Effect of Zinc Oxide Nanoparticles on the Physiological and Biochemical Responses of Coffea arabica L. Exposed to Glyphosate
Abstract
1. Introduction
2. Materials and Methods
2.1. Plant Material and Growth Conditions
2.2. Preparation of Glyphosate Dilutions and ZnO NPs
2.3. Experimental Setup and Design
2.4. Net Photosynthetic Rate
2.5. Determinaction of Relative Chlorophyll Content and Stomatal Conductance
2.6. Determination of Photosynthetic Pigments
2.7. Determination of Proline Content
2.8. Determination of Lipid Peroxidation
2.9. Quantification of Hydrogen Peroxide Content
2.10. Elemental Analysis
2.11. Stomatal Index and Density
2.12. Data Analysis
3. Results
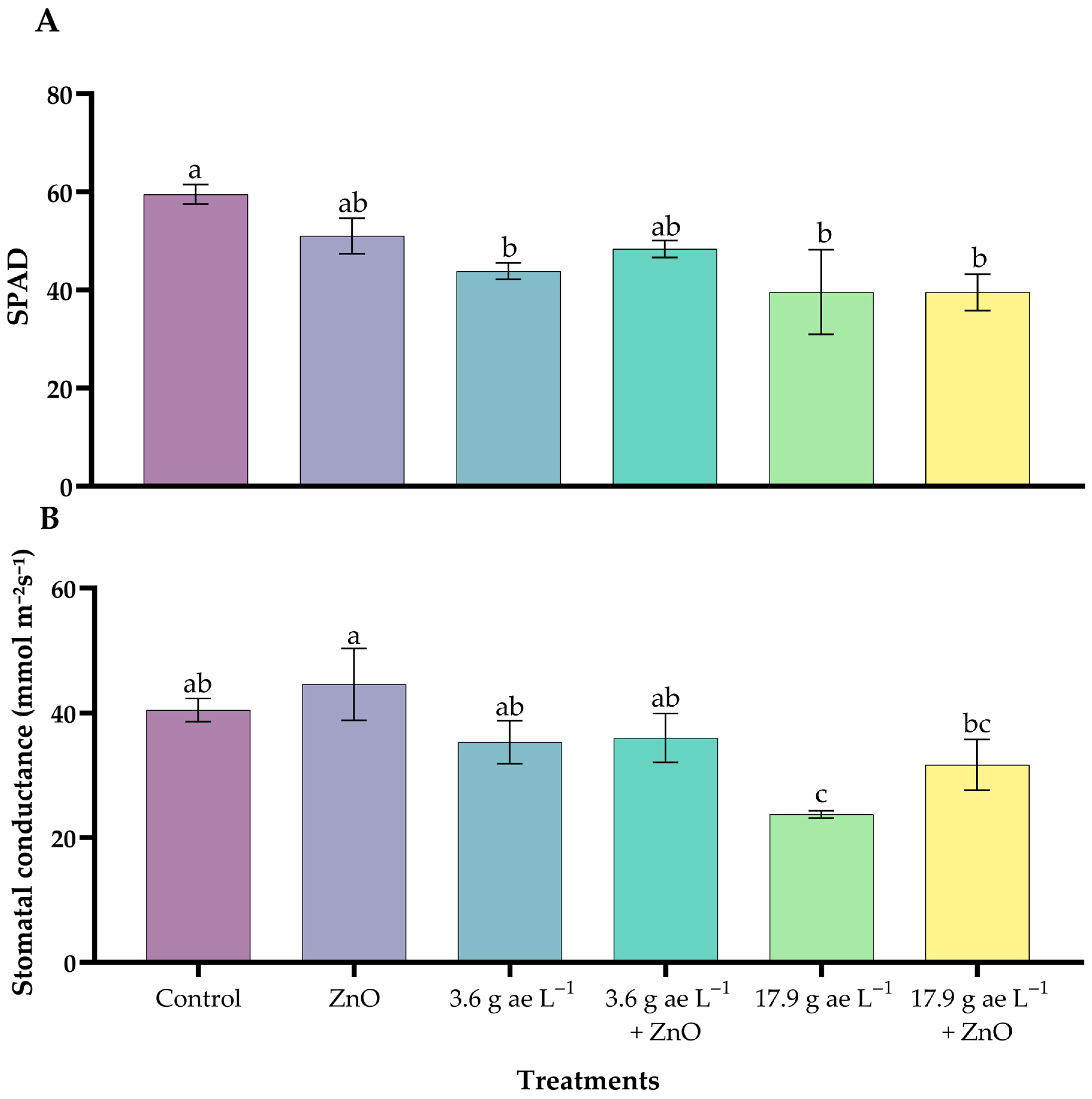
3.1. Relative Chlorophyll Content and Stomatal Conductance
3.2. Net Photosynthetic Rate (µmol CO2 m−2 s−1)
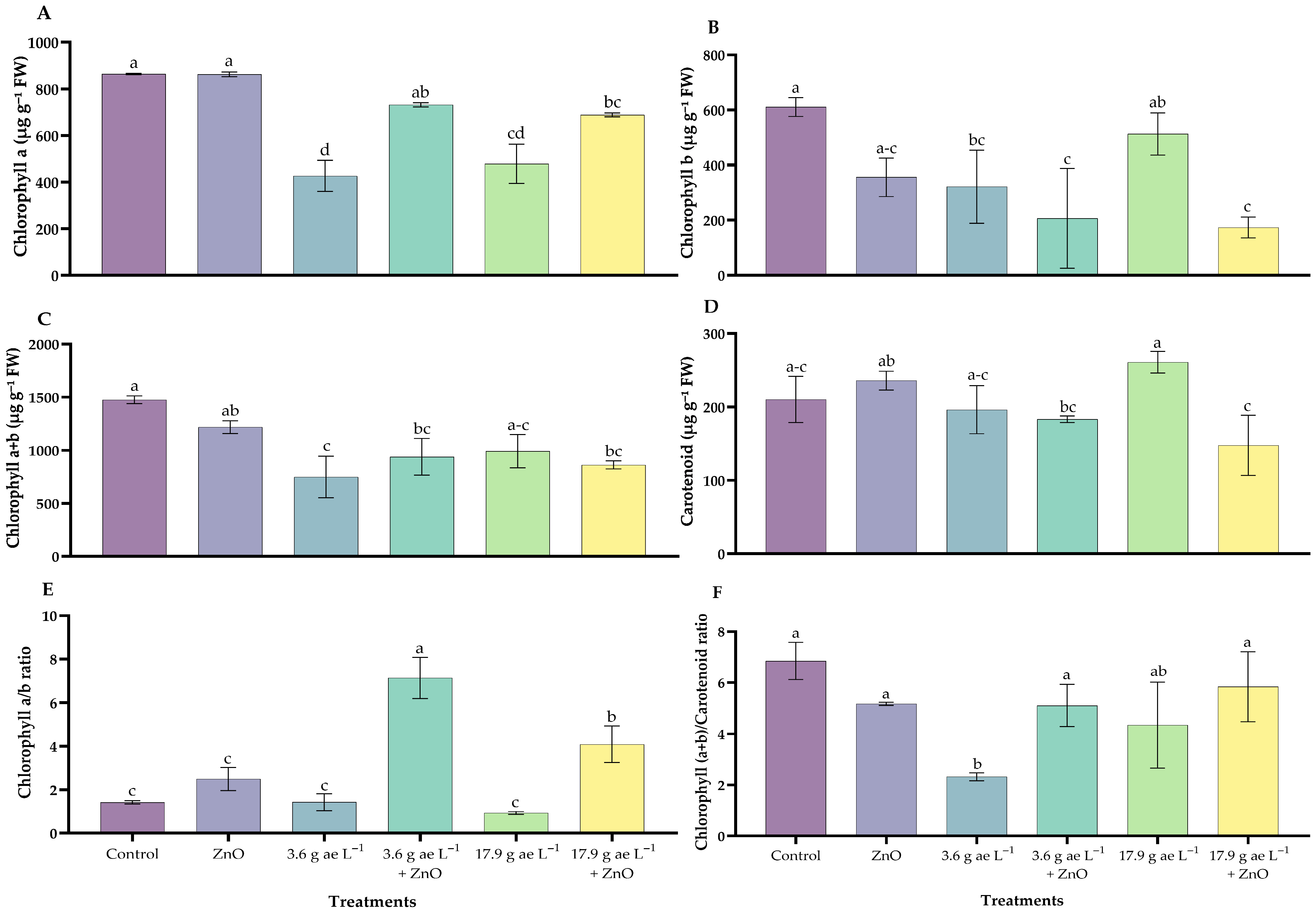
3.3. Photosynthetic Pigments Content
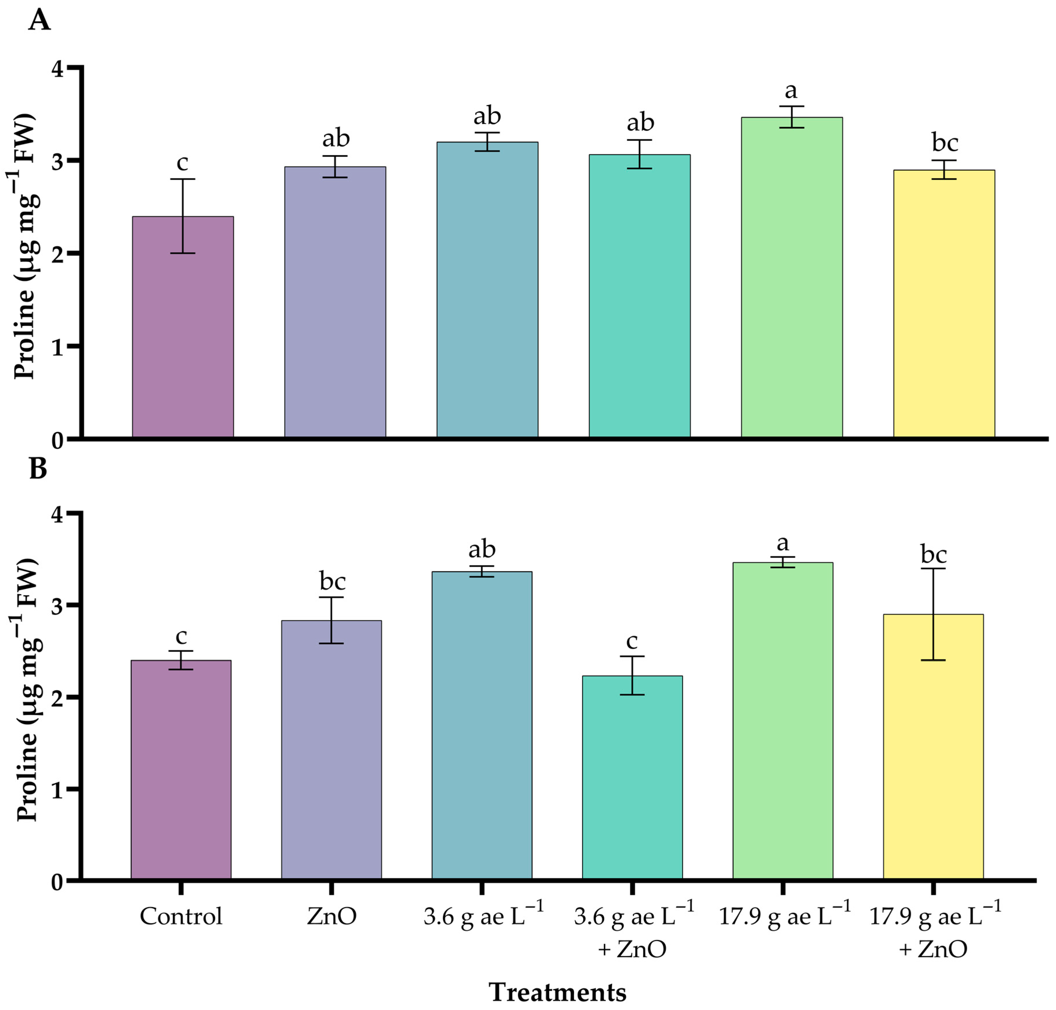
3.4. Proline Content
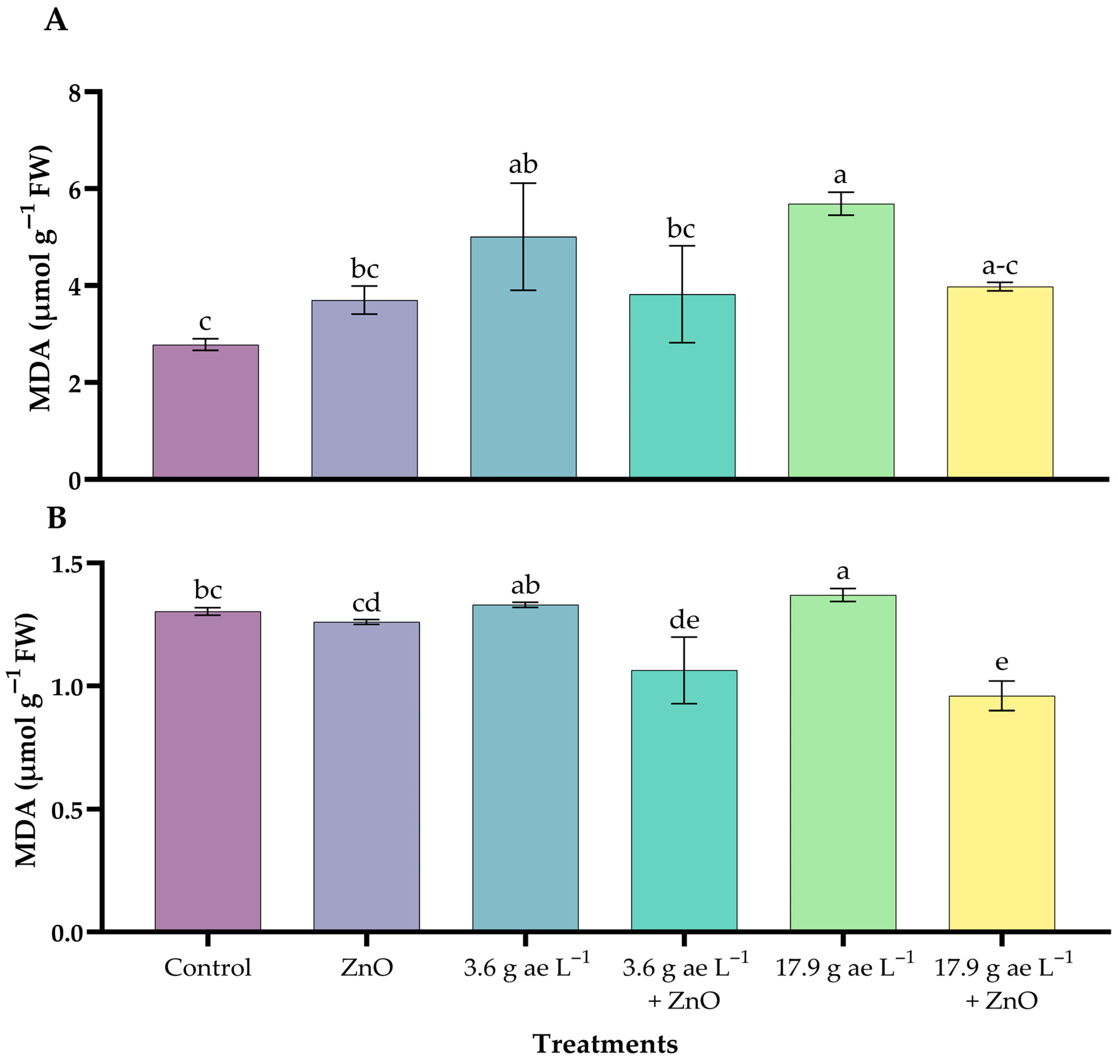
3.5. Lipid Peroxidation
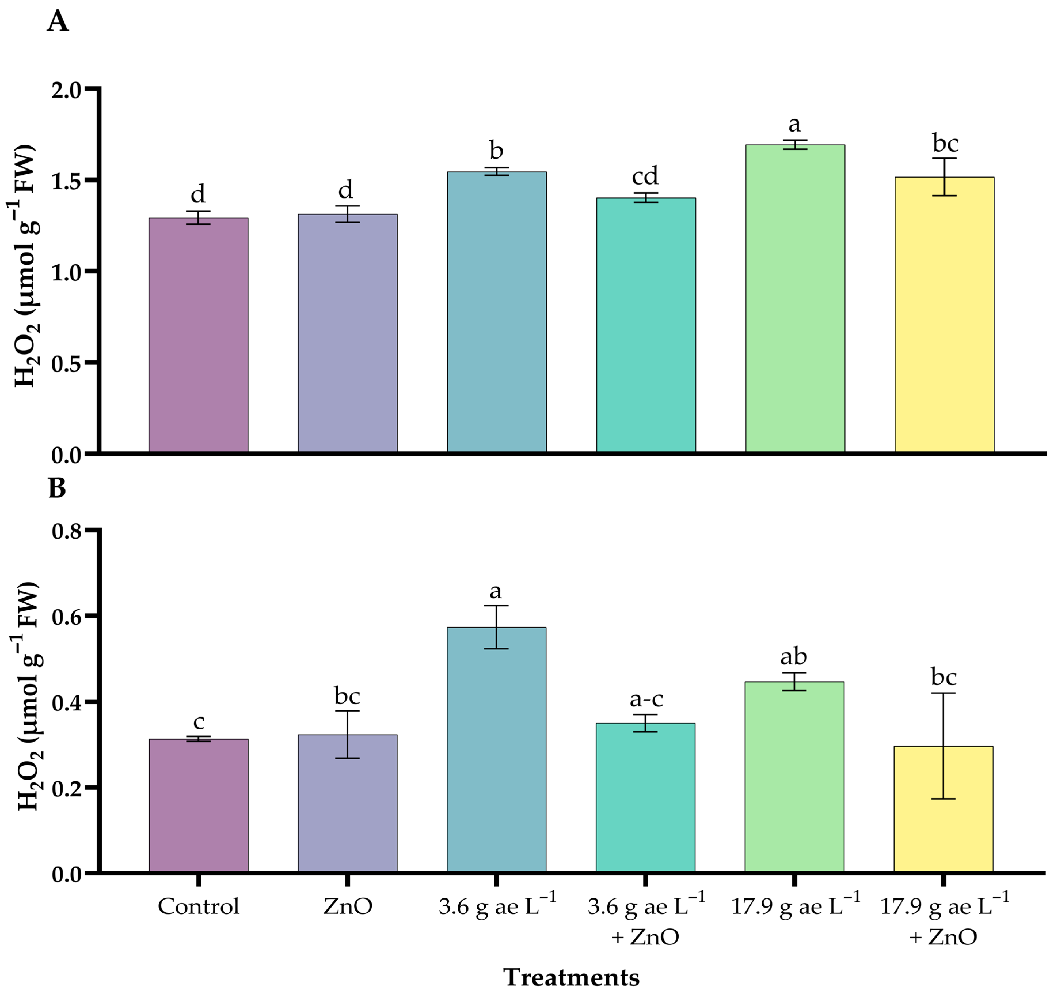
3.6. Hydrogen Peroxide (H2O2)
3.7. Nutrients Content
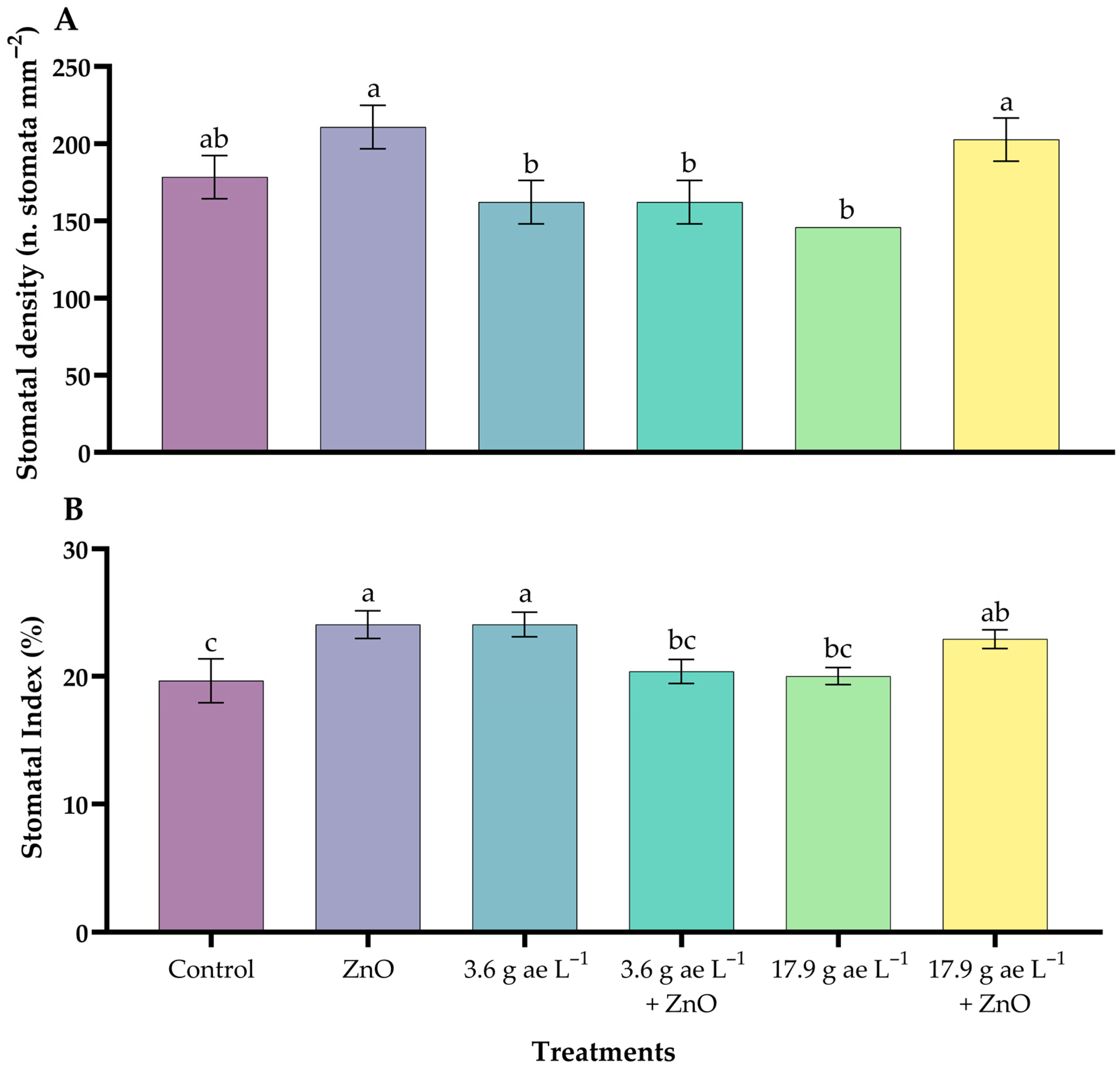
3.8. Foliar Stomatal Structure
3.9. Correlation Analysis
4. Discussion
5. Conclusions
Supplementary Materials
Author Contributions
Funding
Data Availability Statement
Acknowledgments
Conflicts of Interest
Abbreviations
| ZnO 25 | ZnO NPs at 25 mg L−1 |
| ROS | Reactive oxygen species |
| H2O2 | Hydrogen peroxide |
| MDA | Malondialdehyde |
| PSI | Photosystem I |
| PSII | Photosystem II |
| SPAD | Chlorophyll content index |
| ZnO NPs | ZnO nanoparticles |
| ae | acid equivalent |
| NADP+ | Nicotinamide Adenine Dinucleotide Phosphate |
| LHC | Light-harvesting complexes |
| SOD | Superoxide dismutase |
| CA | Carbonic anhydrase |
References
- Bosselmann, A.S.; Dons, K.; Oberthur, T.; Olsen, C.S.; Ræbild, A.; Usma, H. The Influence of Shade Trees on Coffee Quality in Small Holder Coffee Agroforestry Systems in Southern Colombia. Agric. Ecosyst. Environ. 2009, 129, 253–260. [Google Scholar] [CrossRef]
- Poltronieri, P.; Rossi, F. Challenges in Specialty Coffee Processing and Quality Assurance. Challenges 2016, 7, 19. [Google Scholar] [CrossRef]
- U.S. Department of Agriculture, Foreign Agricultural Service (USDA–FAS). Coffee: World Markets and Trade. Available online: https://www.fas.usda.gov/data/coffee-world-markets-and-trade-06252025 (accessed on 4 September 2025).
- Alvarado-Huamán, L.; Castro-Cepero, V.; Borjas-Ventura, R.; Bello-Amez, S.; Julca-Otiniano, A.; Alvarado-Huamán, L.; Castro-Cepero, V.; Borjas-Ventura, R.; Bello-Amez, S.; Julca-Otiniano, A. Estado Del Conocimiento Sobre Las Malezas En El Cultivo de Café En Selva Central Del Perú. RIVAR Santiago 2023, 10, 181–194. [Google Scholar] [CrossRef]
- Bellamy, A. Weed control practices on Costa Rican coffee farms: Is herbicide use necessary for small-scale producers? Agric. Hum. Values 2011, 28, 167–177. [Google Scholar] [CrossRef]
- Heap, I. Global Perspective of Herbicide-Resistant Weeds. Pest Manag. Sci. 2014, 70, 1306–1315. [Google Scholar] [CrossRef]
- Huang, Z.; Liu, Y.; Zhang, C.; Jiang, C.; Huang, H.; Wei, S. Molecular Basis of Natural Tolerance to Glyphosate in Convolvulus arvensis. Sci. Rep. 2019, 9, 8133. [Google Scholar] [CrossRef]
- Schrübbers, L.C.; Valverde, B.E.; Sørensen, J.C.; Cedergreen, N. Glyphosate Spray Drift in Coffea Arabica—Sensitivity of Coffee Plants and Possible Use of Shikimic Acid as a Biomarker for Glyphosate Exposure. Pestic. Biochem. Physiol. 2014, 115, 15–22. [Google Scholar] [CrossRef]
- Cerveira Junior, W.R.; da Costa, Y.K.S.; Carbonari, C.A.; Duke, S.O.; Alves, P.L.d.C.A.; Carvalho, L.B. de Growth, Morphological, Metabolic and Photosynthetic Responses of Clones of Eucalyptus to Glyphosate. For. Ecol. Manag. 2020, 470–471, 118218. [Google Scholar] [CrossRef]
- Özlüoymak, Ö.B. Development and Assessment of a Novel Camera-Integrated Spraying Needle Nozzle Design for Targeted Micro-Dose Spraying in Precision Weed Control. Comput. Electron. Agric. 2022, 199, 107134. [Google Scholar] [CrossRef]
- Gandhi, K.; Khan, S.; Patrikar, M.; Markad, A.; Kumar, N.; Choudhari, A.; Sagar, P.; Indurkar, S. Exposure Risk and Environmental Impacts of Glyphosate: Highlights on the Toxicity of Herbicide Co-Formulants. Environ. Chall. 2021, 4, 100149. [Google Scholar] [CrossRef]
- Schonbrunn, E.; Eschenburg, S.; Shuttleworth, W.; Schloss, J.; Amrhein, N.; Evans, J.; Kabsch, W. Interaction of the Herbicide Glyphosate with Its Target Enzyme 5-Enolpyruvylshikimate 3-Phosphate Synthase in Atomic Detail. Proc. Natl. Acad. Sci. USA 2001, 98, 1376–1380. [Google Scholar] [CrossRef]
- Eker, S.; Ozturk, L.; Yazici, A.; Erenoglu, B.; Romheld, V.; Cakmak, I. Foliar-Applied Glyphosate Substantially Reduced Uptake and Transport of Iron and Manganese in Sunflower (Helianthus Annuus L.) Plants. J. Agric. Food Chem. 2006, 54, 10019–10025. [Google Scholar] [CrossRef] [PubMed]
- Cedergreen, N. Is the Growth Stimulation by Low Doses of Glyphosate Sustained over Time? Environ. Pollut. 2008, 156, 1099–1104. [Google Scholar] [CrossRef] [PubMed]
- Velini, E.D.; Alves, E.; Godoy, M.C.; Meschede, D.K.; Souza, R.T.; Duke, S.O. Glyphosate Applied at Low Doses Can Stimulate Plant Growth. Pest Manag. Sci. 2008, 64, 489–496. [Google Scholar] [CrossRef] [PubMed]
- Gomes, G.L.G.C.; Carbonari, C.A.; Velini, E.D.; Trindade, M.L.B.; Silva, J.R.M. Extraction and Simultaneous Determination of Glyphosate, AMPA and Compounds of the Shikimic Acid Pathway in Plants. Planta Daninha 2015, 33, 295–304. [Google Scholar] [CrossRef]
- Nascentes, R.F.; Carbonari, C.A.; Simões, P.S.; Brunelli, M.C.; Velini, E.D.; Duke, S.O. Low Doses of Glyphosate Enhance Growth, CO2 Assimilation, Stomatal Conductance and Transpiration in Sugarcane and Eucalyptus. Pest Manag. Sci. 2018, 74, 1197–1205. [Google Scholar] [CrossRef]
- Czarnocka, W.; Karpiński, S. Friend or Foe? Reactive Oxygen Species Production, Scavenging and Signaling in Plant Response to Environmental Stresses. Free Radic. Biol. Med. 2018, 122, 4–20. [Google Scholar] [CrossRef]
- Boutin, C.; Elmegaard, N.; Kjær, C. Toxicity Testing of Fifteen Non-Crop Plant Species with Six Herbicides in a Greenhouse Experiment: Implications for Risk Assessment. Ecotoxicology 2004, 13, 349–369. [Google Scholar] [CrossRef]
- Geoffroy, L.; Teisseire, H.; Couderchet, M.; Vernet, G. Effect of Oxyfluorfen and Diuron Alone and in Mixture on Antioxidative Enzymes of Scenedesmus obliquus. Pestic. Biochem. Physiol. 2002, 72, 178–185. [Google Scholar] [CrossRef]
- Mohapatra, B.; Chamoli, S.; Salvi, P.; Saxena, S.C. Fostering Nanoscience’s Strategies: A New Frontier in Sustainable Crop Improvement for Abiotic Stress Tolerance. Plant Nano Biol. 2023, 3, 100026. [Google Scholar] [CrossRef]
- Barrena, R.; Casals, E.; Colón, J.; Font, X.; Sánchez, A.; Puntes, V. Evaluation of the Ecotoxicity of Model Nanoparticles. Chemosphere 2009, 75, 850–857. [Google Scholar] [CrossRef]
- Nazir, M.; Hasan, M.; Mustafa, G.; Tariq, T.; Ahmed, M.; Dehno, R.; Ghorbanpour, M. Zinc Oxide Nano-Fertilizer Differentially Effect on Morphological and Physiological Identity of Redox-Enzymes and Biochemical Attributes in Wheat (Triticum aestivum L.). Sci. Rep. 2024, 14, 13091. [Google Scholar] [CrossRef] [PubMed]
- Sirelkhatim, A.; Mahmud, S.; Seeni, A.; Kaus, N.H.M.; Ann, L.C.; Bakhori, S.K.M.; Hasan, H.; Mohamad, D. Review on Zinc Oxide Nanoparticles: Antibacterial Activity and Toxicity Mechanism. Nano-Micro Lett. 2015, 7, 219–242. [Google Scholar] [CrossRef] [PubMed]
- Reda, A.T.; Park, J.Y.; Park, Y.T. Zinc Oxide-Based Nanomaterials for Microbiostatic Activities: A Review. J. Funct. Biomater. 2024, 15, 103. [Google Scholar] [CrossRef] [PubMed]
- Xia, X.; Zhang, H.-M.; Offler, C.E.; Patrick, J.W. A Structurally Specialized Uniform Wall Layer Is Essential for Constructing Wall Ingrowth Papillae in Transfer Cells. Front. Plant Sci. 2017, 8, 2035. [Google Scholar] [CrossRef]
- Al-Harbi, H.F.; Awad, M.A.; Ortashi, K.M.O.; AL-Humaid, L.A.; Ibrahim, A.A.; Al-Huqail, A.A. Green Synthesis of Zinc Oxide Nanoparticles: Physicochemical Characterization, Photocatalytic Performance, and Evaluation of Their Impact on Seed Germination Parameters in Crops. Catalysts 2025, 15, 924. [Google Scholar] [CrossRef]
- Mutukwa, D.; Taziwa, R.T.; Khotseng, L. A Review of Plant-Mediated ZnO Nanoparticles for Photodegradation and Antibacterial Applications. Nanomaterials 2024, 14, 1182. [Google Scholar] [CrossRef]
- Rathaiah, M.; Venkataramana, B.; Sudarshan, K.; Naidu, B.V.K. Newly Green Synthesized ZnO Nanoparticles and Their Effective Influence on Photocatalytic and Antimicrobial Activities. ChemistrySelect 2025, 10, e202406149. [Google Scholar] [CrossRef]
- Valle-Lopez, A.; Meléndez-Mori, J.B.; Huaman, E.; Oliva-Cruz, M. Dose-Dependent Effect of Foliar ZnO Nanoparticles on the Physiology, Mineral Nutrition, and Redox Status of Coffea arabica Seedlings Under Soil Acidity. Stresses 2025, 5, 70. [Google Scholar] [CrossRef]
- Rico, C.M.; Majumdar, S.; Duarte-Gardea, M.; Peralta-Videa, J.R.; Gardea-Torresdey, J.L. Interaction of Nanoparticles with Edible Plants and Their Possible Implications in the Food Chain. J. Agric. Food Chem. 2011, 59, 3485–3498. [Google Scholar] [CrossRef]
- Faizan, M.; Bhat, J.A.; Chen, C.; Alyemeni, M.N.; Wijaya, L.; Ahmad, P.; Yu, F. Zinc Oxide Nanoparticles (ZnO-NPs) Induce Salt Tolerance by Improving the Antioxidant System and Photosynthetic Machinery in Tomato. Plant Physiol. Biochem. 2021, 161, 122–130. [Google Scholar] [CrossRef] [PubMed]
- Meléndez-Mori, J.B.; Lapiz-Culqui, Y.K.; Huaman-Huaman, E.; Zuta-Puscan, M.; Oliva-Cruz, M. Can Zinc Oxide Nanoparticles Alleviate the Adverse Effects of Salinity Stress in Coffea arabica? Agronomy 2025, 15, 1239. [Google Scholar] [CrossRef]
- Venkatachalam, P.; Jayaraj, M.; Manikandan, R.; Geetha, N.; Rene, E.R.; Sharma, N.C.; Sahi, S.V. Zinc Oxide Nanoparticles (ZnONPs) Alleviate Heavy Metal-Induced Toxicity in Leucaena leucocephala Seedlings: A Physiochemical Analysis. Plant Physiol. Biochem. 2017, 110, 59–69. [Google Scholar] [CrossRef] [PubMed]
- Singh, A.; Sengar, R.S.; Rajput, V.D.; Minkina, T.; Singh, R.K. Zinc Oxide Nanoparticles Improve Salt Tolerance in Rice Seedlings by Improving Physiological and Biochemical Indices. Agriculture 2022, 12, 1014. [Google Scholar] [CrossRef]
- Instituto Nacional de Calidad (INACAL). Laboratorio de Investigación en Suelo y Aguas—LABISAG—Universidad Nacional Toribio Rodríguez de Mendoza de Amazonas. Available online: https://www.gob.pe/es/i/2825857 (accessed on 25 November 2025).
- Lichtenthaler, H.K.; Buschmann, C. Chlorophylls and Carotenoids: Measurement and Characterization by UV-VIS Spectroscopy. Curr. Protoc. Food Anal. Chem. 2001, 1, F4.3.1–F4.3.8. [Google Scholar] [CrossRef]
- Bates, L.S.; Waldren, R.P.; Teare, I.D. Rapid Determination of Free Proline for Water-Stress Studies. Plant Soil 1973, 39, 205–207. [Google Scholar] [CrossRef]
- Velikova, V.; Yordanov, I.; Edreva, A. Oxidative Stress and Some Antioxidant Systems in Acid Rain-Treated Bean Plants: Protective Role of Exogenous Polyamines. Plant Sci. 2000, 151, 59–66. [Google Scholar] [CrossRef]
- Wang, F.; Zeng, B.; Sun, Z.; Zhu, C. Relationship Between Proline and Hg2+-Induced Oxidative Stress in a Tolerant Rice Mutant. Arch. Environ. Contam. Toxicol. 2009, 56, 723–731. [Google Scholar] [CrossRef]
- Loreto, F.; Velikova, V. Isoprene Produced by Leaves Protects the Photosynthetic Apparatus against Ozone Damage, Quenches Ozone Products, and Reduces Lipid Peroxidation of Cellular Membranes. Plant Physiol. 2001, 127, 1781–1787. [Google Scholar] [CrossRef]
- Schmitt, M.; Boras, S.; Tjoa, A.; Watanabe, T.; Jansen, S. Aluminium Accumulation and Intra-Tree Distribution Patterns in Three Arbor aluminosa (Symplocos) Species from Central Sulawesi. PLoS ONE 2016, 11, e0149078. [Google Scholar] [CrossRef]
- Chattopadhyay, S.; Ali, K.A.; Doss, S.G.; Das, N.K.; Aggarwal, R.K.; Bandopadhyay, T.K.; Sarkar, A.; Bajpai, A.K. Association of Leaf Micro-Morphological Characters with Powdery Mildew Resistance in Field-Grown Mulberry (Morus Spp.) Germplasm. AoB PLANTS 2011, 2011, plr002. [Google Scholar] [CrossRef] [PubMed]
- Tryfon, P.; Sperdouli, I.; Adamakis, I.-D.S.; Mourdikoudis, S.; Moustakas, M.; Dendrinou-Samara, C. Impact of Coated Zinc Oxide Nanoparticles on Photosystem II of Tomato Plants. Materials 2023, 16, 5846. [Google Scholar] [CrossRef] [PubMed]
- Sun, L.; Song, F.; Zhu, X.; Liu, S.; Liu, F.; Wang, Y.; Li, X. Nano-ZnO Alleviates Drought Stress via Modulating the Plant Water Use and Carbohydrate Metabolism in Maize. Arch. Agron. Soil Sci. 2021, 67, 245–259. [Google Scholar] [CrossRef]
- Olesen, C.F.; Cedergreen, N. Glyphosate Uncouples Gas Exchange and Chlorophyll Fluorescence. Pest Manag. Sci. 2010, 66, 536–542. [Google Scholar] [CrossRef]
- Faizan, M.; Faraz, A.; Yusuf, M.; Khan, S.T.; Hayat, S. Zinc Oxide Nanoparticle-Mediated Changes in Photosynthetic Efficiency and Antioxidant System of Tomato Plants. Photosynthetica 2018, 56, 678–686. [Google Scholar] [CrossRef]
- Gomes, M.P.; Le Manac’h, S.G.; Hénault-Ethier, L.; Labrecque, M.; Lucotte, M.; Juneau, P. Glyphosate-Dependent Inhibition of Photosynthesis in Willow. Front. Plant Sci. 2017, 8, 207. [Google Scholar] [CrossRef]
- Kitchen, L.M.; Witt, W.W.; Rieck, C.E. Inhibition of Chlorophyll Accumulation by Glyphosate. Weed Sci. 1981, 29, 513–516. [Google Scholar] [CrossRef]
- Machado, A.F.L.; Ferreira, L.R.; Santos, L.D.T.; Ferreira, F.A.; Viana, R.G.; Machado, M.S.; Freitas, F.C.L. Photosynthetic Efficiency and Water Use in Eucalyptus Plants Sprayed with Glyphosate. Planta Daninha 2010, 28, 319–327. [Google Scholar] [CrossRef]
- Sun, Z.; Xiong, T.; Zhang, T.; Wang, N.; Chen, D.; Li, S. Influences of Zinc Oxide Nanoparticles on Allium cepa Root Cells and the Primary Cause of Phytotoxicity. Ecotoxicology 2019, 28, 175–188. [Google Scholar] [CrossRef]
- Farghaly, F.A.; Radi, A.A.; Al-Kahtany, F.A.; Hamada, A.M. Impacts of Zinc Oxide Nano and Bulk Particles on Redox-Enzymes of the Punica granatum Callus. Sci. Rep. 2020, 10, 19722. [Google Scholar] [CrossRef]
- Salama, Z.A.; El-Fouly, M.M.; Lazova, G.; Popova, L.P. Carboxylating Enzymes and Carbonic Anhydrase Functions Were Suppressed by Zinc Deficiency in Maize and Chickpea Plants. Acta Physiol. Plant. 2006, 28, 445–451. [Google Scholar] [CrossRef]
- Fortis-Hernández, M.; Pivaral-Chávez, A.G.; Galindo-Guzmán, A.P.; Preciado-Rangel, P.; Ruiz-Ortega, F.J.; Trejo-Valencia, R.; Fortis-Hernández, M.; Pivaral-Chávez, A.G.; Galindo-Guzmán, A.P.; Preciado-Rangel, P.; et al. Nanopartículas de óxido de zinc para incrementar rendimiento, compuestos bioactivos y actividad enzimática en lechuga. Ecosistemas Recur. Agropecu. 2024, 11, e3939. [Google Scholar] [CrossRef]
- Wang, J.; Xie, H.; Han, J.; Li, J.; Lin, X.; Wang, X. Effect of Graphene Oxide-Glyphosate Nanocomposite on Wheat and Rape Seedlings: Growth, Photosynthesis Performance, and Oxidative Stress Response. Environ. Technol. Innov. 2022, 27, 102527. [Google Scholar] [CrossRef]
- Ahmed, S.; Khan, M.T.; Abbasi, A.; Haq, I.U.; Hina, A.; Mohiuddin, M.; Tariq, M.A.U.R.; Afzal, M.Z.; Zaman, Q.u.; Ng, A.W.M.; et al. Characterizing Stomatal Attributes and Photosynthetic Induction in Relation to Biochemical Changes in Coriandrum sativum L. by Foliar-Applied Zinc Oxide Nanoparticles under Drought Conditions. Front. Plant Sci. 2023, 13, 1079283. [Google Scholar] [CrossRef]
- Kumar, K.S.; Han, T. Physiological Response of Lemna Species to Herbicides and Its Probable Use in Toxicity Testing. Toxicol. Environ. Health Sci. 2010, 2, 39–49. [Google Scholar] [CrossRef]
- Suresh Kumar, K.; Dahms, H.-U.; Lee, J.-S.; Kim, H.C.; Lee, W.C.; Shin, K.-H. Algal photosynthetic responses to toxic metals and herbicides assessed by chlorophyll a fluorescence. Ecotoxicol. Environ. Saf. 2014, 104, 51–71. [Google Scholar] [CrossRef]
- Reinbothe, S.; Bartsch, S.; Rossig, C.; Davis, M.Y.; Yuan, S.; Reinbothe, C.; Gray, J. A Protochlorophyllide (Pchlide) a Oxygenase for Plant Viability. Front. Plant Sci. 2019, 10, 593. [Google Scholar] [CrossRef]
- Zhu, J.; Li, J.; Shen, Y.; Liu, S.; Zeng, N.; Zhan, X.; White, J.C.; Gardea-Torresdey, J.; Xing, B. Mechanism of Zinc Oxide Nanoparticle Entry into Wheat Seedling Leaves. Environ. Sci. Nano 2020, 7, 3901–3913. [Google Scholar] [CrossRef]
- Ramzan, M.; Ayub, F.; Shah, A.A.; Naz, G.; Shah, A.N.; Malik, A.; Sardar, R.; Telesiński, A.; Kalaji, H.M.; Dessoky, E.S.; et al. Synergistic Effect of Zinc Oxide Nanoparticles and Moringa oleifera Leaf Extract Alleviates Cadmium Toxicity in Linum Usitatissimum: Antioxidants and Physiochemical Studies. Front. Plant Sci. 2022, 13, 900347. [Google Scholar] [CrossRef]
- Reddy Pullagurala, V.L.; Adisa, I.O.; Rawat, S.; Kalagara, S.; Hernandez-Viezcas, J.A.; Peralta-Videa, J.R.; Gardea-Torresdey, J.L. Las Nanopartículas de ZnO Aumentan Los Pigmentos Fotosintéticos y Disminuyen La Peroxidación Lipídica En El Cilantro Cultivado En El Suelo (Coriandrum sativum). Plant Physiol. Biochem. 2018, 132, 120–127. [Google Scholar] [CrossRef]
- Fan, L.; Vonshak, A.; Zarka, A.; Boussiba, S. Does Astaxanthin Protect Haematococcus against Light Damage? Z. Für Naturforschung C 1998, 53, 93–100. [Google Scholar] [CrossRef] [PubMed]
- Gomes, M.P.; Duarte, D.M.; Carneiro, M.M.L.C.; Barreto, L.C.; Carvalho, M.; Soares, A.M.; Guilherme, L.R.G.; Garcia, Q.S. Modulación de La Tolerancia al Zinc En Plantas de Myracrodruon urundeuva. Plant Physiol. Biochem. 2013, 67, 1–6. [Google Scholar] [CrossRef] [PubMed]
- Garza-Alonso, C.A.; Juárez-Maldonado, A.; González-Morales, S.; la Fuente, M.C.-D.; Cadenas-Pliego, G.; Morales-Díaz, A.B.; Trejo-Téllez, L.I.; Tortella, G.; Benavides-Mendoza, A. ZnO Nanoparticles as Potential Fertilizer and Biostimulant for Lettuce. Heliyon 2023, 9, e12787. [Google Scholar] [CrossRef] [PubMed]
- Voitsekhovskaja, O.V.; Tyutereva, E.V. Clorofila b En Angiospermas: Funciones En La Fotosíntesis, La Señalización y La Regulación Ontogenética. J. Plant Physiol. 2015, 189, 51–64. [Google Scholar] [CrossRef]
- D’Alessandro, S.; Havaux, M. Sensing β-Carotene Oxidation in Photosystem II to Master Plant Stress Tolerance. New Phytol. 2019, 223, 1776–1783. [Google Scholar] [CrossRef]
- Ravishankar, L.V.; Puranik, N.; Lekkala, V.V.V.; Lomada, D.; Reddy, M.C.; Maurya, A.K. ZnO Nanoparticles: Advancing Agricultural Sustainability. Plants 2025, 14, 2430. [Google Scholar] [CrossRef]
- Ahsan, N.; Lee, D.-G.; Lee, K.-W.; Alam, I.; Lee, S.-H.; Bahk, J.D.; Lee, B.-H. Glyphosate-Induced Oxidative Stress in Rice Leaves Revealed by Proteomic Approach. Plant Physiol. Biochem. 2008, 46, 1062–1070. [Google Scholar] [CrossRef]
- Moldes, C.A.; Medici, L.O.; Abrahão, O.S.; Tsai, S.M.; Azevedo, R.A. Biochemical Responses of Glyphosate Resistant and Susceptible Soybean Plants Exposed to Glyphosate. Acta Physiol. Plant. 2008, 30, 469–479. [Google Scholar] [CrossRef]
- Miteva, L.P.-E.; Ivanov, S.V.; Alexieva, V.S. Alterations in Glutathione Pool and Some Related Enzymes in Leaves and Roots of Pea Plants Treated with the Herbicide Glyphosate. Russ. J. Plant Physiol. 2010, 57, 131–136. [Google Scholar] [CrossRef]
- Gupta, A.; Bharati, R.; Kubes, J.; Popelkova, D.; Praus, L.; Yang, X.; Severova, L.; Skalicky, M.; Brestic, M. Zinc Oxide Nanoparticles Application Alleviates Salinity Stress by Modulating Plant Growth, Biochemical Attributes and Nutrient Homeostasis in Phaseolus vulgaris L. Front. Plant Sci. 2024, 15, 1432258. [Google Scholar] [CrossRef]
- Soshinkova, T.N.; Radyukina, N.L.; Korolkova, D.V.; Nosov, A.V. Proline and Functioning of the Antioxidant System in Thellungiella salsuginea Plants and Cultured Cells Subjected to Oxidative Stress. Russ. J. Plant Physiol. 2013, 60, 41–54. [Google Scholar] [CrossRef]
- Huang, J.; Silva, E.N.; Shen, Z.; Jiang, B.; Lu, H. Effects of Glyphosate on Photosynthesis, Chlorophyll Fluorescence and Physicochemical Properties of Cogongrass (Imperata Cylindrical L.). Plant Omics 2020, 5, 177–183. [Google Scholar]
- Mirakhorli, T.; Ardebili, Z.O.; Ladan-Moghadam, A.; Danaee, E. Bulk and nanoparticles of zinc oxide exerted their beneficial effects by conferring modifications in transcription factors, histone deacetylase, carbon and nitrogen assimilation, antioxidant biomarkers, and secondary metabolism in soybean. PLoS ONE 2021, 16, e0256905. [Google Scholar] [CrossRef] [PubMed]
- Huang, J.; Wang, C.; Qi, L.; Zhang, X.; Tang, G.; Li, L.; Guo, J.; Jia, Y.; Dou, X.; Lu, M. Phosphorus Is More Effective than Nitrogen in Restoring Plant Communities of Heavy Metals Polluted Soils. Environ. Pollut. 2020, 266, 115259. [Google Scholar] [CrossRef]
- Burman, U.; Garg, B.K.; Kathju, S. Interactive Effects of Thiourea and Phosphorus on Clusterbean Under Water Stress. Biol. Plant. 2004, 48, 61–65. [Google Scholar] [CrossRef]
- Noohpisheh, Z.; Amiri, H.; Mohammadi, A.; Farhadi, S. Effect of the Foliar Application of Zinc Oxide Nanoparticles on Some Biochemical and Physiological Parameters of Trigonella foenum-graecum under Salinity Stress. Plant Biosyst.—Int. J. Deal. Asp. Plant Biol. 2021, 155, 267–280. [Google Scholar] [CrossRef]
- Saleem, M.; Zhang, J.; Qasim, M.; Iqbal, R.; Song, L. The Correlation between Nutrition and Transport Mechanism under Abiotic Stress in Plants: A Comprehensive Review. Phyton-Int. J. Exp. Bot. 2024, 93, 1325–1344. [Google Scholar] [CrossRef]
- Prasad, T.N.V.K.V.; Sudhakar, P.; Sreenivasulu, Y.; Latha, P.; Munaswamy, V.; Reddy, K.R.; Sreeprasad, T.S.; Sajanlal, P.R.; Pradeep, T. Effect of Nanoscale Zinc Oxide Particles on the Germination, Growth and Yield of Peanut. J. Plant Nutr. 2012, 35, 905–927. [Google Scholar] [CrossRef]
- Singh, R.; Parihar, P.; Prasad, S.M. Interplay of Calcium and Nitric Oxide in Improvement of Growth and Arsenic-Induced Toxicity in Mustard Seedlings. Sci. Rep. 2020, 10, 6900. [Google Scholar] [CrossRef]
- Zhang, J.; Wang, S.; Song, S.; Xu, F.; Pan, Y.; Wang, H. Transcriptomic and Proteomic Analyses Reveal New Insight into Chlorophyll Synthesis and Chloroplast Structure of Maize Leaves under Zinc Deficiency Stress. J. Proteomics 2019, 199, 123–134. [Google Scholar] [CrossRef]
- Xu, E.; Liu, Y.; Gu, D.; Zhan, X.; Li, J.; Zhou, K.; Zhang, P.; Zou, Y. Molecular Mechanisms of Plant Responses to Copper: From Deficiency to Excess. Int. J. Mol. Sci. 2024, 25, 6993. [Google Scholar] [CrossRef] [PubMed]
- Ghoto, K.; Simon, M.; Shen, Z.-J.; Gao, G.-F.; Li, P.-F.; Li, H.; Zheng, H.-L. Physiological and Root Exudation Response of Maize Seedlings to TiO2 and SiO2 Nanoparticles Exposure. BioNanoScience 2020, 10, 473–485. [Google Scholar] [CrossRef]
- Akdemir, H. Evaluación de La Expresión de Genes de Factores de Transcripción y Acuaporinas En Respuesta a Nanopartículas de Al2O3 y ZnO Durante La Germinación de La Cebada. Plant Physiol. Biochem. 2021, 166, 466–476. [Google Scholar] [CrossRef] [PubMed]
- El-Badri, A.M.A.; Batool, M.; Mohamed, I.A.A.; Khatab, A.; Sherif, A.; Wang, Z.; Salah, A.; Nishawy, E.; Ayaad, M.; Kuai, J.; et al. Modulation of Salinity Impact on Early Seedling Stage via Nano-Priming Application of Zinc Oxide on Rapeseed (Brassica napus L.). Plant Physiol. Biochem. 2021, 166, 376–392. [Google Scholar] [CrossRef]
- Pérez-Hernández, H.; López-Valdez, F.; Juárez-Maldonado, A.; Méndez-López, A.; Sarabia-Castillo, C.R.; García-Mayagoitia, S.; Torres-Gómez, A.P.; Valle-García, J.D.; Pérez-Moreno, A.Y.; Pérez-Hernández, H.; et al. Implicaciones de los nanomateriales utilizados en la agricultura: Una revisión de literatura de los beneficios y riesgos para la sustentabilidad. Mundo Nano Rev. Interdiscip. Nanociencias Nanotecnología 2024, 17, e00091. [Google Scholar] [CrossRef]
- Gottschalk, F.; Sun, T.; Nowack, B. Environmental Concentrations of Engineered Nanomaterials: Review of Modeling and Analytical Studies. Environ. Pollut. 2013, 181, 287–300. [Google Scholar] [CrossRef]
- El-Saadony, M.T.; Saad, A.M.; Soliman, S.M.; Salem, H.M.; Desoky, E.-S.M.; Babalghith, A.O.; El-Tahan, A.M.; Ibrahim, O.M.; Ebrahim, A.A.M.; Abd El-Mageed, T.A.; et al. Role of Nanoparticles in Enhancing Crop Tolerance to Abiotic Stress: A Comprehensive Review. Front. Plant Sci. 2022, 13, 946717. [Google Scholar] [CrossRef]
- Srivastav, A.; Ganjewala, D.; Singhal, R.K.; Rajput, V.D.; Minkina, T.; Voloshina, M.; Srivastava, S.; Shrivastava, M. Effect of ZnO Nanoparticles on Growth and Biochemical Responses of Wheat and Maize. Plants 2021, 10, 2556. [Google Scholar] [CrossRef]
- Bhatt, D.; Bhatt, M.D.; Nath, M.; Dudhat, R.; Sharma, M.; Bisht, D.S. Application of Nanoparticles in Overcoming Different Environmental Stresses. In Protective Chemical Agents in the Amelioration of Plant Abiotic Stress; John Wiley & Sons, Ltd.: Hoboken, NJ, USA, 2020; pp. 635–654. ISBN 978-1-119-55215-4. [Google Scholar]
- Lin, D.; Xing, B. Root Uptake and Phytotoxicity of ZnO Nanoparticles. Environ. Sci. Technol. 2008, 42, 5580–5585. [Google Scholar] [CrossRef]
- El-Zohri, M.; Al-Wadaani, N.A.; Bafeel, S.O. Foliar Sprayed Green Zinc Oxide Nanoparticles Mitigate Drought-Induced Oxidative Stress in Tomato. Plants 2021, 10, 2400. [Google Scholar] [CrossRef]
- Bhardwaj, G.; Brar, P.S.; Chauhan, A.; Bhardwaj, M. Comparison of Fruit and Quality Parameters of Tomato and Capsicum by Using Different Amount of Nano ZnO through Foliar and Seed Application. J. Plant Nutr. 2024, 47, 3767–3776. [Google Scholar] [CrossRef]
- Sampaio, L.L.G.; Bogea, É.P.C.; Neves, E.L.; Mendes, L.d.M.O.; Araújo, É.F.L.; Baia, M.O.; Silva, J.O.; Malafaia, G.; Menezes, I. Research Article Zinc Oxide Nanoparticles at Environmentally Relevant Concentrations Cause Cytotoxic and Chromosomal Damage to Allium cepa Root Cells. Genet. Mol. Res. 2021, 20, gmr18690. [Google Scholar] [CrossRef]









| Treatment | P | Ca | Na | K | Fe | Mg | Zn | Cu | Mn |
|---|---|---|---|---|---|---|---|---|---|
| Control | 777.6 ± 72.03 bc | 15,632.8 ± 744.4 ab | 3678.9 ± 374.3 ab | 12,890.5 ± 679.5 ab | 71.5 ± 10.9 bc | 1995.5 ± 126.2 bc | 3.12 ± 1.1 c | 11.9 ± 1.5 a | 34.9 ± 1.9 ab |
| ZnO 25 mg L−1 | 1410.1 ± 42.5 a | 16,203.9 ± 838.9 a | 5191.8 ± 245.5 a | 13,747.6 ± 882.3 a | 101.3 ± 18.9 ab | 2195.8 ± 151.1 ab | 11.01 ± 0.8 a | 7.1 ± 0.8 ab | 49.9 ± 3.4 a |
| Glyphosate (3.6 g ae L−1) | 607.3 ± 97.8 cd | 13,940.5 ± 852.1 bc | 1272.7 ± 73.7 cd | 10,569.1 ± 1182 bc | 71.8 ± 6.6 bc | 2181.2 ± 168.9 abc | 7.8 ± 0.7 b | 6.5 ± 1.1 b | 28.7 ± 1.3 b |
| Glyphosate (3.6 g ae L−1) + ZnO 25 | 937.9 ± 48.8 b | 14,862.7 ± 780.8 abc | 1483.9 ± 77.4 bc | 12,152.9 ± 985.2 ab | 104.9 ± 1.12 a | 2600.1 ± 295.2 a | 8.93 ± 0.9 ab | 14.4 ± 1.9 a | 32.4 ± 2.5 ab |
| Glyphosate (17.9 g ae L−1) | 464.6 ± 58.50 d | 11,145.8 ± 427.9 d | 841.3 ± 87.7 d | 10,873.6 ± 573.6 bc | 66.6 ± 5.5 c | 1359.9 ± 143.1 d | 3.1 ± 1.2 c | 5.6 ± 0.1 b | 27.7 ± 0.6 b |
| Glyphosate (17.9 g ae L−1) + ZnO 25 | 527.3 ± 213.3 cd | 12,800.4 ± 971 cd | 1302 ± 145.9 cd | 9111.1 ± 924.8 c | 59.8 ± 15.3 c | 1704.7 ± 84.6 cd | 7.11± 1.4 b | 6.9 ± 0.5 ab | 28.7 ± 3.4 b |
| CV (%) | 13.50 | 5.61 | - | 7.73 | 14.41 | 8.68 | 15.28 | - | - |
| p-value | 1.39 × 10−6 | 4.41 × 10−5 | 0.0091 | 0.00041 | 0.0014 | 3 × 10−5 | 3.3 × 10−6 | 0.018 | 0.31 |
| Treatment | P | Ca | Na | K | Fe | Mg | Zn | Cu | Mn |
|---|---|---|---|---|---|---|---|---|---|
| Control | 1712.1 ± 74.1 bc | 12,322.6 ± 255.1 a | 4395.3 ± 136.2 a | 14,182.3 ± 866.9 bc | 435.3 ± 54.8 ab | 4080.4 ± 89.3 abc | 20.6 ± 5.5 ab | 19.2 ± 2.2 a | 56.1 ± 1.2 a |
| ZnO 25 mg L−1 | 2114.6 ± 41.8 a | 12,355.6 ± 1442.2 a | 3772.5 ± 209.2 ab | 16,027.3 ± 1605.2 ab | 784.9 ± 8.9 a | 4336.6 ± 78.8 a | 26.4 ± 5.8 a | 17.9 ± 6.6 a | 41.3 ± 2.7 bc |
| Glyphosate (3.6 g ae L−1) | 1380.7 ± 12.01 e | 11,264.2 ± 1184.4 ab | 1672.6 ± 168.8 b | 15,860.7 ± 709.2 ab | 463.6 ± 39.1 ab | 4168.1 ± 139.4 ab | 16.9 ± 2.1 ab | 15.9 ± 3.6 ab | 47.1 ± 4.5 ab |
| Glyphosate (3.6 g ae L−1) + ZnO 25 | 1805.6 ± 91.6 ab | 13,504.7 ± 1190.4 a | 4420.1 ± 178.5 a | 17,701.1 ± 1597.6 a | 467.1 ± 20.7 ab | 3847.8 ± 275.9 bc | 29.1 ± 9.3 a | 18.9 ± 2.4 a | 30.1 ± 6.6 c |
| Glyphosate (17.9 g ae L−1) | 1442.9 ± 16.2 de | 9064.1 ± 699.1 b | 1342.5 ± 53.01 b | 12,611.3 ± 604.7 c | 387.3 ± 11.9 b | 3730.4 ± 59.3 c | 11.5 ± 0.8 b | 6.9 ± 0.6 b | 30.6 ± 6.3 c |
| Glyphosate (17.9 g ae L−1) + ZnO 25 | 1499.9 ± 41.2 cd | 11,541.6 ± 632.9 ab | 4367.9 ± 100.6 a | 14,769.6 ± 864.4 abc | 500.4 ± 14.1 ab | 3958.4 ± 75.5 abc | 16.4 ± 1.6 ab | 15.5 ± 1.6 ab | 38.7 ± 3.6 bc |
| CV (%) | - | 8.46 | - | 7.18 | - | 3.503 | 25.35 | 21.73 | 11.28 |
| p-value | 0.0071 | 0.0030 | 0.1262 | 0.0018 | 0.0484 | 0.0023 | 1.103 | 0.0083 | 0.0001 |
Disclaimer/Publisher’s Note: The statements, opinions and data contained in all publications are solely those of the individual author(s) and contributor(s) and not of MDPI and/or the editor(s). MDPI and/or the editor(s) disclaim responsibility for any injury to people or property resulting from any ideas, methods, instructions or products referred to in the content. |
© 2025 by the authors. Licensee MDPI, Basel, Switzerland. This article is an open access article distributed under the terms and conditions of the Creative Commons Attribution (CC BY) license.
Share and Cite
Tucto-Vela, L.; Meléndez-Mori, J.B.; Huaman, E.; Valle-Lopez, A.; Cruz, M.O. Effect of Zinc Oxide Nanoparticles on the Physiological and Biochemical Responses of Coffea arabica L. Exposed to Glyphosate. Nanomaterials 2026, 16, 39. https://doi.org/10.3390/nano16010039
Tucto-Vela L, Meléndez-Mori JB, Huaman E, Valle-Lopez A, Cruz MO. Effect of Zinc Oxide Nanoparticles on the Physiological and Biochemical Responses of Coffea arabica L. Exposed to Glyphosate. Nanomaterials. 2026; 16(1):39. https://doi.org/10.3390/nano16010039
Chicago/Turabian StyleTucto-Vela, Leyner, Jegnes Benjamín Meléndez-Mori, Eyner Huaman, Amilcar Valle-Lopez, and Manuel Oliva Cruz. 2026. "Effect of Zinc Oxide Nanoparticles on the Physiological and Biochemical Responses of Coffea arabica L. Exposed to Glyphosate" Nanomaterials 16, no. 1: 39. https://doi.org/10.3390/nano16010039
APA StyleTucto-Vela, L., Meléndez-Mori, J. B., Huaman, E., Valle-Lopez, A., & Cruz, M. O. (2026). Effect of Zinc Oxide Nanoparticles on the Physiological and Biochemical Responses of Coffea arabica L. Exposed to Glyphosate. Nanomaterials, 16(1), 39. https://doi.org/10.3390/nano16010039

