Thermal Chemisorption and Reduction of Carbon Dioxide on UiO-66(Zr) and MIL-100(Fe)
Abstract
1. Introduction
2. Materials and Methods
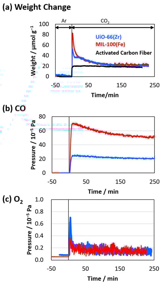
3. Results and Discussion
4. Conclusions
Author Contributions
Funding
Data Availability Statement
Acknowledgments
Conflicts of Interest
References
- Ghanbari, T.; Abnisa, F.; Wan Daud, W.M.A. A review on production of metal organic frameworks (MOF) for CO2 adsorption. Sci. Total Environ. 2020, 707, 135090. [Google Scholar] [CrossRef] [PubMed]
- Diffenbaugh, N.S.; Burke, M. Global warming has increased global economic inequality. Proc. Natl. Acad. Sci. USA 2019, 116, 9808–9813. [Google Scholar] [CrossRef]
- Notz, R.J.; Tönnies, I.; McCann, N.; Scheffknecht, G.; Hasse, H. CO2 Capture for Fossil Fuel-Fired Power Plants. Chem. Eng. Technol. 2011, 34, 163–172. [Google Scholar] [CrossRef]
- Yeh, J.T.; Resnik, K.P.; Rygle, K.; Pennline, H.W. Semi-batch absorption and regeneration studies for CO2 capture by aqueous ammonia. Fuel Process. Technol. 2005, 86, 1533–1546. [Google Scholar] [CrossRef]
- Chue, K.T.; Kim, J.N.; Yoo, Y.J.; Cho, S.H.; Yang, R.T. Comparison of activated carbon and zeolite 13X for CO2 recovery from flue gas by pressure swing adsorption. Ind. Eng. Chem. Res. 1995, 34, 591–598. [Google Scholar] [CrossRef]
- Wright, P.A. Microporous Framework Solids; RSC Publishing: Cambridge, UK, 2008; pp. 8–78. [Google Scholar]
- Xu, R.; Pang, W.; Yu, J.; Huo, Q.; Chen, J. Chemistry of Zeolites and Related Porous Materials: Synthesis and Structure; Wiley: New York, NY, USA, 2007; pp. 19–116. [Google Scholar]
- Guo, B.; Chang, L.; Xie, K. Adsorption of Carbon Dioxide on Activated Carbon. J. Nat. Gas Chem. 2006, 15, 223–229. [Google Scholar] [CrossRef]
- Wahby, A.; Silvestre-Albero, J.; Sepúlveda-Escribano, A.; Rodriguez-Reinoso, F. CO2 Adsorption on Carbon Molecular Sieves. Micropor. Mesopor. Mater. 2012, 164, 280. [Google Scholar] [CrossRef]
- Liu, Y.; Wang, Z.; Zhou, H.-C. Recent advances in carbon dioxide capture with metal-organic frameworks. Greenh. Gases Sci. Technol. 2012, 2, 239. [Google Scholar] [CrossRef]
- Lawson, H.D.; Walton, S.P.; Chan, C. Metal-Organic Frameworks for Drug Delivery: A Design Perspective. ACS Appl. Mater. Interfaces 2021, 13, 7004–7020. [Google Scholar] [CrossRef]
- Furukawa, H.; Cordova, K.E.; O’Keeffe, M.; Yaghi, O.M. The chemistry and Applications of metal-organic frameworks. Science 2013, 341, 1230444. [Google Scholar] [CrossRef]
- Li, J.-R.; Ma, Y.; McCarthy, M.C.; Sculley, J.; Yu, J.; Jeong, H.-K.; Balbuena, P.B.; Zhou, H.-C. Carbon dioxide capture-related gas adsorption and separation in metal-organic frameworks. Coord. Chem. Rev. 2011, 255, 1791–1823. [Google Scholar] [CrossRef]
- Yu, J.; Balbuena, P.B. Water Effects on Postcombustion CO2 Capture in Mg-MOF-74. J. Phys. Chem. C 2013, 117, 3383–3388. [Google Scholar] [CrossRef]
- Wang, H.H.; Hou, L.; Li, Y.Z.; Jiang, C.Y.; Wang, Y.Y.; Zhu, Z. Porous MOF with Highly Efficient Selectivity and Chemical Conversion for CO2. ACS Appl. Mater. Interfaces 2017, 9, 17969–17976. [Google Scholar] [CrossRef]
- Emam, H.E.; Abdelhamid, H.N.; Abdelhameed, R.M. Self-cleaned photoluminescent viscose fabric incorporated lanthanide-organic framework (Ln-MOF). Dyes Pigm. 2018, 159, 491–498. [Google Scholar] [CrossRef]
- Fang, Y.; Yang, Z.; Li, H.; Liu, X. MIL-100(Fe) and its derivatives: From synthesis to application for wastewater decontamination. Environ. Sci. Pollut. Res. Int. 2020, 27, 4703–4724. [Google Scholar] [CrossRef] [PubMed]
- Quijia, C.R.; Lima, C.; Silva, C.; Alves, R.C.; Frem, R.; Chorilli, M. Application of MIL-100(Fe) in drug delivery and biomedicine. Drug Deliv. Technol. 2021, 61, 102217. [Google Scholar] [CrossRef]
- Huang, S.; Yang, K.-L.; Liu, X.-F.; Pan, H.; Zhang, H.; Yang, S. MIL-100(Fe)-catalyzed efficient conversion of hexoses to lactic acid. RSC Adv. 2017, 7, 5621–5627. [Google Scholar] [CrossRef]
- Cmarik, G.E.; Kim, M.; Cohen, S.M.; Walton, K.S. Tuning the Adsorption Properties of UiO-66 via Ligand Functionalization. Langmuir 2012, 28, 15606–15613. [Google Scholar] [CrossRef]
- Cao, Y.; Zhang, H.; Song, F.; Huang, T.; Ji, J.; Zhong, Q.; Chu, W.; Xu, Q. UiO-66-NH2/GO Composite: Synthesis, Characterization and CO2 Adsorption Performance. Materials 2018, 11, 589. [Google Scholar] [CrossRef]
- Guesh, K.; Caiuby, C.A.D.; Mayoral, Á.; Díaz-García, M.; Díaz, I.; Sanchez-Sanchez, M. Sustainable Preparation of MIL-100(Fe) and Its Photocatalytic Behavior in the Degradation of Methyl Orange in Water. Cryst. Growth Des. 2017, 17, 1806–1813. [Google Scholar] [CrossRef]
- Katz, M.J.; Brown, Z.J.; Colón, Y.J.; Siu, P.W.; Scheidt, K.A.; Snurr, R.Q.; Hupp, J.T.; Farha, O.K. A facile synthesis of UiO-66, UiO-67 and their derivatives. Chem. Commun. 2013, 49, 9449–9451. [Google Scholar] [CrossRef]
- Cavka, J.H.; Jakobsen, S.; Olsbye, U.; Guillou, N.; Lamberti, C.; Bordiga, S.; Lillerud, K.P. A New Zirconium Inorganic Building Brick Forming Metal Organic Frameworks with Exceptional Stability. J. Am. Chem. Soc. 2008, 130, 13850–13851. [Google Scholar] [CrossRef]
- Horcajada, P.; Surblé, S.; Serre, C.; Hong, D.-Y.; Seo, Y.-K.; Chang, J.-S.; Grenèche, J.-M.; Margiolaki, I.; Férey, G. Synthesis and catalytic properties of MIL-100(Fe), an iron(III) carboxylate with large pores. Chem. Commun. 2007, 2820–2822. [Google Scholar] [CrossRef]
- Dhakshinamoorthy, A.; Alvaro, M.; Hwang, Y.K.; Seo, Y.-K.; Corma, A.; Garcia, H. Intracrystalline diffusion in Metal Organic Framework during heterogeneous catalysis: Influence of particle size on the activity of MIL-100 (Fe) for oxidation reactions. Dalton Trans. 2011, 40, 10719–10724. [Google Scholar] [CrossRef]
- Ramsahye, N.A.; Trens, P.; Shepherd, C.; Gonzalez, P.; Trung, T.K.; Ragon, F.; Serre, C. The effect of pore shape on hydrocarbon selectivity on UiO-66(Zr), HKUST-1 and MIL-125(Ti) metal organic frameworks: Insights from molecular simulations and chromatography. Micropor. Mesopor. Mater. 2014, 189, 222–231. [Google Scholar] [CrossRef]
- Ragon, F.; Campo, B.; Yang, Q.; Martineau, C.; Wiersum, A.D.; Lago, A.; Guillerm, V.; Hemsley, C.; Eubank, J.F.; Vishnuvarthan, M.; et al. Acid-functionalized UiO-66(Zr) MOFs and their evolution after intra-framework cross-linking: Structural features and sorption properties. J. Mater. Chem. A 2015, 3, 3294–3309. [Google Scholar] [CrossRef]
- Ladavos, A.K.; Katsoulidis, A.P.; Iosifidis, A.; Triantafyllidis, K.S.; Pinnavaia, T.J.; Pomonis, P.J. The BET equation, the inflection points of N2 adsorption isotherms and the estimation of specific surface area of porous solids. Micropor. Mesopor. Mater. 2012, 151, 126–133. [Google Scholar] [CrossRef]
- Asghar, A.; Iqbal, N.; Noor, T. Ultrasonication treatment enhances MOF surface area and gas uptake capacity. Polyhedron 2020, 181, 114463. [Google Scholar] [CrossRef]
- Yin, D.; Hu, X.; Cai, M.; Wang, K.; Peng, H.; Bai, J.; Xv, Y.; Fu, T.; Dong, X.; Ni, J.; et al. Preparation, Characterization, and In Vitro Release of Curcumin-Loaded IRMOF-10 Nanoparticles and Investigation of Their Pro-Apoptotic Effects on Human Hepatoma HepG2 Cells. Molecules 2022, 27, 3940. [Google Scholar] [CrossRef] [PubMed]
- Biswas, S.; Maes, M.; Dhakshinamoorthy, A.; Feyand, M.; De Vos, D.E.; Garcia, H.; Stock, N. Fuelpurification, Lewis acid and aerobic oxidation catalysis performed by a microporous Co-BTT (BTT3− = 1,3,5-benzenetristetrazolate) framework having coordinatively unsaturated sites. J. Mater. Chem. 2012, 22, 10200–10209. [Google Scholar] [CrossRef]
- Ta, H.; Pham Ngoc, T.; Nguyen, X.H.; Son, D. Metal—Organic Frameworks: State-of-the-art Material for Gas Capture and Storage. VNU J. Sci. Math. Phys. 2016, 32, 67–85. [Google Scholar]
- Yari Kalashgrani, M.; Babapoor, A.; Mousavi, S.M.; Feizpoor, S.; Hashemi, S.A.; Chiang, W.-H.; Lai, C.w. Synthesis of Isoreticular Metal Organic Framework-3 (IRMOF-3) Porous Nanostructure and Its Effect on Naphthalene Adsorption: Optimized by Response Surface Methodology. Separations 2023, 10, 261. [Google Scholar] [CrossRef]
- Colombo, V.; Galli, S.; Choi, H.J.; Han, G.D.; Maspero, A.; Palmisano, G.; Masciocchi, N.; Long, J.R. High thermal and chemical stability in pyrazolate-bridged metal–organic frameworks with exposed metal sites. Chem. Sci. 2011, 2, 1311–1319. [Google Scholar] [CrossRef]
- Abid, H.R.; Azhar, M.R.; Iglauer, S.; Rada, Z.H.; Al-Yaseri, A.; Keshavarz, A. Physicochemical Characterization of metal organic framework materials: A mini review. Heliyon 2024, 10, e23840. [Google Scholar] [CrossRef] [PubMed]
- Abid, H.R.; Rada, Z.H.; Li, Y.; Mohammed, H.A.; Wang, Y.; Wang, S.; Arandiyan, H.; Tan, X.; Liu, S. Boosting CO2 adsorption and selectivity in metal–organic frameworks of MIL-96(Al) via second metal Ca coordination. RSC Adv. 2020, 10, 8130–8139. [Google Scholar] [CrossRef]
- Halder, A.; Lee, S.; Yang, B.; Pellin, M.; Vajda, S.; Li, Z.; Yang, Y.; Farha, O.; Hupp, J. Structural reversibility of Cu doped NU-1000 MOFs under hydrogenation conditions. J. Chem. Phys. 2020, 152, 084703. [Google Scholar] [CrossRef]
- Nguyen, P.T.; Nguyen, H.T.; Pham, H.Q.; Kim, J.; Cordova, K.E.; Furukawa, H. Synthesis and Selective CO2 Capture Properties of a Series of Hexatopic Linker-Based Metal-Organic Frameworks. Inorg. Chem. 2015, 54, 10065–10072. [Google Scholar] [CrossRef]
- Ye, X.; Liu, D. Metal–Organic Framework UiO-68 and Its Derivatives with Sufficiently Good Properties and Performance Show Promising Prospects in Potential Industrial Applications. Cryst. Growth Des. 2021, 21, 4780–4804. [Google Scholar] [CrossRef]
- Saha, D.; Deng, S. Structural Stability of Metal Organic Framework MOF-177. J. Phys. Chem. Lett. 2010, 1, 73–78. [Google Scholar] [CrossRef]
- Mutyala, S.; Yakout, S.M.; Ibrahim, S.S.; Jonnalagadda, M.; Mitta, H. Enhancement of CO2 capture and separation of CO2/N2 using post-synthetic modified MIL-100(Fe). New J. Chem. 2019, 43, 9725–9731. [Google Scholar] [CrossRef]
- Oliveira, L.T.; Gonçalves, R.V.; Gonçalves, D.V.; de Azevedo, D.C.S.; Pereira de Lucena, S.M. Superior Performance of Mesoporous MOF MIL-100 (Fe) Impregnated with Ionic Liquids for CO2 Adsorption. J. Chem. Eng. Data 2019, 64, 2221–2228. [Google Scholar] [CrossRef]
- Mei, L.; Jiang, T.; Zhou, X.; Li, Y.; Wang, H.; Li, Z. A novel DOBDC-functionalized MIL-100(Fe) and its enhanced CO2 capacity and selectivity. Chem. Eng. J. 2017, 321, 600–607. [Google Scholar] [CrossRef]
- Ahmed, H.E.; Albolkany, M.K.; El-Khouly, M.E.; El-Moneim, A.A. Tailoring MIL-100(Fe)-derived catalyst for controlled carbon dioxide conversion and product selectivity. RSC Adv. 2024, 14, 13946–13956. [Google Scholar] [CrossRef] [PubMed]
- Lv, H.; Zhao, H.; Cao, T.; Qian, L.; Wang, Y.; Zhao, G. Efficient degradation of high concentration azo-dye wastewater by heterogeneous Fenton process with iron-based metal-organic framework. J. Mol. Catal. A Chem. 2015, 400, 81–89. [Google Scholar] [CrossRef]
- Du, J.; Zhang, F.; Jiang, L.; Guo, Z.; Song, H. Enhanced cobalt MOF electrocatalyst for oxygen evolution reaction via morphology regulation. Inorg. Chem. Commun. 2023, 158, 111661. [Google Scholar] [CrossRef]
- Zhang, M.-D.; Huang, J.-R.; Shi, W.; Liao, P.-Q.; Chen, X.-M. Synergistic Effect in a Metal–Organic Framework Boosting the Electrochemical CO2 Overall Splitting. J. Am. Chem. Soc. 2023, 145, 2439–2447. [Google Scholar] [CrossRef]
- Cheng, R.; Debroye, E.; Hofkens, J.; Roeffaers, M.B.J. Efficient Photocatalytic CO2 Reduction with MIL-100(Fe)-CsPbBr3 Composites. Catalysts 2020, 10, 1352. [Google Scholar] [CrossRef]









| Sample | SBET/m2 g−1 | Vp/cm3 g−1 | dp/nm |
|---|---|---|---|
| UiO-66(Zr) | 1020 | 0.50 | 2.1 |
| MIL-100(Fe) | 940 | 0.49 | 2.5 |
Disclaimer/Publisher’s Note: The statements, opinions and data contained in all publications are solely those of the individual author(s) and contributor(s) and not of MDPI and/or the editor(s). MDPI and/or the editor(s) disclaim responsibility for any injury to people or property resulting from any ideas, methods, instructions or products referred to in the content. |
© 2025 by the authors. Licensee MDPI, Basel, Switzerland. This article is an open access article distributed under the terms and conditions of the Creative Commons Attribution (CC BY) license (https://creativecommons.org/licenses/by/4.0/).
Share and Cite
Takawane, S.; Miyamoto, M.; Kondo, A.; Urita, K.; Ohba, T. Thermal Chemisorption and Reduction of Carbon Dioxide on UiO-66(Zr) and MIL-100(Fe). Nanomaterials 2025, 15, 479. https://doi.org/10.3390/nano15070479
Takawane S, Miyamoto M, Kondo A, Urita K, Ohba T. Thermal Chemisorption and Reduction of Carbon Dioxide on UiO-66(Zr) and MIL-100(Fe). Nanomaterials. 2025; 15(7):479. https://doi.org/10.3390/nano15070479
Chicago/Turabian StyleTakawane, Smita, Masatoshi Miyamoto, Atsushi Kondo, Koki Urita, and Tomonori Ohba. 2025. "Thermal Chemisorption and Reduction of Carbon Dioxide on UiO-66(Zr) and MIL-100(Fe)" Nanomaterials 15, no. 7: 479. https://doi.org/10.3390/nano15070479
APA StyleTakawane, S., Miyamoto, M., Kondo, A., Urita, K., & Ohba, T. (2025). Thermal Chemisorption and Reduction of Carbon Dioxide on UiO-66(Zr) and MIL-100(Fe). Nanomaterials, 15(7), 479. https://doi.org/10.3390/nano15070479

