Dual-Effect of S-Scheme Heterojunction and CQDs Strengthens the Charge Separation and Transfer in CQDs-g-C3N4/TiO2 Photocatalysts Toward Efficient Tetracycline Degradation
Abstract
1. Introduction
2. Materials and Methods
2.1. Materials
2.2. The Synthesis of TiO2
2.3. The Synthesis of g-C3N4
2.4. The Synthesis of g-C3N4/TiO2 S-Scheme Heterojunction
2.5. The Synthesis of CQDs
2.6. The Preparation of yCQDs-g-C3N4/TiO2
2.7. Characterization and Measurements
3. Results and Discussion
3.1. Structure and Morphology
3.2. The Valence States and Element Composition
3.3. The Photocatalytic Performance
3.3.1. The Effect of g-C3N4 and CQDs Ratio on the Photoatalytic Performance
3.3.2. The Cyclic Experiment
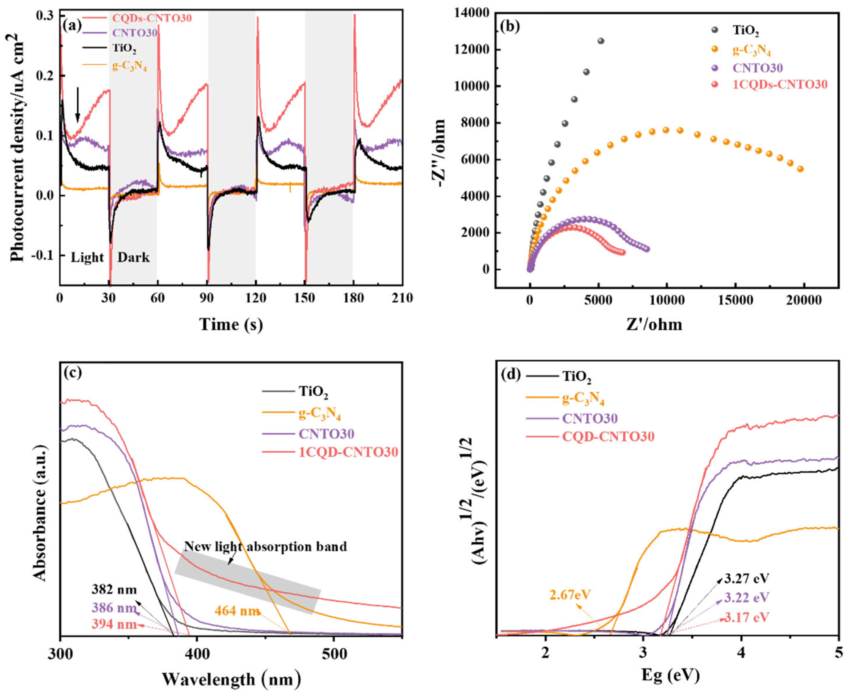
3.3.3. Optoelectronic Properties
3.3.4. The Band Structure Analysis
3.3.5. Reactive Species
3.3.6. The Mechanism of Photocatalytic Degradation
4. Conclusions
Supplementary Materials
Author Contributions
Funding
Data Availability Statement
Conflicts of Interest
References
- Kovalakova, P.; Cizmas, L.; McDonald, T.J.; Marsalek, B.; Feng, M.; Sharma, V.K. Occurrence and toxicity of antibiotics in the aquatic environment: A review. Chemosphere 2020, 251, 126351. [Google Scholar] [CrossRef]
- Han, J.; He, S.; Lichtfouse, E. Waves of pharmaceutical waste. Environ. Chem. Lett. 2023, 21, 1251–1255. [Google Scholar] [CrossRef]
- Zhang, C.; Chen, Y.; Chen, S.; Guan, X.; Zhong, Y.; Yang, Q. Occurrence, risk assessment, and in vitro and in vivo toxicity of antibiotics in surface water in China. Ecotoxicol. Environ. Saf. 2023, 255, 114817. [Google Scholar] [CrossRef] [PubMed]
- Daghrir, R.; Drogui, P. Tetracycline antibiotics in the environment: A review. Environ. Chem. Lett. 2013, 11, 209–227. [Google Scholar] [CrossRef]
- Amangelsin, Y.; Semenova, Y.; Dadar, M.; Aljofan, M.; Bjørklund, G. The Impact of Tetracycline Pollution on the Aquatic Environment and Removal Strategies. Antibiotics 2023, 12, 440. [Google Scholar] [CrossRef] [PubMed]
- Zhang, X.; Cai, T.; Zhang, S.; Hou, J.; Cheng, L.; Chen, W.; Zhang, Q. Contamination distribution and non-biological removal pathways of typical tetracycline antibiotics in the environment: A review. J. Hazard. Mater. 2024, 463, 132862. [Google Scholar] [CrossRef] [PubMed]
- Binh, V.N.; Dang, N.; Anh, N.T.K.; Ky, L.X.; Thai, P.K. Antibiotics in the aquatic environment of Vietnam: Sources, concentrations, risk and control strategy. Chemosphere 2018, 197, 438–450. [Google Scholar] [CrossRef]
- Anh, H.Q.; Le, T.P.Q.; Le, N.D.; Lu, X.X.; Duong, T.T.; Garnier, J.; Rochelle-Newall, E.; Zhang, S.; Oh, N.H.; Oeurng, C.; et al. Antibiotics in surface water of East and Southeast Asian countries: A focused review on contamination status, pollution sources, potential risks, and future perspectives. Sci. Total Environ. 2021, 764, 142865. [Google Scholar] [CrossRef]
- Lyu, J.; Yang, L.; Zhang, L.; Ye, B.; Wang, L. Antibiotics in soil and water in China—A systematic review and source analysis. Environ. Pollut. 2020, 266, 115147. [Google Scholar] [CrossRef]
- Zhou, Y.; Ji, M.; Liang, S.; Song, J.; Wu, H.; Liu, E.; Wang, B.; Wang, C.; Zhou, B.; Li, Z. SubPc-Br/BiOI S-scheme heterojunctions: Efficient charge separation for enhanced photocatalytic degradation of tetracycline. RSC Adv. 2025, 15, 16799–16813. [Google Scholar] [CrossRef]
- Anjali, R.; Shanthakumar, S. Insights on the current status of occurrence and removal of antibiotics in wastewater by advanced oxidation processes. J. Environ. Manag. 2019, 246, 51–62. [Google Scholar] [CrossRef]
- Wei, Z.; Liu, J.; Shangguan, W. A review on photocatalysis in antibiotic wastewater: Pollutant degradation and hydrogen production. Chin. J. Catal. 2020, 41, 1440–1450. [Google Scholar] [CrossRef]
- Ali, S.; Ismail, P.M.; Khan, M.; Dang, A.; Ali, S.; Zada, A.; Raziq, F.; Khan, I.; Khan, M.S.; Ateeq, M.; et al. Charge transfer in TiO2-based photocatalysis: Fundamental mechanisms to material strategies. Nanoscale 2024, 16, 4352–4377. [Google Scholar] [CrossRef]
- Truppi, A.; Petronella, F.; Placido, T.; Striccoli, M.; Agostiano, A.; Curri, M.L.; Comparelli, R. Visible-Light-Active TiO2-Based Hybrid Nanocatalysts for Environmental Applications. Catalysts 2017, 7, 100. [Google Scholar] [CrossRef]
- Meroni, D.; Galloni, M.G.; Cionti, C.; Cerrato, G.; Falletta, E.; Bianchi, C.L. Efficient Day-and-Night NO2 Abatement by Polyaniline/TiO2 Nanocomposites. Materials 2023, 16, 1304. [Google Scholar] [CrossRef]
- Guo, Q.; Ma, Z.; Zhou, C.; Ren, Z.; Yang, X. Single Molecule Photocatalysis on TiO2 Surfaces. Chem. Rev. 2019, 119, 11020–11041. [Google Scholar] [CrossRef] [PubMed]
- Meng, A.; Zhang, L.; Cheng, B.; Yu, J. Dual Cocatalysts in TiO2 Photocatalysis. Adv. Mater. 2019, 31, e1807660. [Google Scholar] [CrossRef]
- Zhang, L.; Zhang, J.; Yu, H.; Yu, J. Emerging S-Scheme Photocatalyst. Adv. Mater. 2022, 34, 2107668. [Google Scholar] [CrossRef] [PubMed]
- Zhang, L.; Zhang, J.; Yu, J.; García, H. Charge-transfer dynamics in S-scheme photocatalyst. Nat. Rev. Chem. 2025, 9, 328–342. [Google Scholar] [CrossRef]
- Zhu, B.; Sun, J.; Zhao, Y.; Zhang, L.; Yu, J. Construction of 2D S-Scheme Heterojunction Photocatalyst. Adv. Mater. 2024, 36, e2310600. [Google Scholar] [CrossRef] [PubMed]
- Cheng, C.; Zhang, J.; Zhu, B.; Liang, G.; Zhang, L.; Yu, J. Verifying the Charge-Transfer Mechanism in S-Scheme Heterojunctions Using Femtosecond Transient Absorption Spectroscopy. Angew. Chem. Int. Ed. Engl. 2023, 62, e202218688. [Google Scholar] [CrossRef] [PubMed]
- Yang, Y.; Liu, J.; Gu, M.; Cheng, B.; Wang, L.; Yu, J. Bifunctional TiO2/COF S-scheme photocatalyst with enhanced H2O2 production and furoic acid synthesis mechanism. Appl. Catal. B Environ. 2023, 333, 122780. [Google Scholar] [CrossRef]
- Chen, D.; Cheng, Y.; Zhou, N.; Chen, P.; Wang, Y.; Li, K.; Huo, S.; Cheng, P.; Peng, P.; Zhang, R.; et al. Photocatalytic degradation of organic pollutants using TiO2-based photocatalysts: A review. J. Clean. Prod. 2020, 268, 121725. [Google Scholar] [CrossRef]
- Su, X.; Zhang, X.; Gao, M.; Li, X.; Chang, J.; Hu, L.; Geng, D.; Ren, Y.; Wei, T.; Feng, J. Electron deficient Bi3+δ serves as N2 absorption sites and inhibits carriers recombination to enhance N2 photo-fixation in BiOBr/TiO2 S-scheme heterojunction. J. Colloid Interface Sci. 2024, 663, 61–72. [Google Scholar] [CrossRef]
- Li, C.; Gu, M.; Gao, M.; Liu, K.; Zhao, X.; Cao, N.; Feng, J.; Ren, Y.; Wei, T.; Zhang, M. N-doping TiO2 hollow microspheres with abundant oxygen vacancies for highly photocatalytic nitrogen fixation. J. Colloid Interface Sci. 2022, 609, 341–352. [Google Scholar] [CrossRef]
- Moon, H.S.; Hsiao, K.C.; Wu, M.C.; Yun, Y.; Hsu, Y.J.; Yong, K. Spatial separation of cocatalysts on Z-Scheme organic/inorganic heterostructure hollow spheres for enhanced photocatalytic H2 evolution and in-depth analysis of the charge-transfer mechanism. Adv. Mater. 2023, 35, 2200172. [Google Scholar] [CrossRef]
- Li, Z.; Liu, E.; Bozal-Ginesta, C.; Ma, H.; Chen, H.; Wang, B. Intermolecular H-bonding and tetrameric π-stacking enable dual “mortise-and-tenon” jointed S-scheme supramolecular arrays for efficient carrier separation. Appl. Catal. B Environ. 2025, 379, 125713. [Google Scholar] [CrossRef]
- He, F.; Meng, A.; Cheng, B.; Ho, W.; Yu, J. Enhanced photocatalytic H2-production activity of WO3/TiO2 step-scheme heterojunction by graphene modification. Chin. J. Catal. 2020, 41, 9–20. [Google Scholar] [CrossRef]
- Khan, M.A.; Mutahir, S.; Shaheen, I.; Qunhui, Y.; Bououdina, M.; Humayun, M. Recent advances over the doped g-C3N4 in photocatalysis: A review. Coord. Chem. Rev. 2024, 522, 216227. [Google Scholar] [CrossRef]
- Li, Y.; Zhou, M.; Cheng, B.; Shao, Y. Recent advances in g-C3N4-based heterojunction photocatalysts. J. Mater. Sci. Technol. 2020, 56, 1–17. [Google Scholar] [CrossRef]
- Gao, M.; Feng, J.; Zhang, Z.; Gu, M.; Wang, J.; Zeng, W.; Lv, Y.; Ren, Y.; Wei, T.; Fan, Z. Wrinkled Ultrathin Graphitic C3N4 Nanosheets for Photocatalytic Degradation of Organic Wastewater. ACS Appl. Nano Mater. 2018, 1, 6733–6741. [Google Scholar] [CrossRef]
- Fu, J.; Xu, Q.; Low, J.; Jiang, C.; Yu, J. Ultrathin 2D/2D WO3/g-C3N4 step-scheme H2-production photocatalyst. Appl. Catal. B Environ. 2019, 243, 556–565. [Google Scholar] [CrossRef]
- Ong, W.J.; Tan, L.L.; Ng, Y.H.; Yong, S.T.; Chai, S.P. Graphitic Carbon Nitride (g-C3N4)-Based Photocatalysts for Artificial Photosynthesis and Environmental Remediation: Are We a Step Closer To Achieving Sustainability? Chem. Rev. 2016, 116, 7159–7329. [Google Scholar] [CrossRef]
- Gao, M.; Zhao, M.; Yang, Q.; Bao, L.; Chen, L.; Liu, W.; Feng, J. A Review on Pre-, In-Process, and Post-Synthetic Strategies to Break the Surface Area Barrier in g-C3N4 for Energy Conversion and Environmental Remediation. Nanomaterials 2025, 15, 956. [Google Scholar] [CrossRef]
- Yu, T.; Yang, B.; Zhang, R.; Yang, C.; Arramel, A.; Jiang, J. Fabrication of a novel Z-S-scheme photocatalytic fuel cell with the Z-scheme TiO2/GO/g-C3N4 photoanode and S-scheme BiOAc1−xBrx/BiOBr photocathode for TC degradation. J. Mater. Sci. Technol. 2024, 188, 11–26. [Google Scholar] [CrossRef]
- Xu, C.; Li, D.; Liu, X.; Ma, R.; Sakai, N.; Yang, Y.; Lin, S.; Yang, J.; Pan, H.; Huang, J.; et al. Direct Z-scheme construction of g-C3N4 quantum dots/TiO2 nanoflakes for efficient photocatalysis. Chem. Eng. J. 2022, 430, 132861. [Google Scholar] [CrossRef]
- Wang, J.; Ren, P.; Du, Y.; Zhao, X.; Chen, Z.; Pei, L.; Jin, Y. Construction of tubular g-C3N4/TiO2 S-scheme photocatalyst for high-efficiency degradation of organic pollutants under visible light. J. Alloys Compd. 2023, 947, 169659. [Google Scholar] [CrossRef]
- Wang, J.; Wang, G.; Cheng, B.; Yu, J.; Fan, J. Sulfur-doped g-C3N4/TiO2 S-scheme heterojunction photocatalyst for Congo Red photodegradation. Chin. J. Catal. 2021, 42, 56–68. [Google Scholar] [CrossRef]
- Yan, J.; Wu, H.; Chen, H.; Zhang, Y.; Zhang, F.; Liu, S.F. Fabrication of TiO2/C3N4 heterostructure for enhanced photocatalytic Z-scheme overall water splitting. Appl. Catal. B Environ. 2016, 191, 130–137. [Google Scholar] [CrossRef]
- Jiang, Y.; Sun, Z.; Chen, Q.; Cao, C.; Zhao, Y.; Yang, W.; Zeng, L.; Huang, L. Fabrication of 0D/2D TiO2 Nanodots/g-C3N4 S-scheme heterojunction photocatalyst for efficient photocatalytic overall water splitting. Appl. Surf. Sci. 2022, 571, 151287. [Google Scholar] [CrossRef]
- Jiang, Z.; Long, Q.; Cheng, B.; He, R.; Wang, L. 3D ordered macroporous sulfur-doped g-C3N4/TiO2 S-scheme photocatalysts for efficient H2O2 production in pure water. J. Mater. Sci. Technol. 2023, 162, 1–10. [Google Scholar]
- Ren, H.; Qi, F.; Labidi, A.; Zhao, J.; Wang, H.; Xin, Y.; Luo, J.; Wang, C. Chemically bonded carbon quantum dots/Bi2WO6 S-scheme heterojunction for boosted photocatalytic antibiotic degradation: Interfacial engineering and mechanism insight. Appl. Catal. B Environ. 2023, 330, 122587. [Google Scholar] [CrossRef]
- Yan, C.; Zhao, Z.; Jin, W.; Yu, Q.; Yu, J.; Ran, J.; Bi, S.; Cheng, D.; Li, D.; Cai, G.; et al. Carbon quantum dots-doped g-C3N4 nanocomposites with enhanced piezoelectric catalytic performance. Compos. Commun. 2023, 37, 101466. [Google Scholar] [CrossRef]
- Shu, S.; Wang, H.; Guo, X.; Wang, Y.; Zeng, X. Efficient photocatalytic degradation of sulfamethazine by Cu-CuxO/TiO2 composites: Performance, photocatalytic mechanism and degradation pathways. Sep. Purif. Technol. 2023, 323, 124458. [Google Scholar]
- Wei, T.; Xu, J.; Kan, C.; Zhang, L.; Zhu, X. Au tailored on g-C3N4/TiO2 heterostructure for enhanced photocatalytic performance. J. Alloys Compd. 2022, 894, 162338. [Google Scholar]
- Liu, H.; Liang, J.; Fu, S.; Li, L.; Cui, J.; Gao, P.; Zhao, F.; Zhou, J. N doped carbon quantum dots modified defect-rich g-C3N4 for enhanced photocatalytic combined pollutions degradation and hydrogen evolution. Colloids Surf. A Physicochem. Eng. Asp. 2020, 591, 124552. [Google Scholar]
- Mozdbar, A.; Nouralishahi, A.; Fatemi, S.; Talatori, F.S. The impact of Carbon Quantum Dots (CQDs) on the photocatalytic activity of TiO2 under UV and visible light. J. Water Process Eng. 2023, 51, 103465. [Google Scholar] [CrossRef]
- Ren, H.; Labidi, A.; Sial, A.; Gao, T.; Xu, X.; Liang, J.; Kang, H.; Liao, Y.; Zhao, K.; Padervand, M.; et al. Carbon quantum dots modified Z and S–Scheme heterojunctions for pharmaceutical contaminants photodegradation: State–of–the–art, benefits, and limitations. Sep. Purif. Technol. 2024, 346, 127508. [Google Scholar]
- Wang, Q.-S.; Yuan, Y.-C.; Li, C.-F.; Zhang, Z.-R.; Xia, C.; Pan, W.-G.; Liu, L.; Guo, R.-T. Carbon quantum dot-modified TiO2/SrTiO3 heterojunction for boosting photocatalytic CO2 reduction. Renew. Energy 2024, 231, 120997. [Google Scholar] [CrossRef]
- Akbar, K.; Moretti, E.; Vomiero, A. Carbon Dots for Photocatalytic Degradation of Aqueous Pollutants: Recent Advancements. Adv. Opt. Mater. 2021, 9, 2100532. [Google Scholar] [CrossRef]
- Zhao, C.; Zhao, Z.; Liang, Y.; Fu, J. Bi/BiOI/carbon quantum dots nano-sheets with superior photocatalysis. RSC Adv. 2023, 13, 30520–30527. [Google Scholar] [CrossRef]
- Che, H.; Liu, C.; Hu, W.; Hu, H.; Li, J.; Dou, J.; Shi, W.; Li, C.; Dong, H. NGQD active sites as effective collectors of charge carriers for improving the photocatalytic performance of Z-scheme g-C3N4/Bi2WO6 heterojunctions. Catal. Sci. Technol. 2018, 8, 622–631. [Google Scholar] [CrossRef]
- Shi, W.; Hao, C.; Fu, Y.; Guo, F.; Tang, Y.; Yan, X. Enhancement of synergistic effect photocatalytic/persulfate activation for degradation of antibiotics by the combination of photo-induced electrons and carbon dots. Chem. Eng. J. 2022, 433, 133741. [Google Scholar] [CrossRef]
- Huang, Z.; Zhao, S.; Yu, Y. Experimental method to explore the adaptation degree of type-II and all-solid-state Z-scheme heterojunction structures in the same degradation system. Chin. J. Catal. 2020, 41, 1522–1534. [Google Scholar] [CrossRef]
- Alsalme, A.; Galal, A.; El-Sherbeny, E.F.; Soltan, A.; Abdel-Messih, M.; Ahmed, M. Fabrication of S-scheme TiO2/g-C3N4 nanocomposites for generation of hydrogen gas and removal of fluorescein dye. Diam. Relat. Mater. 2022, 122, 108819. [Google Scholar] [CrossRef]
- Wang, T.; Nie, C.; Ao, Z.; Wang, S.; An, T. Recent progress in g-C3N4 quantum dots: Synthesis, properties and applications in photocatalytic degradation of organic pollutants. J. Mater. Chem. A 2020, 8, 485–502. [Google Scholar] [CrossRef]
- Truong, H.B.; Huy, B.T.; Ray, S.K.; Lee, Y.I.; Cho, J.; Hur, J. Visible light-activated NGQD/nsC3N4/Bi2WO6 microsphere composite for effluent organic matter treatment. Chem. Eng. J. 2021, 415, 129024. [Google Scholar] [CrossRef]
- Wu, S.; He, C.; Wang, L.; Zhang, J. High-efficiency electron tandem flow mode on carbon nitride/titanium dioxide heterojunction for visible light nitrogen photofixation. Chem. Eng. J. 2022, 443, 136425. [Google Scholar] [CrossRef]
- Ni, J.; Wang, W.; Liu, D.; Zhu, Q.; Jia, J.; Tian, J.; Li, Z.; Wang, X.; Xing, Z. Oxygen vacancy-mediated sandwich-structural TiO2−x /ultrathin g-C3N4/TiO2−x direct Z-scheme heterojunction visible-light-driven photocatalyst for efficient removal of high toxic tetracycline antibiotics. J. Hazard. Mater. 2021, 408, 124432. [Google Scholar] [CrossRef]
- Li, J.; Du, L.; Jia, S.; Sui, G.; Zhang, Y.; Zhuang, Y.; Li, B.; Xing, Z. Synthesis and photocatalytic properties of visible-light-responsive, three-dimensional, flower-like La-TiO2/g-C3N4 heterojunction composites. RSC Adv. 2018, 8, 29645–29653. [Google Scholar] [CrossRef]
- Su, X.; Zhang, X.; Hu, L.; Gao, M.; Yao, S.; Lu, Y.; Zhao, M.; Zhou, W.; Zhang, H.; Ren, Y.; et al. Lattice disorder driving the electron migration from tetracycline to TiO2 via ligand-to-metal charge transfer to generate superoxide radical. Sep. Purif. Technol. 2025, 353, 128614. [Google Scholar] [CrossRef]
- Zhang, J.; Toe, C.Y.; Kumar, P.; Scott, J.; Amal, R. Engineering defects in TiO2 for the simultaneous production of hydrogen and organic products. Appl. Catal. B Environ. Energy 2023, 333, 122765. [Google Scholar] [CrossRef]
- Qin, X.; Zhang, L.; Xu, M.; Li, R.; Jia, T.; Zhang, C.; Wang, W.; Che, C.; Jiang, B.; Xu, S.; et al. Efficient photocatalytic production of H2O2 over K-doped carbon nitride via magnetic field-modulated oxygen reduction. Appl. Catal. B Environ. Energy 2025, 362, 124723. [Google Scholar] [CrossRef]
- Zhang, X.; Li, W.; Hu, L.; Gao, M.; Feng, J. A Tight-Connection g-C3N4/BiOBr (001) S-Scheme Heterojunction Photocatalyst for Boosting Photocatalytic Degradation of Organic Pollutants. Nanomaterials 2024, 14, 1071. [Google Scholar] [CrossRef]
- Ma, J.; Xu, L.; Yin, Z.; Li, Z.; Dong, X.; Song, Z.; Chen, D.; Hu, R.; Wang, Q.; Han, J.; et al. “One stone four birds” design atom co-sharing BiOBr/Bi2S3 S-scheme heterojunction photothermal synergistic enhanced full-spectrum photocatalytic activity. Appl. Catal. B Environ. Energy 2024, 344, 123601. [Google Scholar] [CrossRef]
- Gu, W.; Lu, F.; Wang, C.; Kuga, S.; Wu, L.; Huang, Y.; Wu, M. Face-to-Face Interfacial Assembly of Ultrathin g-C3N4 and Anatase TiO2 Nanosheets for Enhanced Solar Photocatalytic Activity. ACS Appl. Mater. Interfaces 2017, 9, 28674–28684. [Google Scholar] [CrossRef]
- Liu, J.; Yuan, X.; Sun, J.; Ke, J.; Liu, B.; Wang, L. Creating triazine units to bridge carbon nitride with titania for enhanced hydrogen evolution performance. J. Colloid Interface Sci. 2022, 608, 2768–2778. [Google Scholar] [CrossRef] [PubMed]
- Wang, J.; Li, S.; Ma, P.; Guo, Z.; Ma, Q.; Zhao, Q.; Guo, Y.; Zhao, J.; Guan, G. Carbon quantum dots/Cu2O S-scheme heterojunction for enhanced photocatalytic degradation of tetracycline. Colloids Surf. A Physicochem. Eng. Asp. 2024, 690, 133779. [Google Scholar] [CrossRef]
- Yu, J.; Zhang, C.; Yang, Y.; Yi, G.; Fan, R.; Li, L.; Xing, B.; Liu, Q.; Jia, J.; Huang, G. Lignite-derived carbon quantum dot/TiO2 heterostructure nanocomposites: Photoinduced charge transfer properties and enhanced visible light photocatalytic activity. New J. Chem. 2019, 43, 18355–18368. [Google Scholar] [CrossRef]
- Li, Y.; Zhang, Q.; Lu, Y.; Song, Z.; Wang, C.; Li, D.; Tang, X.; Zhou, X. Surface hydroxylation of TiO2/g-C3N4 photocatalyst for photo-Fenton degradation of tetracycline. Ceram. Int. 2022, 48, 1306–1313. [Google Scholar] [CrossRef]
- Li, C.; Wu, J.; Wang, X.; Cai, Y.; Jia, R.; Wang, W.; Xia, S.; Li, L.; Chen, Z.; Jin, C.-C. One-step preparation of Z-scheme g-C3N4 nanorods/TiO2 microsphere with improved photodegradation of antibiotic residue. Ceram. Int. 2024, 50, 42127–42134. [Google Scholar] [CrossRef]
- Liu, H.; Zhang, H.; Dong, X.; Wu, C.; Lichtfouse, E. Removal of antibiotics from black water by a membrane filtration-visible light photocatalytic system. J. Water Process Eng. 2023, 53, 103605. [Google Scholar] [CrossRef]
- Yuan, A.; Lei, H.; Xi, F.; Liu, J.; Qin, L.; Chen, Z.; Dong, X. Graphene quantum dots decorated graphitic carbon nitride nanorods for photocatalytic removal of antibiotics. J. Colloid Interface Sci. 2019, 548, 56–65. [Google Scholar] [CrossRef] [PubMed]
- Yang, D.; Ye, Q.; Qu, C.; Meng, F.; Wang, L.; Li, Y. Enhanced hydrogen evolution and tetracycline degradation by a Z-scheme g-C3N4 nanosheets loaded CeO2 photocatalyst under visible light irradiation. J. Environ. Chem. Eng. 2024, 12, 112563. [Google Scholar] [CrossRef]
- Parga, B.; Ruiz-Gómez, M.; Rodríguez-González, V.; Vázquez, A.; Obregón, S. Nitrogen-rich g-C3N4 synthesized by simultaneous melamine/urea polycondensation for photocatalytic removal of tetracycline hydrochloride. Mater. Today Commun. 2025, 49, 114258. [Google Scholar] [CrossRef]
- Hernández-Uresti, D.B.; Vázquez, A.; Sanchez-Martinez, D.; Obregón, S. Performance of the polymeric g-C3N4 photocatalyst through the degradation of pharmaceutical pollutants under UV–vis irradiation. J. Photochem. Photobiol. A Chem. 2016, 324, 47–52. [Google Scholar] [CrossRef]
- Obregón, S.; Ruíz-Gómez, M.; Rodríguez-González, V.; Vázquez, A.; Hernández-Uresti, D. A novel type-II Bi2W2O9/g-C3N4 heterojunction with enhanced photocatalytic performance under simulated solar irradiation. Mater. Sci. Semicond. Process. 2020, 113, 105056. [Google Scholar] [CrossRef]
- Yang, D.; Feng, J.; Jiang, L.; Wu, X.; Sheng, L.; Jiang, Y.; Wei, T.; Fan, Z. Photocatalyst Interface Engineering: Spatially Confined Growth of ZnFe2O4 within Graphene Networks as Excellent Visible-Light-Driven Photocatalysts. Adv. Funct. Mater. 2015, 25, 7080–7087. [Google Scholar] [CrossRef]
- Gao, M.; Li, W.; Su, X.; Li, Z.; Ding, X.; Du, X.; Ren, Y.; Zhang, H.; Feng, J.; Wei, T. A regenerable Cu2O/BiOBr S-scheme heterojunction photocatalysts for efficient photocatalytic degradation of mixed organic pollutants. Sep. Purif. Technol. 2023, 313, 123447. [Google Scholar] [CrossRef]
- Shi, Y.; Zhao, R.; Yang, W.; Bu, Q.; Yang, L.; Tang, J. Interface-coupled supramolecular self-assembly 2D Z-scheme TiO2/g-C3N4 heterojunction for efficient degradation of tetracycline under visible light. J. Alloys Compd. 2025, 1018, 179252. [Google Scholar] [CrossRef]
- Huang, H.; Ouyang, H.; Han, T.; Wang, H.; Zheng, X. Construction of carbon quantum dots/single crystal TiO2 nanosheets with exposed {001} and {101} facets and their visible light driven catalytic activity. RSC Adv. 2019, 9, 3532–3541. [Google Scholar] [CrossRef] [PubMed]
- Davies, K.R.; Cherif, Y.; Pazhani, G.P.; Anantharaj, S.; Azzi, H.; Terashima, C.; Fujishima, A.; Pitchaimuthu, S. The upsurge of photocatalysts in antibiotic micropollutants treatment: Materials design, recovery, toxicity and bioanalysis. J. Photochem. Photobiol. C Photochem. Rev. 2021, 48, 100437. [Google Scholar] [CrossRef]
- Lu, Y.; Cai, Y.; Zhang, S.; Zhuang, L.; Hu, B.; Wang, S.; Chen, J.; Wang, X. Application of biochar-based photocatalysts for adsorption-(photo)degradation/reduction of environmental contaminants: Mechanism, challenges and perspective. Biochar 2022, 4, 45. [Google Scholar] [CrossRef]
- Kamble, S.; Agrawal, S.; Cherumukkil, S.; Sharma, V.; Jasra, R.V.; Munshi, P. Revisiting Zeta Potential, the Key Feature of Interfacial Phenomena, with Applications and Recent Advancements. ChemistrySelect 2022, 7, e202103084. [Google Scholar] [CrossRef]









| Reference | Photocatalyst | Degradation Removal Efficiency to TC (%) and k (min−1) | Degradation Conditions | Degradation Rate (υ) * |
|---|---|---|---|---|
| This work | 1CQDs-CNTO30 | 76.7% 0.0023 | CTC: 50 mg L−1; time: 60 min; mcat: 0.2 g L−1; | 3.2 × 10−3 |
| [70] | TiO2/g-C3N4 | 79.11% 0.01587 | CTC: 100 mg L−1; time: 100 min; mcat: 2 g L−1; | 3.96 × 10−4 |
| [71] | g-C3N4 NRs/TiO2 | 71% 0.0204 | CTC: 20 mg L−1; time: 60 min; mcat: 0.1 g L−1 | 2.37 × 10−3 |
| [72] | Membrane of g-C3N4/TiO2 | 66.1% | CTC: 50 μg L−1; time: 150 min; mcat: 0.03 wt% | 7.34 × 10−6 |
| [73] | GQDs/g-C3N4 | 80% 0.00128 | CTC: 15 mg L−1; time: 120 min; mcat: 1 g L−1 | 1.00 × 10−5 |
| [74] | g-C3N4 nanosheets | 83% 0.013 | CTC: 10 mg L−1; time: 120 min; mcat: 1 g L−1 | 6.92 × 10−5 |
| [75] | N-rich g-C3N4 | 98% 0.0394 | CTC: 30 mg L−1; time: 90 min; mcat: 0.5 g L−1 | 6.53 × 10−4 |
| [76] | g-C3N4 | 86% 0.0024 | CTC: 20 mg L−1; time: 360 min; mcat: 1 g L−1 | 4.78 × 10−5 |
| [77] | Bi2W2O9/g-C3N4 | 95% 0.04284 | CTC: 10 mg L−1; time: 90 min; mcat: 1 g L−1 | 1.06 × 10−4 |
Disclaimer/Publisher’s Note: The statements, opinions and data contained in all publications are solely those of the individual author(s) and contributor(s) and not of MDPI and/or the editor(s). MDPI and/or the editor(s) disclaim responsibility for any injury to people or property resulting from any ideas, methods, instructions or products referred to in the content. |
© 2026 by the authors. Licensee MDPI, Basel, Switzerland. This article is an open access article distributed under the terms and conditions of the Creative Commons Attribution (CC BY) license.
Share and Cite
Wang, K.; Su, X.; Zhou, Z.; Hu, L.; Li, H.; Long, J.; Feng, Y.; Zhang, X.; Zhang, J.; Feng, J. Dual-Effect of S-Scheme Heterojunction and CQDs Strengthens the Charge Separation and Transfer in CQDs-g-C3N4/TiO2 Photocatalysts Toward Efficient Tetracycline Degradation. Nanomaterials 2026, 16, 181. https://doi.org/10.3390/nano16030181
Wang K, Su X, Zhou Z, Hu L, Li H, Long J, Feng Y, Zhang X, Zhang J, Feng J. Dual-Effect of S-Scheme Heterojunction and CQDs Strengthens the Charge Separation and Transfer in CQDs-g-C3N4/TiO2 Photocatalysts Toward Efficient Tetracycline Degradation. Nanomaterials. 2026; 16(3):181. https://doi.org/10.3390/nano16030181
Chicago/Turabian StyleWang, Kunping, Xiaojiang Su, Zhangxi Zhou, Liangqing Hu, Hao Li, Junyi Long, Ying Feng, Xiaobo Zhang, Jinghuai Zhang, and Jing Feng. 2026. "Dual-Effect of S-Scheme Heterojunction and CQDs Strengthens the Charge Separation and Transfer in CQDs-g-C3N4/TiO2 Photocatalysts Toward Efficient Tetracycline Degradation" Nanomaterials 16, no. 3: 181. https://doi.org/10.3390/nano16030181
APA StyleWang, K., Su, X., Zhou, Z., Hu, L., Li, H., Long, J., Feng, Y., Zhang, X., Zhang, J., & Feng, J. (2026). Dual-Effect of S-Scheme Heterojunction and CQDs Strengthens the Charge Separation and Transfer in CQDs-g-C3N4/TiO2 Photocatalysts Toward Efficient Tetracycline Degradation. Nanomaterials, 16(3), 181. https://doi.org/10.3390/nano16030181

