Biomass Cellulose-Derived Carbon Aerogel Supported Magnetite-Copper Bimetallic Heterogeneous Fenton-like Catalyst Towards the Boosting Redox Cycle of ≡Fe(III)/≡Fe(II)
Abstract
1. Introduction
2. Materials and Methods
2.1. Materials and Reagents
2.2. Preparation of Fe3O4-Cu/CA
2.3. Characterization Methods
2.4. Degradation of Organic Pollutants
3. Results and Discussions
3.1. Characterization
3.1.1. Morphologies, Textural Properties, and Element Compositions
3.1.2. Porous Structures, Crystal Patterns, and Magnetic Properties
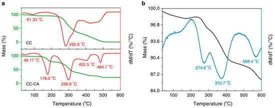
3.1.3. Thermogravimetric Analysis
3.1.4. Surface Chemistry and Carbonized Structures
3.1.5. Chemical Valence States of Fundamental Elements
3.2. Characterization of Fe3O4-Cu/CA Catalytic Performance on Fenton-like Degradation of RhB
3.3. Reusability and Catalytic Stability
3.4. Catalytic Oxidation Mechanism of Fe3O4-Cu/CA in Fenton-like System
3.4.1. Influence of Co-Existing Ions
3.4.2. Active Oxidative Species in Fe3O4-Cu/CA Catalytic Fenton-like Reaction System
3.4.3. Co-Catalytic Mechanism of the Fe3O4-Cu/CA Fenton-like Oxidative Reaction System
4. Conclusions
Supplementary Materials
Author Contributions
Funding
Data Availability Statement
Conflicts of Interest
References
- Tian, Y.; He, X.; Zhou, H.; Tian, X.; Nie, Y.; Zhou, Z.; Yang, C.; Li, Y. Efficient fenton-like degradation of ofloxacin over bimetallic Fe–Cu@Sepiolite composite. Chemosphere 2020, 257, 127209. [Google Scholar] [CrossRef] [PubMed]
- Li, N.; He, X.; Ye, J.; Dai, H.; Peng, W.; Cheng, Z.; Yan, B.; Chen, G.; Wang, S. H2O2 activation and contaminants removal in heterogeneous Fenton-like systems. J. Hazard. Mater. 2023, 458, 131926. [Google Scholar] [CrossRef]
- Zhao, Q.; Zhang, C.; Tong, X.; Zou, Y.; Li, Y.; Wei, F. Fe3O4-NPs/orange peel composite as magnetic heterogeneous Fenton-like catalyst towards high-efficiency degradation of methyl orange. Water Sci. Technol. 2021, 84, 159–171. [Google Scholar] [CrossRef]
- Sun, Y.; He, W.; Jiang, C.; Li, J.; Liu, J.; Liu, M. Wearable Biodevices Based on Two-Dimensional Materials: From Flexible Sensors to Smart Integrated Systems. Nano-Micro Lett. 2025, 17, 109. [Google Scholar] [CrossRef] [PubMed]
- Liu, Z.; Su, R.; Xu, F.; Xu, X.; Gao, B.; Li, Q. The Unique Fe3Mo3N Structure Bestowed Efficient Fenton-Like Performance of the Iron-Based Catalysts: The Double Enhancement of Radicals and Nonradicals. Adv. Mater. 2024, 36, 2311869. [Google Scholar] [CrossRef]
- Zhao, R.; Chen, D.; Liu, H.; Tian, H.; Li, R.; Huang, Y. FePO4/WB as an efficient heterogeneous Fenton-like catalyst for rapid removal of neonicotinoid insecticides: ROS quantification, mechanistic insights and degradation pathways. J. Hazard. Mater. 2024, 476, 135068. [Google Scholar] [CrossRef] [PubMed]
- Feng, C.; Zhang, H.; Liu, Y.; Ren, Y.; Zhou, P.; He, C.-S.; Xiong, Z.; Liu, W.; Dai, X.; Lai, B. Surface structure regulation of sulfidated zero-valent iron by H2O2 for efficient pH self-regulation and proton cycle to boost heterogeneous Fenton-like reaction for pollutant control. Appl. Catal. B Environ. Energy 2024, 345, 123667. [Google Scholar] [CrossRef]
- Mo, Y.; Che, C.; Han, W.; Chen, F.; Guan, J.; Zhang, F.; Yang, B.; Ren, X.; Li, H.; Ahmed, S.; et al. Fabrication of carbon-coated iron-based porous heterogeneous Fenton catalyst and enhanced degradation performance towards ciprofloxacin. Chem. Eng. J. 2024, 497, 154680. [Google Scholar] [CrossRef]
- Thomas, N.; Dionysiou, D.D.; Pillai, S.C. Heterogeneous Fenton catalysts: A review of recent advances. J. Hazard. Mater. 2021, 404, 124082. [Google Scholar] [CrossRef]
- Ma, B.; Zha, Y.; Shi, H.; Qin, Y.; Zhao, M.; Li, J.; Wang, S.; Yan, B.; Zhao, B.; Ma, Y.; et al. Enhanced photocatalysis-Fenton degradation of levofloxacin by Fe doped BiOCl microspheres with rich surface oxygen vacancies: The accelerated redox cycle of ≡Fe(III)/≡Fe(II). Sep. Purif. Technol. 2025, 354, 129086. [Google Scholar] [CrossRef]
- Liu, Z.; Zhang, Y.; Lee, J.; Xing, L. A review of application mechanism and research progress of Fe/montmorillonite-based catalysts in heterogeneous Fenton reactions. J. Environ. Chem. Eng. 2024, 12, 112152. [Google Scholar] [CrossRef]
- Ahmad, F.; Hussain, R.; Khan, S.U.; Shah, A.; Alajmi, M.F.; Arif, M.; Hussain, A.; Parveen, I.; Rahman, S.U. Synthesis of highly effective CuO–FeSe2 composites for the photodegradation of RhB under visible light. Res. Chem. Intermed. 2024, 50, 2501–2518. [Google Scholar] [CrossRef]
- Ye, Q.; Hunter, T.N.; Xu, H.; Harbottle, D.; Kale, G.M.; Tillotson, M.R. Synergistic effect of Fe and Ni on carbon aerogel for enhanced oxygen reduction and H2O2 activation in electro-Fenton process. Sep. Purif. Technol. 2025, 353, 128436. [Google Scholar] [CrossRef]
- Xu, H.; He, Y.; Yang, W.; Zou, C.; Liu, X.; Lu, F.; Xia, H. Strongly coupled Fe3O4 quantum dots-3D N-enriched carbon aerogel towards boosting peroxydisulfate activation by electron redistribution of multiple active sites. Appl. Surf. Sci. 2023, 635, 157669. [Google Scholar] [CrossRef]
- Sun, Y.; Li, J.; Liu, M. Scaling up the production of transition metal telluride nanosheets. Matter 2024, 7, 2704–2707. [Google Scholar] [CrossRef]
- Lai, C.; Yang, L.; Li, L.; Ma, D.; Cheng, M.; Liu, S.; Zhang, M.; Yan, H.; Tang, C.; Chen, Z. Design of a highly efficient Cu-based catalyst with two functional areas: The role of Cu0 and oxygen vacancies in Fenton-like system. Chem. Eng. J. 2023, 464, 142420. [Google Scholar] [CrossRef]
- Wang, Q.; Ma, Y.; Xing, S. Comparative study of Cu-based bimetallic oxides for Fenton-like degradation of organic pollutants. Chemosphere 2018, 203, 450–456. [Google Scholar] [CrossRef]
- Sun, Y.; Tian, P.; Ding, D.; Yang, Z.; Wang, W.; Xin, H.; Xu, J.; Han, Y.-F. Revealing the active species of Cu-based catalysts for heterogeneous Fenton reaction. Appl. Catal. B Environ. 2019, 258, 117985. [Google Scholar] [CrossRef]
- Sun, Y.; Yang, Z.; Tian, P.; Sheng, Y.; Xu, J.; Han, Y.-F. Oxidative degradation of nitrobenzene by a Fenton-like reaction with Fe-Cu bimetallic catalysts. Appl. Catal. B Environ. 2019, 244, 1–10. [Google Scholar] [CrossRef]
- Song, M.; Han, J.; Wang, Y.; Chen, L.; Chen, Y.; Liao, X. Effects and Mechanisms of Cu Species in Fe-MOFs on Fenton-Like Catalytic Activity and Stability. ACS Appl. Mater. Interfaces 2023, 15, 36201–36213. [Google Scholar] [CrossRef]
- Li, L.; Yin, Z.; Cheng, M.; Qin, L.; Liu, S.; Yi, H.; Zhang, M.; Fu, Y.; Yang, X.; Zhou, X.; et al. Insights into reactive species generation and organics selective degradation in Fe-based heterogeneous Fenton-like systems: A critical review. Chem. Eng. J. 2023, 454, 140126. [Google Scholar] [CrossRef]
- Shen, Y.; Xiao, Y.; Zhang, H.; Fan, H.; Li, Y.; Yan, Z.; Zhang, W.-H. Synthesis of magnetic biochar-supported Fe-Cu bimetallic catalyst from pulp and paper mill wastes for the Fenton-like removal of rhodamine B dye. Chem. Eng. J. 2023, 477, 146823. [Google Scholar] [CrossRef]
- Mao, X.; Zhang, M.; Wang, M.; Lei, H.; Dong, C.; Shen, R.; Zhang, H.; Chen, C.; Hu, J.; Wu, G. Highly efficient catalytic Fenton-Like reactions of bimetallic Fe/Cu chelated on radiation functionalized nonwoven fabric for pollutant control. J. Hazard. Mater. 2024, 467, 133752. [Google Scholar] [CrossRef]
- Jiang, R.; Zhong, D.; Xu, Y.; He, Y.; Zhang, J.; Liao, P. Chitosan-derived N-doped carbon supported Cu/Fe co-doped MoS2 nanoparticles as peroxymonosulfate activator for efficient dyes degradation. Int. J. Biol. Macromol. 2024, 278, 134352. [Google Scholar] [CrossRef]
- Wei, F.; Zhu, Y.; He, T.; Zhu, S.; Wang, T.; Yao, C.; Yu, C.; Huang, P.; Li, Y.; Zhao, Q.; et al. Insights into the pH-Dependent Adsorption Behavior of Ionic Dyes on Phosphoric Acid-Activated Biochar. ACS Omega 2022, 7, 46288–46302. [Google Scholar] [CrossRef] [PubMed]
- Lim, S.-F.; Zheng, Y.-M.; Chen, J.P. Organic Arsenic Adsorption onto a Magnetic Sorbent. Langmuir 2009, 25, 4973–4978. [Google Scholar] [CrossRef]
- Lin, H.; Li, Y.; Li, Y.; Li, M.-X.; Wu, L.; Chen, Z.; Li, J. Batch growth of wafer-scale nanocrystalline NbSe2 film for surface-enhanced Raman spectroscopy. Natl. Sci. Open 2025, 4, 20240043. [Google Scholar] [CrossRef]
- Liang, L.; Cheng, L.; Zhang, Y.; Wang, Q.; Wu, Q.; Xue, Y.; Meng, X. Efficiency and mechanisms of rhodamine B degradation in Fenton-like systems based on zero-valent iron. RSC Adv. 2020, 10, 28509–28515. [Google Scholar] [CrossRef]
- Lixiang, W.; Xuelu, L.; Rui, Z.; Xiaoli, W.; Miaosen, Z. Synthesis of Zeolite-Based Cu/Fe–X from Coal Gangue for Fenton-Like Catalytic Degradation of Rhodamine B. J. Inorg. Organomet. Polym. Mater. 2024, 34, 722–734. [Google Scholar] [CrossRef]
- Matos, R.; Kuźniarska-Biernacka, I.; Rocha, M.; Belo, J.H.; Araújo, J.P.; Estrada, A.C.; Lopes, J.L.; Shah, T.; Korgel, B.A.; Pereira, C.; et al. Design and photo-Fenton performance of Graphene/CuS/Fe3O4 tertiary nanocomposites for Rhodamine B degradation. Catalysis Today 2023, 418, 114132. [Google Scholar] [CrossRef]
- Xiao, J.; Lai, J.; Li, R.; Fang, X.; Zhang, D.; Tsiakaras, P.; Wang, Y. Enhanced Ultrasonic-Assisted Heterogeneous Fenton Degradation of Organic Pollutants over a New Copper Magnetite (Cu-Fe3O4/Cu/C) Nanohybrid Catalyst. Ind. Eng. Chem. Res. 2020, 59, 12431–12440. [Google Scholar] [CrossRef]
- Zhu, G.; Xiong, S.; Shi, C.; Jin, Y.; Ge, M. Fe-Cu@γ-Al2O3 microspheres as a heterogeneous Fenton-like catalyst for degrading polyvinyl alcohol, Rhodamine-B, and Reactive Red X-3B. J. Mol. Liq. 2022, 365, 120118. [Google Scholar] [CrossRef]
- Magomedova, A.; Isaev, A.; Orudzhev, F.; Sobola, D.; Murtazali, R.; Rabadanova, A.; Shabanov, N.S.; Zhu, M.; Emirov, R.; Gadzhimagomedov, S. Magnetically Separable Mixed-Phase α/γ-Fe2O3 Catalyst for Photo-Fenton-like Oxidation of Rhodamine B. Catalysts 2023, 13, 872. [Google Scholar] [CrossRef]
- Zhu, X.; Zhang, L.; Zou, G.; Chen, Q.; Guo, Y.; Liang, S.; Hu, L.; North, M.; Xie, H. Carboxylcellulose hydrogel confined-Fe3O4 nanoparticles catalyst for Fenton-like degradation of Rhodamine B. Int. J. Biol. Macromol. 2021, 180, 792–803. [Google Scholar] [CrossRef] [PubMed]
- Alshehri, A.; Alharbi, L.; Wani, A.A.; Malik, M.A. Biogenic Punica granatum Flower Extract Assisted ZnFe2O4 and ZnFe2O4-Cu Composites for Excellent Photocatalytic Degradation of RhB Dye. Toxics 2024, 12, 77. [Google Scholar] [CrossRef]
- Wei, F.; Jin, S.; Yao, C.; Wang, T.; Zhu, S.; Ma, Y.; Qiao, H.; Shan, L.; Wang, R.; Lian, X.; et al. Revealing the Combined Effect of Active Sites and Intra-Particle Diffusion on Adsorption Mechanism of Methylene Blue on Activated Red-Pulp Pomelo Peel Biochar. Molecules 2023, 28, 4426. [Google Scholar] [CrossRef]
- Xia, Q.; Zhang, D.; Yao, Z.; Jiang, Z. Revealing the enhancing mechanisms of Fe–Cu bimetallic catalysts for the Fenton-like degradation of phenol. Chemosphere 2022, 289, 133195. [Google Scholar] [CrossRef]
- Xia, Q.; Zhang, D.; Yao, Z.; Jiang, Z. Investigation of Cu heteroatoms and Cu clusters in Fe-Cu alloy and their special effect mechanisms on the Fenton-like catalytic activity and reusability. Appl. Catal. B Environ. 2021, 299, 120662. [Google Scholar] [CrossRef]
- Qi, F.; Peng, J.; Liang, Z.; Guo, J.; Yin, J.; Song, A.; Li, Z.; Liu, J.; Fang, T.; Zhang, J.; et al. Transforming waste brake pads from automobiles into Nano-Catalyst: Synergistic Fe-C-Cu triple sites for efficient fenton-like oxidation of organic pollutants. Waste Manag. 2024, 175, 225–234. [Google Scholar] [CrossRef]
- Nguyen, T.B.; Dong, C.-D.; Huang, C.P.; Chen, C.-W.; Hsieh, S.-L.; Hsieh, S. Fe-Cu bimetallic catalyst for the degradation of hazardous organic chemicals exemplified by methylene blue in Fenton-like reaction. J. Environ. Chem. Eng. 2020, 8, 104139. [Google Scholar] [CrossRef]









| Sample Name | SBET m2/g | Smeso m2/g | Vtotal cm3/g | Vmeso cm3/g | Mid-Value Dmicro nm | Average Dmeso nm |
|---|---|---|---|---|---|---|
| CC | 1.4 | - | - | - | - | - |
| CA | 329.9 | 103.4 | 0.26 | 0.15 | 3.97 | 5.77 |
| Fe3O4-Cu/CA | 45.6 | 52.0 | 0.09 | 0.10 | 3.71 | 7.80 |
| Catalysts | Catalyst C/Dosage (g/L)/(mg) | Initial CRhB (mg/L) | NRhB Removal (μmol) | H2O2/RhB mol/mol | Initial pH | Reaction Temperature (°C) | Reaction Time (min) | Degradation Ratio | Ref. |
|---|---|---|---|---|---|---|---|---|---|
| Fe3O4-Cu/CA | 0.1/10 | 1000 | 195.6 | 46.9 | 2.5 | 40 | 60 | 93.7% | This work |
| Fe3O4-Cu/CA | 0.1/10 | 600 | 124.1 | 78.2 | 2.5 | 40 | 60 | 99.1% | This work |
| Fe3O4-Cu/CA | 0.1/10 | 600 | 107.7 | 78.2 | 3 | 40 | 60 | 86% | This work |
| CuO–FeSe2 | 0.4/40 | 1 | 0.2 | - | - | rt, light | 180 | 96% | [12] |
| FeCu/BC600-2 | 0.2/10 | 10 | 1.0 | 95.8 | 3 | 30 | 60 | 100% | [22] |
| zero-valent iron | 0.5/250 | 47.9 | 48 | 80 | 4 | 25 | 60 | 98% | [28] |
| Cu/Fe-X type zeolite | 1.0/100 | 100 | 20.9 | 938 | 7 | 60 | 90 | 99.9% | [29] |
| GF/CuS/Fe3O4 | 0.1/20 | 5.8 | 2.37 | 4044 | - | rt, light | 60 | 98% | [30] |
| Cu-Fe3O4/Cu/C | 0.1/20 | 10 | 4.18 | 479 | 3 | 30 | 45 | 100% | [31] |
| Fe-Cu/γ-Al2O3 | 2.2/1100 | 200 | 209 | 739.6 | 7 | 70 | 3.5 | 99.9% | [32] |
| α-Fe2O3/γ-Fe2O3 | 0.2/10 | 8 | 0.83 | 10.8 | 7 | rt, light | 12 | 99.2% | [33] |
| Fe3O4/CHC | 2.4/24 | 10 | 0.21 | 47.9 | 2 | rt | 180 | 98.3% | [34] |
| Cu/ZnFe2O4 | 2.0/20 | 20 | 0.41 | - | 8 | rt, light | 140 | 98.1% | [35] |
Disclaimer/Publisher’s Note: The statements, opinions and data contained in all publications are solely those of the individual author(s) and contributor(s) and not of MDPI and/or the editor(s). MDPI and/or the editor(s) disclaim responsibility for any injury to people or property resulting from any ideas, methods, instructions or products referred to in the content. |
© 2025 by the authors. Licensee MDPI, Basel, Switzerland. This article is an open access article distributed under the terms and conditions of the Creative Commons Attribution (CC BY) license (https://creativecommons.org/licenses/by/4.0/).
Share and Cite
Zhao, Q.; Yang, J.; Xia, J.; Zhao, G.; Yang, Y.; Zhang, Z.; Li, J.; Wei, F.; Song, W. Biomass Cellulose-Derived Carbon Aerogel Supported Magnetite-Copper Bimetallic Heterogeneous Fenton-like Catalyst Towards the Boosting Redox Cycle of ≡Fe(III)/≡Fe(II). Nanomaterials 2025, 15, 614. https://doi.org/10.3390/nano15080614
Zhao Q, Yang J, Xia J, Zhao G, Yang Y, Zhang Z, Li J, Wei F, Song W. Biomass Cellulose-Derived Carbon Aerogel Supported Magnetite-Copper Bimetallic Heterogeneous Fenton-like Catalyst Towards the Boosting Redox Cycle of ≡Fe(III)/≡Fe(II). Nanomaterials. 2025; 15(8):614. https://doi.org/10.3390/nano15080614
Chicago/Turabian StyleZhao, Qiang, Jiawei Yang, Jiayi Xia, Gaotian Zhao, Yida Yang, Zongwei Zhang, Jing Li, Fang Wei, and Weiguo Song. 2025. "Biomass Cellulose-Derived Carbon Aerogel Supported Magnetite-Copper Bimetallic Heterogeneous Fenton-like Catalyst Towards the Boosting Redox Cycle of ≡Fe(III)/≡Fe(II)" Nanomaterials 15, no. 8: 614. https://doi.org/10.3390/nano15080614
APA StyleZhao, Q., Yang, J., Xia, J., Zhao, G., Yang, Y., Zhang, Z., Li, J., Wei, F., & Song, W. (2025). Biomass Cellulose-Derived Carbon Aerogel Supported Magnetite-Copper Bimetallic Heterogeneous Fenton-like Catalyst Towards the Boosting Redox Cycle of ≡Fe(III)/≡Fe(II). Nanomaterials, 15(8), 614. https://doi.org/10.3390/nano15080614

