Monodisperse SiO2 Spheres: Efficient Synthesis and Applications in Chemical Mechanical Polishing
Abstract
1. Introduction
2. Materials and Methods
2.1. Materials
2.2. Preparation of Silica Spheres
2.3. Polishing Tests and Evaluations
2.4. Characterization
3. Results
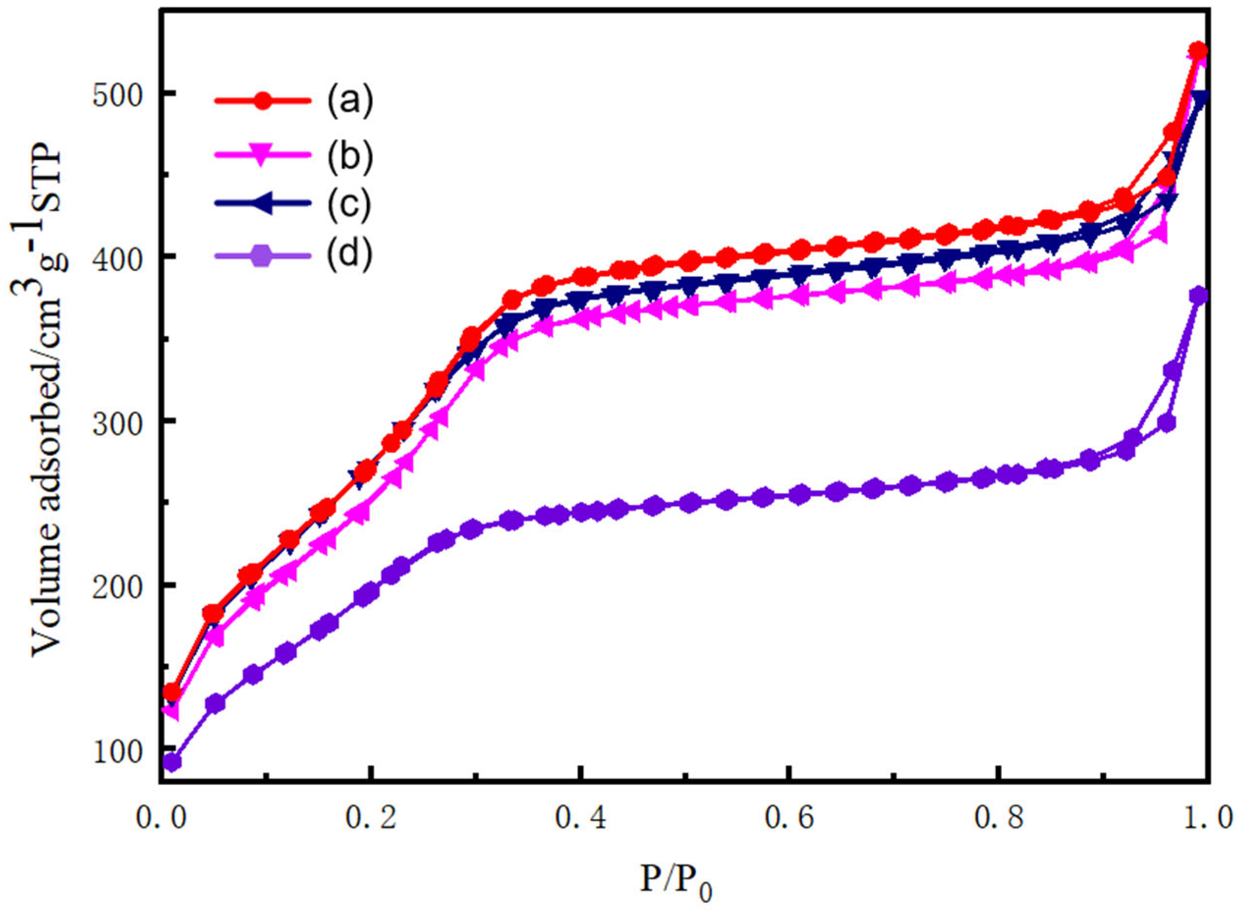
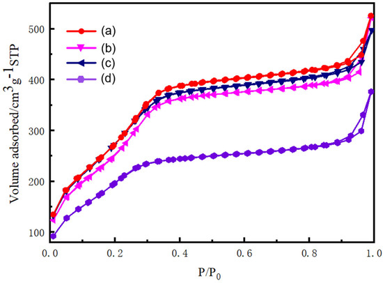
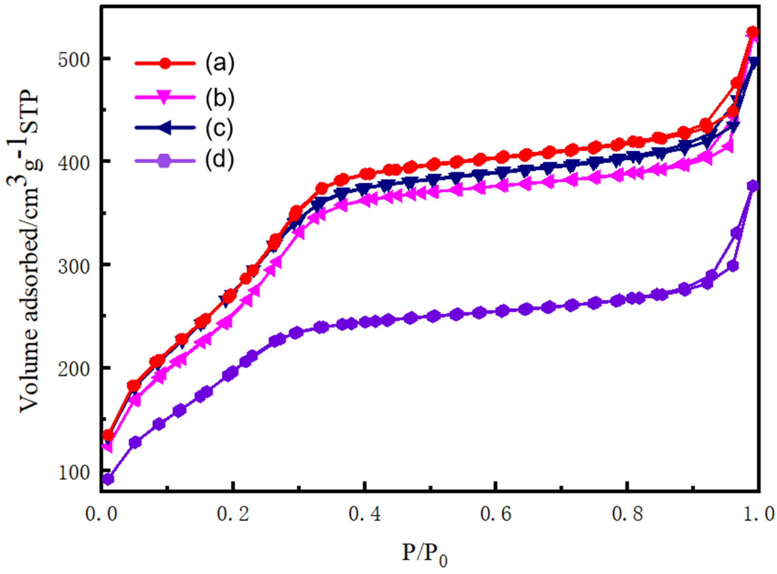
3.1. Structural and Textural Features
3.2. Polishing Performance of SiO2 Microspheres
4. Conclusions
Author Contributions
Funding
Data Availability Statement
Acknowledgments
Conflicts of Interest
References
- Lu, Z.Y.; Ryde, N.P.; Babu, S.V.; Matijevi, E. Particle adhesion studies relevant to chemical mechanical polishing. Langmuir 2005, 21, 9866. [Google Scholar] [CrossRef] [PubMed]
- Wang, H.Q.; Xu, Z.J.; Fink, M.J.; Shchukina, D.; Mitchell, B.S. Functionalized silicon nanoparticles from reactive cavitation erosion of silicon wafers. Chem. Commun. 2015, 51, 1465. [Google Scholar] [CrossRef] [PubMed]
- Chen, A.; Wang, W.Y.; Ma, X.Y.; Chen, Y. Ceria coated hexagonal mesoporous silica core shell composite particle abrasives for improved chemical mechanical planarization performance. J. Porous Mater. 2019, 26, 1005. [Google Scholar] [CrossRef]
- Stavreva, Z.; Zeidler, D.; Plotner, M.; Drescher, K. Characteristics in chemical mechanical polishing of copper: Comparison of polishing pads. Appl. Surf. Sci. 1997, 108, 39. [Google Scholar] [CrossRef]
- Kawaguchi, K.; Wang, Y.; Xu, J.X.; Ootani, Y.; Higuchi, Y.J.; Ozawa, N.; Kubo, M. Atom by atom and sheet by sheet chemical mehanical polishing of diamond assisted by OH radicals: A tight-binding quantum chemical molecular dynamics simulation study. ACS Appl. Mater. Interfaces 2021, 13, 41231. [Google Scholar] [CrossRef]
- Zhu, X.; Ding, J.; Mo, Z.; Jiang, X.; Sun, J.; Fu, H.; Gui, Y.; Ban, B.; Wang, L.; Chen, J. Evaluation of chemical mechanical polishing characteristics using mixed abrasive slurry: A study on polishing behavior and material removal mechanism. Appl. Surf. Sci. 2025, 679, 161157. [Google Scholar] [CrossRef]
- Penta, N.K.; Veera, P.; Babu, S.V. Role of poly (diallyldimethylammonium chloride) in selective polishing of polysilicon over silicon dioxide and silicon nitride films. Langmuir 2011, 27, 3502. [Google Scholar] [CrossRef]
- Huang, C.J.; Mu, W.X.; Zhou, H.; Zhu, Y.W.; Xu, X.M.; Jia, Z.T.; Zheng, L.; Tao, X.T. Effect of OH− on chemical mechanical polishing of β-Ga2O3 (100) substrate using an alkaline slurry. RSC Adv. 2018, 8, 6544. [Google Scholar] [CrossRef]
- Tseng, K.C.; Yen, Y.T.; Thomas, S.R.; Tsai, H.W.; Hsu, C.H.; Tsai, W.C.; Shen, C.H.; Shieh, J.M.; Wang, Z.M.; Chueh, Y.L. A facile chemical mechanical polishing lift off transfer process toward large scale Cu (In,Ga)Se2 thin-film solar cells on arbitrary substrates. Nanoscale 2016, 8, 5181. [Google Scholar] [CrossRef]
- Wen, J.L.; Ma, T.B.; Zhang, W.W.; Duin, A.C.; Lu, X.C. Surface orientation and temperature effects on the interaction of silicon with water: Molecular dynamics simulations using reaxFF reactive force field. J. Phys. Chem. A. 2017, 121, 587. [Google Scholar] [CrossRef]
- Dobbs, H.A.; Degen, G.D.; Berkson, Z.J.; Kristiansen, K.; Schrader, A.M.; Oey, T.; Sant, G.C.; Israelachvili, J.N. Electrochemically enhanced dissolution of silica and alumina in alkaline environments. Langmuir 2019, 35, 15651. [Google Scholar] [CrossRef] [PubMed]
- Janjua, T.I.; Cao, Y.; Kleitz, F.; Linden, M.; Yu, C.; Popat, A. Silica nanoparticles: A review of their safety and current strategies to overcome biological barriers. Adv. Drug Deliv. Rev. 2023, 203, 115115. [Google Scholar] [CrossRef]
- Li, Z.; Mu, Y.; Peng, C.; Lavin, M.F.; Shao, H.; Du, Z. Understanding the mechanisms of silica nanoparticles for nanomedicine. WIREs Nanomed. Nanobiotech. 2021, 13, e1658. [Google Scholar] [CrossRef] [PubMed]
- Sharma, K.; Hooda, A.; Goyat, M.S.; Rai, R.; Mittal, A. A review on challenges, recent progress and applications of silica nanoparticles based superhydrophobic coatings. Ceram. Int. 2022, 48, 5922–5938. [Google Scholar] [CrossRef]
- Yang, X.; Sun, R.Y.; Kawai, K.; Arima, K.; Yamamura, K. Surface modification and microstructuring of 4H-SiC (0001) by anodic oxidation with sodium chloride aqueous solution. ACS Appl. Mater. Interfaces 2019, 11, 2535. [Google Scholar] [CrossRef]
- He, J.; Li, X.L.; Su, D.; Ji, H.M.; Zhang, X.; Zhang, W.S. Super hydrophobic hexamethyldisilazane modified ZrO2-SiO2 aerogels with excellent thermal stability. J. Mater. Chem. A 2016, 4, 5632. [Google Scholar] [CrossRef]
- Mahboob, A.; Sultan, A.S.; Adewunmi, A.; Saikia, T.; Kamal, M.S. Emulsified silica gel for deep reservoir water conformance control. Energy Fuels 2023, 37, 4331. [Google Scholar] [CrossRef]
- Luo, Q.; Mackay, R.; Babu, S. Copper dissolution in aqueous ammonia containing media during chemical mechanical polishing. Chem. Mater. 1997, 10, 2101. [Google Scholar] [CrossRef]
- Miller, M.; Ferrato, M.; Niec, A.; Biesinger, C.; Carmichael, T. Ultrasmooth gold surfaces prepared by chemical mechanical polishing for applications in nanoscience. Langmuir 2014, 30, 14171. [Google Scholar] [CrossRef]
- Gupta, P.; Rai, N.; Verma, A.; Gautam, V. Microscopy based methods for characterization, drug delivery, and understanding the dynamics of nanoparticles. Med. Res. Rev. 2024, 44, 138–168. [Google Scholar] [CrossRef]
- Vincenti, L.; Pellegrino, P.; Cascione, M.; Matteis, V.D.; Farella, I.; Quaranta, F.; Rinaldi, R. Crafting at the nanoscale: A comprehensive review of mechanical Atomic force microscopy-based lithography methods and their evolution. Mater. Des. 2024, 243, 113036. [Google Scholar] [CrossRef]
- Amir, M.; Mishra, V.; Harma, R.S.; Ali, S.W.; Khan, G.S. Polishing performance of recyclable and reusable SiO2 magnetic nanoparticle based polishing nano abrasive. Mater. Today Proc. 2022, 60, 773. [Google Scholar] [CrossRef]
- Amir, M.; Mishra, V.; Sharma, R.; Ali, S.W.; Khan, G.S. Polishing performance of a magnetic nano particle-based nano abrasive for superfinish. Appl. Opt. 2022, 17, 109191. [Google Scholar]
- Amir, M.; Sharma, R.; Mishra, V.; Pant, K.K.; Agarwal, A.K.; Kim, D.; Ali, S.W.; Khan, G.S. Functionalization of SPION nanoparticle with malic acid for the development of superfinish optical surface. Opt. Laser Technol. 2023, 161, 109191. [Google Scholar] [CrossRef]
- Wang, Y.G.; Chen, Y.; Qi, F.; Zhao, D.; Liu, W.W. A material removal model for silicon oxide layers in chemical mechanical planarization considering the promoted chemical reaction by the down pressure. Tribol. Int. 2016, 93, 11. [Google Scholar] [CrossRef]
- Lei, H.; Luo, J.B. CMP of hard disk substrate using a colloidal SiO2 slurry: Preliminary experimental investigation. Wear 2004, 257, 461. [Google Scholar] [CrossRef]
- Kim, R.; Sung, Y.I.; Lee, J.S.; Lim, H.B. Chemiluminescence system for direct determination and mapping of ultra-trace metal impurities on a silicon wafer. Analyst 2010, 135, 2901. [Google Scholar] [CrossRef] [PubMed]
- Zhou, Y.; Pan, G.S.; Gong, H.; Shi, X.L. Characterization of sapphire chemical mechanical polishing performances using silica with different sizes and their removal mechanisms. Colloids Surf. A-Physicochem. Eng. Asp. 2017, 513, 153. [Google Scholar] [CrossRef]
- Lv, M.X.; Yu, S.T.; Liu, S.W.; Li, L.; Yu, H.H.; Wu, Q.; Pang, J.H.; Liu, Y.X.; Xie, C.X.; Liu, Y. One-pot synthesis of stable Pd@mSiO2 core-shell nanospheres with controlled pore structure and their application to the hydrogenation reaction. Dalton Trans. 2019, 48, 7015. [Google Scholar] [CrossRef]
- Chen, A.; Wang, S.R.; Cai, W.J.; Mu, Z.Y.; Chen, Y. Tunable synthesis, characterization, and CMP performance of dendritic mesoporous silica nanospheres as functionalized abrasives. Colloids Surf. A-Physicochem. Eng. Asp. 2022, 638, 128322. [Google Scholar] [CrossRef]
- Shi, X.L.; Chen, G.P.; Xua, L.; Kang, C.X.; Luo, G.H.; Zhou, Y.; Dargusch, M.S.; Pan, G.S. Achieving ultralow surface roughness and high material removal rate in fused silica via a novel acid SiO2 slurry and its chemical-mechanical polishing mechanism. Appl. Surf. Sci. 2020, 500, 144041. [Google Scholar] [CrossRef]
- Ng, H.T.; Han, J.; Yamada, T.; Nguyen, P.; Chen, Y.P.; Meyyappan, M. Single crystal nanowire vertical surround gate field effect transistor. NanoLetters 2004, 4, 1247. [Google Scholar] [CrossRef]
- Shi, X.L.; Pan, G.S.; Zhou, Y.; Gu, Z.H.; Gong, H.; Zou, C.L. Characterization of colloidal silica abrasives with different sizes and their chemical-mechanical polishing performance on 4H-SiC (0001). Appl. Surf. Sci. 2014, 307, 414. [Google Scholar] [CrossRef]
- Stöber, W.; Fink, A.; Bohn, E. Controlled growth of monodisperse silica spheres in the micron size range. J. Colloid Interface Sci. 1968, 26, 62. [Google Scholar] [CrossRef]
- Möller, K.; Bein, T. Talented mesoporous silica nanoparticles. Chem. Mater. 2017, 29, 371. [Google Scholar] [CrossRef]
- Yoo, W.C.; Stein, A. Solvent effects on morphologies of mesoporous silica spheres prepared by pseudomorphic transformations. Chem. Mater. 2011, 23, 1761. [Google Scholar] [CrossRef]
- Xie, W.X.; Zhang, Z.Y.; Liao, L.X.; Liu, J.; Su, H.J.; Wang, S.D.; Guo, D.M. Green chemical mechanical polishing of sapphire wafers using a novel slurry. Nanoscale 2020, 12, 22518. [Google Scholar] [CrossRef] [PubMed]
- Pan, G.S.; Gu, Z.H.; Zhou, Y.; Li, T.; Gong, H.; Liu, Y. Preparation of silane modified SiO2 abrasive particles and their chemical mechanical polishing (CMP) performances. Wear 2011, 273, 100. [Google Scholar] [CrossRef]
- Ryu, J.; Kim, W.; Yun, J.; Lee, K.; Lee, J.; Yu, H.; Kim, J.H.; Kim, J.J.; Jang, J. Fabrication of uniform wrinkled silica nanoparticles and their application to abrasives in chemical mechanical planarization. ACS Appl. Mater. Interfaces 2018, 10, 11843. [Google Scholar] [CrossRef]
- Zhang, L.; Wang, H.B.; Zhang, Z.F.; Qin, F.; Liu, W.L.; Song, Z.T. Preparation of monodisperse polystyrene/silica core-shell nano-composite abrasive with controllable size and its chemical mechanical polishing performance on copper. Appl. Surf. Sci. 2011, 258, 1217–1244. [Google Scholar] [CrossRef]
- Kim, N.H.; Ko, P.J.; Choi, G.W.; Seo, Y.J.; Lee, W.S. Chemical mechanical polishing (CMP) mechanisms of thermal SiO2 film after high-temperature pad conditioning. Thin Solid Film. 2006, 504, 166. [Google Scholar] [CrossRef]
- Myong, K.K.; Byun, J.; Choo, M.J.; Kim, H.; Kim, J.Y.; Lim, T.; Kim, J.J. Direct and quantitative study of ceria SiO2 interaction depending on Ce3+ concentration for chemical mechanical planarization (CMP) cleaning. Mater. Sci. Semicond. Process. 2021, 122, 105500. [Google Scholar] [CrossRef]
- Chen, G.M.; Ni, Z.F.; Bai, Y.W.; Li, Q.Z.; Zhao, Y.W. The role of interactions between abrasive particles and the substrate surface in chemical-mechanical planarization of Si-face 6H-SiC. RSC Adv. 2017, 7, 16938. [Google Scholar] [CrossRef]
- Chen, Y.; Wei, A.L.; Ma, X.Y.; Wang, T.Y.; Chen, A. Copper incorporated dendritic mesoporous silica nanospheres and enhanced chemical mechanical polishing (CMP) performance via Cu2+/H2O2 heterogeneous Fenton-like system. Appl. Surf. Sci. 2022, 601, 154262. [Google Scholar] [CrossRef]
- Matovu, J.B.; Ong, P.; Leunissen, L.; Krishnan, S.; Babu, S.V. Use of multifunctional carboxylic acids and hydrogen peroxide to improve surface quality and minimize phosphine evolution during chemical mechanical polishing of indium phosphide surfaces. Ind. Eng. Chem. Res. 2013, 52, 10664. [Google Scholar] [CrossRef]
- Shi, X.L.; Pan, G.S.; Zhou, Y.; Zou, C.L.; Gong, H. Extended study of the atomic step-terrace structure on hexagonal SiC (001) by chemical mechanical planarization. Appl. Surf. Sci. 2015, 284, 195. [Google Scholar] [CrossRef]
- Gao, P.L.; Liu, T.T.; Zhang, Z.Y.; Meng, F.N.; Ye, R.P.; Liu, J. Non-spherical abrasives with ordered mesoporous structures for chemical mechanical polishing. Sci. China Mater. 2021, 64, 2747. [Google Scholar] [CrossRef]
- Myers, J.N.; Zhang, X.X.; Bielefeld, J.; Lin, Q.H.; Chen, Z. Nondestructive in situ characterization of molecular structures at the surface and buried interface of silicon supported low-k dielectric films. J. Phys. Chem. B 2015, 119, 1736. [Google Scholar] [CrossRef]
- Wu, L.; Cui, L.C.; He, W.; Guo, J.; Yu, B.J.; Qian, L.M. Toward controllable wet etching of monocrystalline silicon: Roles of mechanically driven defects. ACS Appl. Mater. Interfaces 2022, 25, 29366. [Google Scholar] [CrossRef]
- Qin, K.; Moudgil, B.; Park, C.W. A chemical mechanical polishing model incorporating both the chemical and mechanical effects. Thin Solid Film. 2004, 446, 277. [Google Scholar] [CrossRef]
- Shi, X.; Xu, L.; Zhou, Y.; Zou, C.L.; Wang, R.R.; Pan, G.S. An in situ study of chemical mechanical polishing behaviours on sapphire (0001) via simulating the chemical product-removal process by AFM-tapping mode in both liquid and air environments. Nanoscale 2018, 10, 19692. [Google Scholar] [CrossRef] [PubMed]
- Wang, H.; Hu, L.J.; Cao, G.L.; Xia, R.Y.; Cao, J.W.; Zhang, J.L.; Pan, G.F. Experimental and computational studies on octylhydroxamic acid as an environmentally friendly inhibitor of cobalt chemical mechanical polishing. ACS Appl. Mater. Interfaces 2022, 14, 28321–28336. [Google Scholar] [CrossRef] [PubMed]
- Zhang, Z.L.; Jin, Z.J.; Guo, J. The effect of the interface reaction mode on chemical mechanical polishing. CIRP J. Manuf. Sci. Technol. 2020, 31, 539. [Google Scholar] [CrossRef]
- Bu, Z.Z.; Niu, F.L.; Chen, J.P.; Jiang, Z.L.; Wang, W.J.; Wang, X.H.; Wang, H.Q.; Zhang, Z.F.; Zhu, Y.W.; Sun, T. Single crystal silicon wafer polishing by pretreating pad adsorbing SiO2 grains and abrasive-free slurries. Mater. Sci. Semicond. Process. 2022, 141, 106418. [Google Scholar] [CrossRef]
- Wang, M.; Duan, F.L. Atomic level material removal mechanisms of Si (110) chemical mechanical polishing: Insights from ReaxFF reactive molecular dynamics simulations. Langmuir 2021, 270, 2161. [Google Scholar] [CrossRef]
- Shi, X.L.; Pan, G.S.; Zhou, Y.; Zou, C.L.; Gong, H. A study of chemical products formed on sapphire (0001) during chemical mechanical polishing. Surf. Coat. Technol. 2015, 270, 206. [Google Scholar] [CrossRef]
- Ma, J.H.; Xu, N.; Luo, Y.X.; Lin, Y.; Pu, Y.P. Enhancing the polishing efficiency of CeO2 abrasives on the SiO2 substrates by improving the Ce3+ concentration on their surface. ACS Appl. Electron. Mater. 2023, 5, 526–536. [Google Scholar] [CrossRef]










| Samples | SBET (m2 g−1) | Pore Size (nm) |
|---|---|---|
| CTAC-SiO2 | 1155.9 | 2.40 |
| CTAB-SiO2 | 1119.2 | 2.40 |
| STAB-SiO2 | 1059.0 | 2.38 |
| HDBAC-SiO2 | 796.9 | 2.35 |
Disclaimer/Publisher’s Note: The statements, opinions and data contained in all publications are solely those of the individual author(s) and contributor(s) and not of MDPI and/or the editor(s). MDPI and/or the editor(s) disclaim responsibility for any injury to people or property resulting from any ideas, methods, instructions or products referred to in the content. |
© 2025 by the authors. Licensee MDPI, Basel, Switzerland. This article is an open access article distributed under the terms and conditions of the Creative Commons Attribution (CC BY) license (https://creativecommons.org/licenses/by/4.0/).
Share and Cite
Ge, J.; Cao, Y.; Han, H.; Jin, X.; Liu, J.; Jiao, Y.; Wang, Q.; Gao, Y. Monodisperse SiO2 Spheres: Efficient Synthesis and Applications in Chemical Mechanical Polishing. Nanomaterials 2025, 15, 665. https://doi.org/10.3390/nano15090665
Ge J, Cao Y, Han H, Jin X, Liu J, Jiao Y, Wang Q, Gao Y. Monodisperse SiO2 Spheres: Efficient Synthesis and Applications in Chemical Mechanical Polishing. Nanomaterials. 2025; 15(9):665. https://doi.org/10.3390/nano15090665
Chicago/Turabian StyleGe, Jinlong, Yu Cao, Hui Han, Xiaoqi Jin, Jing Liu, Yuhong Jiao, Qiuqin Wang, and Yan Gao. 2025. "Monodisperse SiO2 Spheres: Efficient Synthesis and Applications in Chemical Mechanical Polishing" Nanomaterials 15, no. 9: 665. https://doi.org/10.3390/nano15090665
APA StyleGe, J., Cao, Y., Han, H., Jin, X., Liu, J., Jiao, Y., Wang, Q., & Gao, Y. (2025). Monodisperse SiO2 Spheres: Efficient Synthesis and Applications in Chemical Mechanical Polishing. Nanomaterials, 15(9), 665. https://doi.org/10.3390/nano15090665

