamic and Photothermal Therapy of Tumor. ACS Appl. Bio Mater. 2023, 6, 1934–1942. [Google Scholar] [CrossRef]
- Ngece, K.; Khwaza, V.; Paca, A.M.; Aderibigbe, B.A. The Antimicrobial Efficacy of Copper Complexes: A Review. Antibiotics 2025, 14, 516. [Google Scholar] [CrossRef]
- Guz-Regner, K.; Komarnicka, U.K.; Futoma-Kołoch, B.; Wernecki, M.; Cal, M.; Kozieł, S.; Ziółkowska, A.; Bugla-Płoskońska, G. Antibacterial activity and action mode of Cu(I) and Cu(II) complexes with phosphines derived from fluoroquinolone against clinical and multidrug-resistant bacterial strains. J. Inorg. Biochem. 2020, 210, 111124. [Google Scholar] [CrossRef]
- Ammerman, N.C.; Beier-Sexton, M.; Azad, A.F. Growth and maintenance of Vero cell lines. Curr. Protoc. Microbiol. 2008, 11, A.4E.1–A.4E.7. [Google Scholar] [CrossRef]
- Ayon, N.J. High-Throughput Screening of Natural Product and Synthetic Molecule Libraries for Antibacterial Drug Discovery. Metabolites 2023, 13, 625. [Google Scholar] [CrossRef]
- Parra, B.; Contreras, A.; Mina, J.H.; Valencia, M.E.; Grande-Tovar, C.D.; Valencia, C.H.; Ramírez, C.; Bolívar, G.A. The Entrapment and Concentration of SARS-CoV-2 Particles with Graphene Oxide: An In Vitro Assay. Nanomaterials 2023, 13, 343. [Google Scholar] [CrossRef]
- Zhu, Y.; Binder, J.; Yurgelonis, I.; Rai, D.K.; Lazarro, S.; Costales, C.; Kobylarz, K.; McMonagle, P.; Steppan, C.M.; Aschenbrenner, L.; et al. Generation of a VeroE6 Pgp gene knock out cell line and its use in SARS-CoV-2 antiviral study. Antivir. Res. 2022, 208, 105429. [Google Scholar] [CrossRef]
- Yamate, M.; Yamashita, M.; Goto, T.; Tsuji, S.; Li, Y.-G.; Warachit, J.; Yunoki, M.; Ikuta, K. Establishment of Vero E6 cell clones persistently infected with severe acute respiratory syndrome coronavirus. Microbes Infect. 2005, 7, 1530–1540. [Google Scholar] [CrossRef] [PubMed]
- Santini, C.; Pellei, M.; Papini, G.; Morresi, B.; Galassi, R.; Ricci, S.; Tisato, F.; Porchia, M.; Rigobello, M.P.; Gandin, V.; et al. In vitro antitumour activity of water soluble Cu(I), Ag(I) and Au(I) complexes supported by hydrophilic alkyl phosphine ligands. J. Inorg. Biochem. 2011, 105, 232–240. [Google Scholar] [CrossRef] [PubMed]
- Lopez, A.; Amatori, S.; Olivieri, E.; Venditti, I.; Iucci, G.; Meneghini, C.; Bertelà, F.; Del Bello, F.; Quaglia, W.; Pellei, M.; et al. Cu (I) Coordination Compounds Conjugated to Au Nanorods for Future Applications in Drug Delivery: Insights in Molecular, Electronic and Cu Local Structure in Solid and Liquid Phase. ChemPhysChem 2024, 25, e202400074. [Google Scholar] [CrossRef] [PubMed]
- Amatori, S.; Lopez, A.; Meneghini, C.; Calcabrini, A.; Colone, M.; Stringaro, A.; Migani, S.; Khalakhan, I.; Iucci, G.; Venditti, I.; et al. Gold nanorods derivatized with CTAB and hydroquinone or ascorbic acid: Spectroscopic investigation of anisotropic nanoparticles of different shapes and sizes. Nanoscale Adv. 2023, 5, 3924–3933. [Google Scholar] [CrossRef]
- Nikoobakht, B.; El-Sayed, M.A. Preparation and Growth Mechanism of Gold Nanorods (NRs) Using Seed-Mediated Growth Method. Chem. Mater. 2003, 15, 1957–1962. [Google Scholar] [CrossRef]
- Gandin, V.; Tisato, F.; Dolmella, A.; Pellei, M.; Santini, C.; Giorgetti, M.; Marzano, C.; Porchia, M. In Vitro and in Vivo Anticancer Activity of Copper(I) Complexes with Homoscorpionate Tridentate Tris(pyrazolyl)borate and Auxiliary Monodentate Phosphine Ligands. J. Med. Chem. 2014, 57, 4745–4760. [Google Scholar] [CrossRef]
- Fratoddi, I.; Venditti, I.; Battocchio, C.; Carlini, L.; Amatori, S.; Porchia, M.; Tisato, F.; Bondino, F.; Magnano, E.; Pellei, M.; et al. Highly hydrophilic gold nanoparticles as carrier for anticancer copper(I) complexes: Loading and release studies for biomedical applications. Nanomaterials 2019, 9, 772. [Google Scholar] [CrossRef]
- Venditti, I.; Cartoni, A.; Cerra, S.; Fioravanti, R.; Salamone, T.A.; Sciubba, F.; Tabocchini, M.A.; Dini, V.; Battocchio, C.; Iucci, G.; et al. Hydrophilic Gold Nanoparticles as anti-PD-L1 Antibody carriers: Synthesis and Interface Properties. Part. Part. Syst. Charact. 2022, 39, 4. [Google Scholar] [CrossRef]
- Liu, H.; Pierre-Pierre, N.; Huo, Q. Dynamic light scattering for gold nanorod size characterization and study of nanorod–protein interactions. Gold Bull. 2012, 45, 187–195. [Google Scholar] [CrossRef]
- Cametti, C.; Fratoddi, I.; Venditti, I.; Russo, M.V. Dielectric relaxations of thiol-coated noble metal nano-particles in aqueous solutions: Electrical characterization of the interface. Langmuir 2011, 27, 7084–7090. [Google Scholar] [CrossRef]
- Zhu, J.; Huang, L.; Zhao, J.; Wang, Y.; Zhao, Y.; Hao, L.; Lu, Y. Shape dependent resonance light scattering properties of gold nanorods. Mater. Sci. Eng. B 2005, 121, 199–203. [Google Scholar] [CrossRef]
- Venditti, I.; Fratoddi, I.; Palazzesi, C.; Prosposito, P.; Casalboni, M.; Cametti, C.; Battocchio, C.; Polzonetti, G.; Russo, M.V. Self-assembled nanoparticles of functional copolymers for photonic applications. J. Colloids Interface Sci. 2010, 348, 424–430. [Google Scholar] [CrossRef] [PubMed]
- Nikolopoulou, S.G.; Kalska, B.; Basa, A.; Papadopoulou, A.; Efthimiadou, E.K. Novel Hybrid Silver−Silica Nanoparticles Synthesized by Modifications of the Sol−Gel Method and Their Theranostic Potential in Cancer. ACS Appl. Bio Mater. 2023, 6, 5235−5251. [Google Scholar] [CrossRef] [PubMed]
- NIST. X-Ray Photoelectron Spectroscopy Database, NIST Standard Reference Database Number 20; National Institute of Standards and Technology: Gaithersburg, MD, USA, 2000; p. 20899. Available online: https://doi.org/10.18434/T4T88K (accessed on 24 November 2023).
- Huang, S.-H.; Peng, S.; Wang, Q.-Y.; Hu, Q.-H.; Zhang, R.-Q.; Liu, L.; Liu, Q.; Lin, J.; Zhou, Q.-H. Gold nanorods con-jugated with biocompatible zwitterionic polypeptide for combined chemo-photothermal therapy of cervical cancer. Colloids Surf. B Biointerfaces 2021, 207, 112014. [Google Scholar] [CrossRef]
- Venditti, I.; Iucci, G.; Fratoddi, I.; Cipolletti, M.; Montalesi, E.; Marino, M.; Secchi, V.; Battocchio, C. Directly Resveratrol immobilization on hydrophilic charged gold nanoparticles: Structural investigations and cytotoxic studies for Biomedical Applications. Nanomaterials 2020, 10, 1898. [Google Scholar] [CrossRef]
- Zhi, X.; Jiang, Y.; Xie, L.; Li, Y.; Fang, C.-J. Gold Nanorods Functionalized with Cathepsin B Targeting Peptide and Doxorubicin for Combinatorial Therapy against Multidrug Resistance. ACS Appl. Bio Mater. 2019, 2, 5697–5706. [Google Scholar] [CrossRef]
- Sun, J.; Li, L.; Cai, W.; Chen, A.; Zhang, R. Multifunctional Hybrid Nanoprobe for Photoacoustic/PET/MR Imaging-Guided Photothermal Therapy of Laryngeal Cancer. ACS Appl. Bio Mater. 2021, 4, 5312–5323. [Google Scholar] [CrossRef]
- Xiao, Y.; Hong, H.; Matson, V.Z.; Javadi, A.; Xu, W.; Yang, Y.; Zhang, Y.; Engle, J.W.; Nickles, R.J.; Cai, W.; et al. Gold Nanorods Conjugated with Doxorubicin and cRGD for Combined Anticancer Drug Delivery and PET Imaging. Theranostics 2012, 2, 757–768. [Google Scholar] [CrossRef]
- Awan, U.A.; Raza, A.; Ali, S.; Saeed, R.F.; Akhtar, N.; Beilstein, J. Doxorubicin-loaded gold nanorods: A multifunctional chemo-photothermal nanoplatform for cancer management. Beilstein J. Nanotechnol. 2021, 12, 295–303. [Google Scholar] [CrossRef]
- Liu, M.; Guyot-Sionnest, P. Mechanism of Silver(I)-Assisted Growth of Gold Nanorods and Bipyramids. J. Phys. Chem. B 2005, 109, 22192–22200. [Google Scholar] [CrossRef]
- Grzelczak, M.; Pérez-Juste, J.; Rodríguez-González, B.; Liz-Marzán, L.M. Influence of silver ions on the growth mode of platinum on gold nanorods. J. Mater. Chem. 2006, 16, 3946–3951. [Google Scholar] [CrossRef]
- Beamson, G.; Briggs, D. High Resolution XPS of Organic Polymers: The Scienta ESCA 300 Database; John Wiley & Sons: Chichester, UK, 1992. [Google Scholar]
- Ward, C.J.; Tronndorf, R.; Eustes, A.S.; Auad, M.L.; Davis, E.W. Seed-Mediated Growth of Gold Nano-rods: Limits of Length to Diameter Ratio Control. J. Nanomater. 2014, 2014, 765618. [Google Scholar] [CrossRef]
- Burrows, N.D.; Harvey, S.; Idesis, F.A.; Murphy, C.J. Understanding the Seed-Mediated Growth of Gold Nanorods through a Fractional Factorial Design of Experiments. Langmuir 2017, 33, 1891–1907. [Google Scholar] [CrossRef] [PubMed]
- Secchi, V.; Franchi, S.; Ciccarelli, D.; Dettin, M.; Zamuner, A.; Serio, A.; Iucci, G.; Battocchio, C. Biofunctionalization of TiO2 Surfaces with Self-Assembling Layers of Oligopeptides Covalently Grafted to Chitosan. ACS Biomater. Sci. Eng. 2019, 5, 2190−2199. [Google Scholar] [CrossRef]
- Fernando, D.; Sulthana, S.; Vasquez, Y. Cellular Uptake and Cytotoxicity of Varying Aspect Ratios of Gold Nanorods in HeLa Cells. ACS Appl. Bio Mater. 2020, 3, 1374−1384. [Google Scholar] [CrossRef]
- Binelli, L.; Dini, V.; Amatori, S.; Scotognella, T.; Giordano, A.; De Berardis, B.; Bertelà, F.; Battocchio, C.; Iucci, G.; Fratoddi, I.; et al. Gold nanorods as vehicle for radiopharmaceuticals: Preparation and preliminary radiobiological in vitro tests. Nanomaterials 2023, 13, 1898. [Google Scholar] [CrossRef]
- Alkilany, A.M.; Nagaria, P.K.; Hexel, C.R.; Shaw, T.J.; Murphy, C.J.; Wyatt, M.D. Cellular uptake and cytotoxicity of gold nanorods: Molecular origin of cytotoxicity and surface effects. Small 2009, 5, 701−708. [Google Scholar] [CrossRef]
- Hu, M.; Wen, C.; Liu, J.; Cai, P.; Meng, N.; Qin, X.; Xu, P.; Li, Z.; Lin, X.-C. Mechanism of Cytotoxic Action of Gold Nanorods Photothermal Therapy for A549 Cell. ACS Appl. Bio Mater. 2023, 6, 1886–1895. [Google Scholar] [CrossRef]
- Artiga, Á.; García-Embid, S.; De Matteis, L.; Mitchell, S.G.; de la Fuente, J.M. Effective in Vitro Photokilling by Cell-Adhesive Gold Nanorods. Front. Chem. 2018, 6, 234. [Google Scholar] [CrossRef]
- Elste, J.; Kumari, S.; Sharma, N.; Razo, E.P.; Azhar, E.; Gao, F.; Nunez, M.C.; Anwar, W.; Mitchell, J.C.; Tiwari, V.; et al. Plant Cell-Engineered Gold Nanoparticles Conjugated to Quercetin Inhibit SARS-CoV-2 and HSV-1 Entry. Int. J. Mol. Sci. 2023, 24, 14792. [Google Scholar] [CrossRef]
- Tavakoli, A.; Hashemzadeh, M.S. Inhibition of herpes simplex virus type 1 by copper oxide nanoparticles. J. Virol. Methods 2020, 275, 113688. [Google Scholar] [CrossRef]












Disclaimer/Publisher’s Note: The statements, opinions and data contained in all publications are solely those of the individual author(s) and contributor(s) and not of MDPI and/or the editor(s). MDPI and/or the editor(s) disclaim responsibility for any injury to people or property resulting from any ideas, methods, instructions or products referred to in the content. |
© 2026 by the authors. Licensee MDPI, Basel, Switzerland. This article is an open access article distributed under the terms and conditions of the Creative Commons Attribution (CC BY) license.
Share and Cite
Olivieri, E.; Amatori, S.; Battocchio, C.; Iucci, G.; Marsotto, M.; Lipani, D.; Calcabrini, A.; Colone, M.; Stringaro, A.; Dupuis, M.L.; et al. Conjugation of Functionalized Gold Nanorods and Copper (I)-Based Drug: An Anisotropic Nano Drug Delivery System. Nanomaterials 2026, 16, 217. https://doi.org/10.3390/nano16030217
Olivieri E, Amatori S, Battocchio C, Iucci G, Marsotto M, Lipani D, Calcabrini A, Colone M, Stringaro A, Dupuis ML, et al. Conjugation of Functionalized Gold Nanorods and Copper (I)-Based Drug: An Anisotropic Nano Drug Delivery System. Nanomaterials. 2026; 16(3):217. https://doi.org/10.3390/nano16030217
Chicago/Turabian StyleOlivieri, Elena, Simone Amatori, Chiara Battocchio, Giovanna Iucci, Martina Marsotto, Diego Lipani, Annarica Calcabrini, Marisa Colone, Annarita Stringaro, Maria Luisa Dupuis, and et al. 2026. "Conjugation of Functionalized Gold Nanorods and Copper (I)-Based Drug: An Anisotropic Nano Drug Delivery System" Nanomaterials 16, no. 3: 217. https://doi.org/10.3390/nano16030217
APA StyleOlivieri, E., Amatori, S., Battocchio, C., Iucci, G., Marsotto, M., Lipani, D., Calcabrini, A., Colone, M., Stringaro, A., Dupuis, M. L., Ammirati, G., Paladini, A., Toschi, F., Pellei, M., Santini, C., Caviglia, M., Del Gobbo, J., Tortora, L., Marconi, E., ... Venditti, I. (2026). Conjugation of Functionalized Gold Nanorods and Copper (I)-Based Drug: An Anisotropic Nano Drug Delivery System. Nanomaterials, 16(3), 217. https://doi.org/10.3390/nano16030217

