Multifunctional Metasurface Based on Cascaded Multilayer Modules
Abstract
1. Introduction
2. Design and Operating Principle
2.1. Multi-Channel Regulation in Full-Spacec
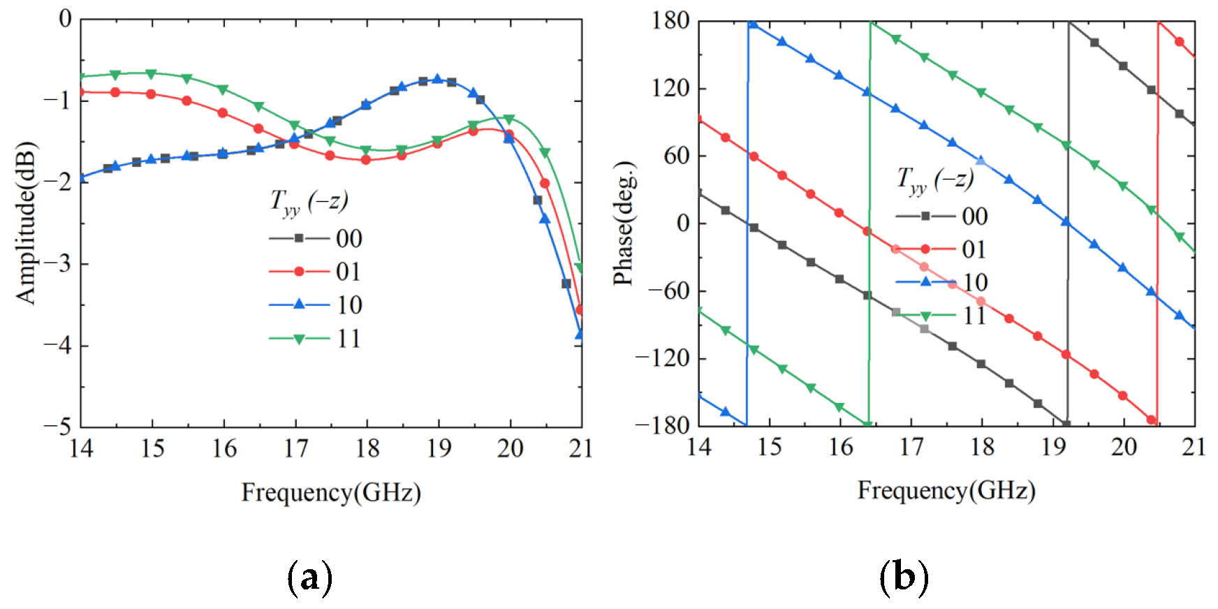
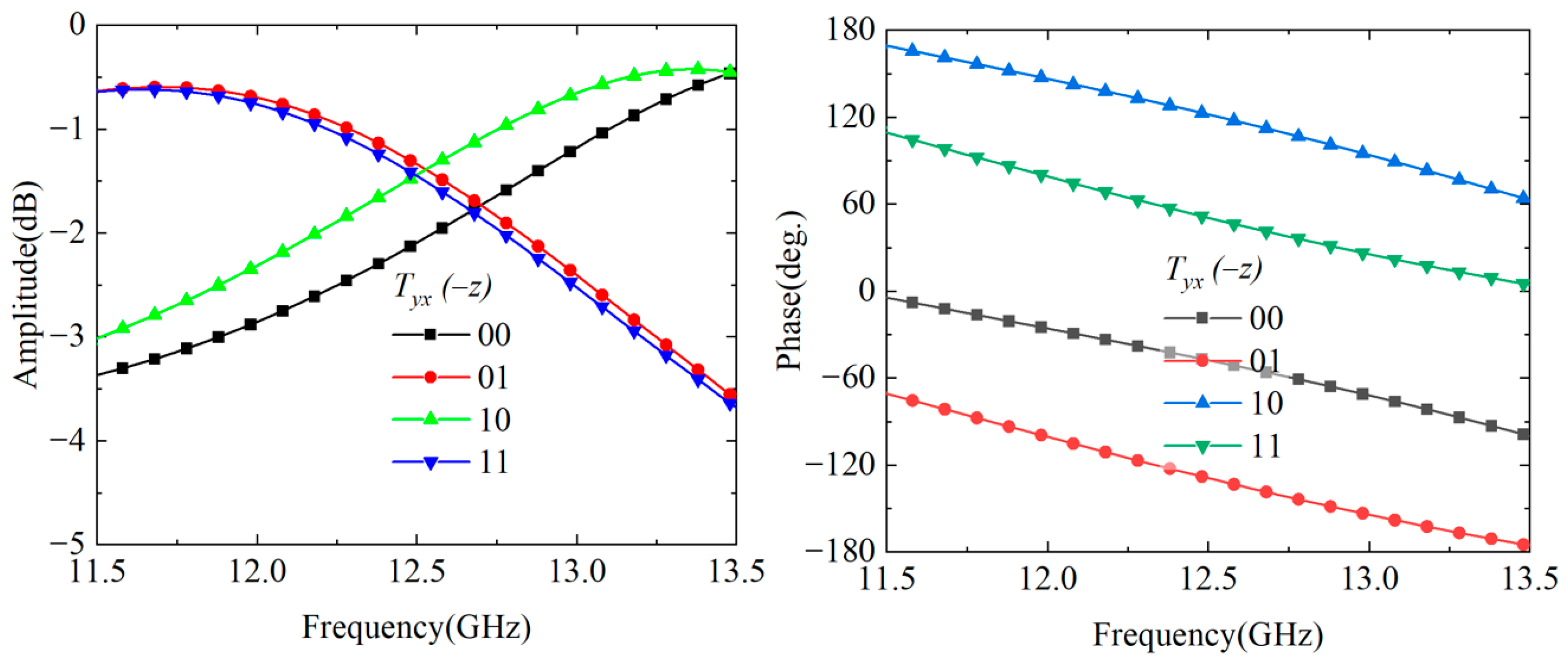
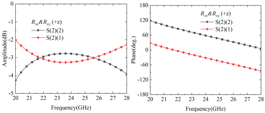
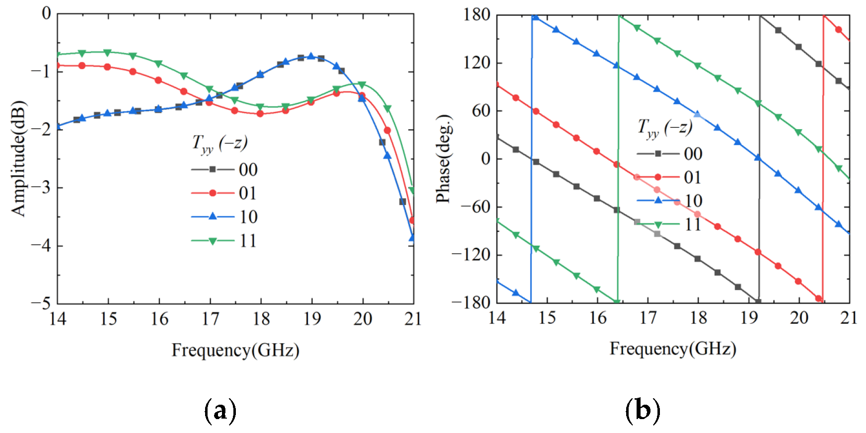
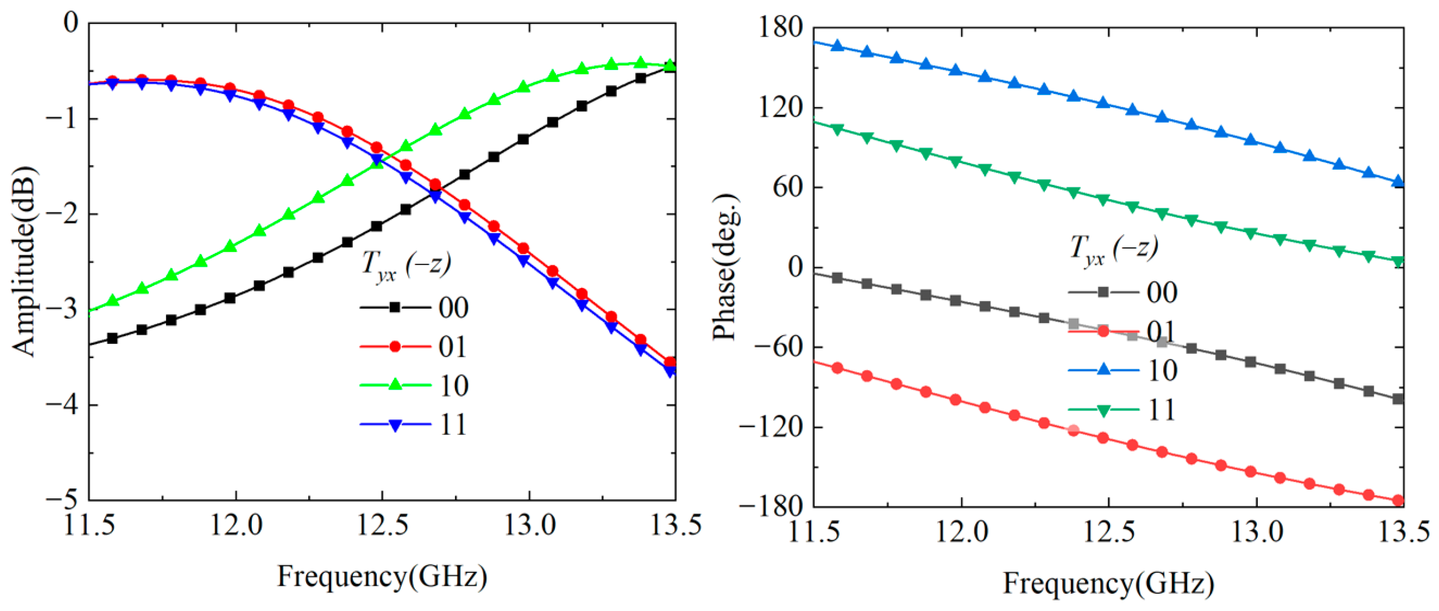
2.2. Bidirectional Cross-Polarization Transmission Regulation
2.3. Linear-Circular Polarization Conversion
3. Metasurface Design and Results
3.1. Multifunctional Phase Encoding
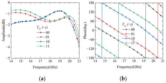
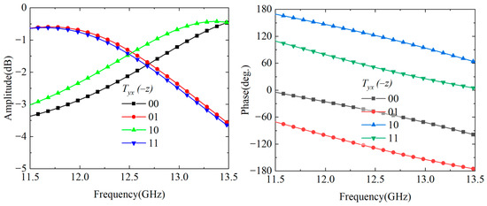
3.2. Simulated and Test Results
4. Conclusions
Author Contributions
Funding
Data Availability Statement
Conflicts of Interest
References
- McDonnell, C.; Deng, J.; Sideris, S.; Ellenbogen, T.; Li, G. Functional THz emitters based on Pancharatnam-Berry phase nonlinear metasurfaces. Nat. Commun. 2021, 12, 30. [Google Scholar] [CrossRef] [PubMed]
- Feng, R.; Yu, Y.; Wu, D.; Tan, Q.; Burokur, S.N. Full-Space three-dimensional holograms enabled by a reflection–transmission Integrated reconfigurable metasurface. Nanomaterials 2025, 15, 1120. [Google Scholar] [CrossRef]
- Chen, H.T.; Taylor, A.J.; Yu, N. A review of metasurfaces: Physics and applications. Rep. Prog. Phys. 2016, 79, 076401. [Google Scholar] [CrossRef]
- Wang, S.; Wu, P.C.; Su, V.C.; Lai, Y.C.; Chen, M.K.; Kuo, H.Y.; Chen, B.H.; Chen, Y.H.; Huang, T.T.; Wang, J.H.; et al. A broadband achromatic metalens in the visible. Nat. Nanotechnol. 2018, 13, 227. [Google Scholar] [CrossRef]
- Chen, W.T.; Zhu, A.Y.; Sanjeev, V.; Khorasaninejad, M.; Shi, Z.; Lee, E.; Capasso, F. A broadband achromatic metalens for focusing and imaging in the visible. Nat. Nanotechnol. 2018, 13, 220–226. [Google Scholar] [CrossRef]
- Khorasaninejad, M.; Chen, W.T.; Devlin, R.C.; Oh, J.; Zhu, A.Y.; Capasso, F. Metalenses at visible wavelengths: Diffraction-limited focusing and subwavelength resolution imaging. Science 2016, 352, 1190. [Google Scholar] [CrossRef]
- Arbabi, A.; Horie, Y.; Bagheri, M.; Faraon, A. Dielectric metasurfaces for complete control of phase and polarization with subwavelength spatial resolution and high transmission. Nat. Nanotechnol. 2015, 10, 937. [Google Scholar] [CrossRef]
- Kou, W.; Zhang, Y.; Chen, T.; Yang, Z.; Liang, S. Multifunctional linear-polarized terahertz focusing metasurface. Microw. Opt. Technol. Lett. 2020, 62, 2721. [Google Scholar]
- Liu, M.; Yang, J.; Du, Z.; Xin, J.; Song, Z. Tripolarization-channel holograms generated by terahertz reflective bilayer-metasurface. Opt. Laser Eng. 2025, 186, 108763. [Google Scholar] [CrossRef]
- Yang, L.J.; Li, J. Full-space terahertz regulation metasurface. Opt. Eng. 2022, 61, 047105. [Google Scholar] [CrossRef]
- Shang, G.; Wang, Z.; Li, H.; Zhang, K.; Wu, Q.; Burokur, S.N.; Ding, X. Metasurface holography in the microwave regime. Photonics 2021, 8, 135. [Google Scholar] [CrossRef]
- Valagiannopoulos, C. Causality implications for absorption by EM metasurfaces. Nanomaterials 2025, 15, 793. [Google Scholar] [CrossRef]
- Chen, M.-H.; Chen, B.-W.; Xu, K.-L.; Su, V.-C. Wide-angle optical metasurface for vortex beam generation. Nanomaterials 2023, 13, 2680. [Google Scholar] [CrossRef]
- Hu, S.; Li, M.; Xu, J.; Wang, Y.; Zhang, L.; Chen, H.; Liu, W. Electromagnetic metamaterial agent. Light Sci. Appl. 2025, 14, 12. [Google Scholar] [CrossRef] [PubMed]
- Santonocito, A.; Patrizi, B.; Toci, G. Recent advances in tunable metasurfaces and their application in optics. Nanomaterials 2023, 13, 1633. [Google Scholar] [CrossRef]
- Chen, K.; Feng, Y.; Monticone, F.; Zhao, J.; Zhu, B.; Jiang, T.; Zhang, L.; Kim, Y.; Ding, X.; Zhang, S.; et al. A reconfigurable active Huygens’ metalens. Adv. Mater. 2017, 29, 1606422. [Google Scholar] [CrossRef]
- Zhang, T.; Wang, G.; Cong, L.; Singh, R. Dielectric metasurface Fresnel zone plates for polarization conversion. Adv. Mater. 2017, 29, 1606422. [Google Scholar] [CrossRef]
- Hao, H.; Ling, Q.; Ran, J.; Qin, X.; Wang, B. Frequency multiplexed metasurface for polarization conversion in full-space. Opt. Mater. 2022, 134, 113168. [Google Scholar] [CrossRef]
- Zhan, J.; Zhang, Y.; Li, Q.; Song, Z. Broadband multifunctional metasurface for dynamic wavefront modulation. Opt. Laser Eng. 2025, 194, 193. [Google Scholar] [CrossRef]
- Yang, H.; Wang, S.C.; Li, P.; He, Y.; Zhang, Y.J. A broadband multifunctional reconfigurable polarization conversion metasurface. IEEE Trans. Antennas Propag. 2023, 71, 5759. [Google Scholar] [CrossRef]
- Prakash, S.; Kumar, A.; Singh, R.; Tan, E.L.; Yang, K.L. Electromechanically Reconfigurable Terahertz Stereo Metasurfaces. Adv. Mater. 2024, 36, 2402069. [Google Scholar] [CrossRef] [PubMed]
- Cui, T.J.; Qi, M.Q.; Wan, X.; Zhao, J.; Cheng, Q. Coding metamaterials, digital metamaterials and programmable metamaterials. Light Sci. Appl. 2014, 3, e218. [Google Scholar] [CrossRef]
- Zhang, L.; Chen, X.Q.; Liu, S.; Zhang, Q.; Zhao, J.; Dai, J.Y.; Bai, G.D.; Wan, X.; Cheng, Q.; Castaldi, G.; et al. Space-time-coding digital metasurfaces. Nat. Commun. 2018, 9, 4334. [Google Scholar] [CrossRef]
- Zhang, N.; Chen, K.; Zhao, J.; Hu, Q.; Tang, K.; Zhao, J.; Jiang, T.; Feng, Y. A dual-polarized reconfigurable reflectarray antenna based on dual-channel programmable metasurface. IEEE Trans. Antennas Propag. 2022, 70, 7403. [Google Scholar] [CrossRef]
- Wang, L.; Chen, M.; Cui, T.J.; Zhang, L.; Zhao, J. A dual-programmable metasurface with duplex beam steering for full-space terahertz communications. Laser Photonics Rev. 2025, 19, 2500480. [Google Scholar] [CrossRef]
- Jordaan, J.; Minovich, A.E.; Neshev, D.; Staude, I. Design of multilayer Huygens’ metasurfaces for large-area multiwavelength and polarization-insensitive metalenses. Opt. Express 2025, 33, 33643–33654. [Google Scholar] [CrossRef]
- Avayu, O.; Almeida, E.; Prior, Y.; Ellenbogen, T. Composite functional metasurfaces for multispectral achromatic optics. Nat. Commun. 2017, 8, 14992. [Google Scholar] [CrossRef]
- Almeida, E.; Bitton, O.; Prior, Y. Nonlinear metamaterials for holography. Nat. Commun. 2016, 7, 12533. [Google Scholar] [CrossRef]
- Ma, Z.; Tian, T.; Liao, Y.; Tang, S.; Li, J.; Wang, G.; Zeng, C.; Cui, T.J. Electrically switchable 2N-channel wave-front control for certain functionalities with N cascaded polarization-dependent metasurfaces. Nat. Commun. 2024, 15, 8370. [Google Scholar] [CrossRef]
- Valizade Shahmirzadi, A.; Kishk, A.A. OAM carrying vortex beam mode interconversion using modular cascaded transmitarrays. IEEE Trans. Microw. Theory Tech. 2022, 70, 3591. [Google Scholar] [CrossRef]
- Zhang, X.; Li, T.; Zhou, H.; Li, Y.; Li, J.; Li, X.; Wang, Y.; Huang, L. Switchable diffraction pattern based on cascaded metasurfaces. Laser Photonics Rev. 2024, 18, 2300887. [Google Scholar] [CrossRef]
- Menzel, C.; Helgert, C.; Rockstuhl, C.; Kley, E.B.; Tünnermann, A.; Pertsch, T.; Lederer, F. Advanced Jones calculus for the classification of periodic metamaterials. Phys. Rev. A 2010, 82, 053811. [Google Scholar] [CrossRef]
- Pfeiffer, C.; Grbic, A. Cascaded metasurfaces for complete phase and polarization control. Phys. Rev. Lett. 2013, 110, 197401. [Google Scholar] [CrossRef]
- Jiang, Y.; Liu, L.; Li, S.; Tang, C.; Luo, Z.; Zhu, Z.; Cao, Y.; Gu, C.; Li, Z. Highly Efficient Decoupled Triple-Channel OAM Generation with a Single-Layer Shared Aperture Reflective Metasurface. Adv. Opt. Mater. 2023, 11, 2202071. [Google Scholar] [CrossRef]
- Zhang, C.; Wang, G.; Xu, H.X.; Tang, S.; Cai, T.; Li, H.; Wang, S.; Zhou, H.; Kaminer, I.; Qiu, C.W. Helicity-Dependent Multifunctional Metasurfaces for Full-Space Wave Control. Adv. Opt. Mater. 2020, 8, 1901719. [Google Scholar] [CrossRef]
- Zhang, Z.; Wang, J.; Zhu, R.; Zhang, D.; Liu, J.; Guo, J.; Liu, Y.; Wang, Y. Multifunctional full-space metasurface controlled by frequency, polarization and incidence angle. Opt. Express 2021, 29, 7544–7556. [Google Scholar] [CrossRef]
- Xu, P.; Zhang, K.; Liu, H.; Tang, Y.; Li, Y.; Jiang, L. Dual-band metasurface generating multiple OAM beams independently in full polarizations. Opt. Express 2023, 31, 32637–32654. [Google Scholar] [CrossRef]
- Pan, Y.; Lan, F.; Zhang, Y.; Yang, M.; Wang, L.; Xu, H.; Shi, X.; Zhou, H.; Zeng, H.; Liang, S.; et al. Dual-band multifunctional coding metasurface with a mingled anisotropic aperture for polarized manipulation in full space. Opt. Express 2022, 30, 28487–28503. [Google Scholar] [CrossRef]

























Disclaimer/Publisher’s Note: The statements, opinions and data contained in all publications are solely those of the individual author(s) and contributor(s) and not of MDPI and/or the editor(s). MDPI and/or the editor(s) disclaim responsibility for any injury to people or property resulting from any ideas, methods, instructions or products referred to in the content. |
© 2025 by the authors. Licensee MDPI, Basel, Switzerland. This article is an open access article distributed under the terms and conditions of the Creative Commons Attribution (CC BY) license (https://creativecommons.org/licenses/by/4.0/).
Share and Cite
Huang, T.; Huang, S.; Wen, Z.; Jiang, W.; Wang, J.; Luo, Y.; Wu, Z. Multifunctional Metasurface Based on Cascaded Multilayer Modules. Nanomaterials 2025, 15, 1563. https://doi.org/10.3390/nano15201563
Huang T, Huang S, Wen Z, Jiang W, Wang J, Luo Y, Wu Z. Multifunctional Metasurface Based on Cascaded Multilayer Modules. Nanomaterials. 2025; 15(20):1563. https://doi.org/10.3390/nano15201563
Chicago/Turabian StyleHuang, Tongxing, Shuai Huang, Zhijin Wen, Wei Jiang, Jianxun Wang, Yong Luo, and Zewei Wu. 2025. "Multifunctional Metasurface Based on Cascaded Multilayer Modules" Nanomaterials 15, no. 20: 1563. https://doi.org/10.3390/nano15201563
APA StyleHuang, T., Huang, S., Wen, Z., Jiang, W., Wang, J., Luo, Y., & Wu, Z. (2025). Multifunctional Metasurface Based on Cascaded Multilayer Modules. Nanomaterials, 15(20), 1563. https://doi.org/10.3390/nano15201563

