Abstract
With the ongoing development of electronic devices, there is an increasing demand for new semiconductors beyond traditional silicon. A key element in electronic circuits, complementary metal-oxide semiconductor (CMOS), utilizes both n-type and p-type semiconductors. While the advancements in n-type semiconductors have been substantial, the development of high-mobility p-type semiconductors has lagged behind. Recently, tellurium (Te) has been recognized as a promising candidate due to its superior electrical properties and the capability for large-area deposition via vacuum processes. In this work, an innovative approach involving the addition of a metal-capping layer onto Te thin-film transistors (TFTs) is proposed, which significantly enhances their electrical characteristics. In particular, the application of an indium (In) metal-capping layer has led to a dramatic increase in the field-effect mobility of Te TFTs from 2.68 to 33.54 cm2/Vs. This improvement is primarily due to the oxygen scavenger effect, which effectively minimizes oxidation and eliminates oxygen from the Te layer, resulting in the production of high-quality Te thin films. This progress in high-mobility p-type semiconductors is promising for the advancement of high-performance electronic devices in various applications and industries.
1. Introduction
Thin-film transistors (TFTs) are crucial components not only in cutting-edge displays but also in a range of prospective electronic devices, such as flexible/stretchable electronics and monolithic three-dimensional (3D) complementary metal oxide semiconductors (CMOS) [,,,,]. The deployment of both n- and p-type semiconductors is essential for developing high-performance circuits in future electronics. Recently, amorphous InGaZnO (a-IGZO) has garnered significant attention due to its superior qualities relative to Si-based semiconductors, including high mobility, excellent transparency owing to its large bandgap, extensive area uniformity, and low leakage current that collectively contribute to decreased power consumption [,,,]. In p-type oxide semiconductors, hole movement predominantly occurs within the valence band, characterized by strongly localized oxygen 2p orbitals [,,,]. Additionally, the generation of holes is hindered by the high formation energy associated with the intrinsic acceptor, which leads to substantial effective hole mass and diminished carrier mobility. Consequently, the development of new high-performance p-channel materials, distinct from oxides, is imperative for diversifying electronic applications.
Numerous high-mobility p-type transistors utilizing two-dimensional materials have been developed; however, these materials often necessitate elevated growth temperatures to achieve optimal film quality [,,,]. Furthermore, issues regarding large-area fabrication persist, influenced by numerous factors such as growth substrates, conditions, and uniformity control. Recently, tellurium (Te), a group VI quasi-2D material, has emerged as a favorable p-type semiconductor, offering advantages such as piezoelectric, photoconductive, and thermoelectric properties alongside high hole mobility [,,,,]. The isotropic structure of Te, characterized by Te atoms covalently bonded to two adjacent atoms forming a triangular helix chain along the [0001] direction in a hexagonal arrangement via van der Waals forces, supports the formation of a naturally passivated surface without dangling bonds—critical for achieving clean, high-performance interfaces. Predominantly, Te is fabricated through evaporation-based deposition at cryogenic temperatures, molecular beam epitaxy, and liquid processes, which are unsuitable for large-area mass production [,,]. Despite the advancements in room-temperature, large-area-capable sputtering processes for Te TFTs, there remains a trade-off between mobility and the on/off ratio [,,]. Recent studies have explored Selenium-Te alloy p-type TFTs utilizing thermal evaporation or pulsed laser deposition (PLD); however, their mobility has yet to meet expectations [,].
Significant research efforts have focused on improving mobility through structural modifications, such as the inclusion of bilayers or metal-capping layers [,,]. The metal-capping layer, in particular, is a straightforward technique that significantly enhances the mobility of transistors by adding a metal layer atop semiconductors. This method proves versatile, effectively influencing both p-type and n-type semiconductors, although the mechanism of mobility enhancement varies with the specific semiconductor and metal layer combinations. This study focuses on improving the mobility of the TFTs, which were fabricated using a sputtering process at room temperature, by incorporating a metal-capping layer. After optimizing the characteristics of Te, an indium (In) metal-capping layer was applied to the Te TFTs to boost mobility. The application of an In-capping layer notably enhances mobility by approximately 12 times without compromising the on/off ratio. Moreover, the bias stability was unaffected by the introduction of the capping layer.
2. Materials and Methods
Te TFTs were fabricated on heavily doped p-type Si substrates with a 100-nanometer-thick thermally grown SiO2 dielectric layer. The Te-active layers were deposited by a sputtering system (I.T.S, Ansan-si, Republic of Korea) at room temperature using a Te target (99.99%, Toshima, Tokyo, Japan) with RF powers set to 20 W. The working pressure was maintained at 10 mTorr, while the Ar gas flow rate was consistently kept at 10 sccm. Following the deposition of the active layers, thermal annealing was carried out at 150 °C for 1 h in an air ambient using rapid thermal annealing (RTA, Han TECH, Ulsan, Republic of Korea). Source-drain electrodes were then formed by depositing a 100-nanometer-thick ITO film using DC sputtering (EI Technology, Busan, Republic of Korea), resulting in a channel with a width (W) and length (L) of 800 and 200 μm, respectively. Subsequently, 2.5-nanometer-thick indium (In) metal layers were deposited between the source/drain electrodes with dimensions of W/L = 1300/100 μm using the sputtering process (EI Technology, Korea). After the deposition of the capping layer, a second thermal annealing was conducted at 150 °C for 1 hr in an air ambient by RTA. All layers were defined using a shadow mask. Figure 1 shows the schematic diagram of the cross-sectional In-capped Te TFT and the fabrication procedure. All TFTs were characterized at RT (approximately 25 °C) in dark and ambient conditions. The electrical properties were measured using a Keithley 4200-SCS (Tektronix, Beaverton, OR, USA).

Figure 1.
Schematic diagram of cross-sectional In-capped Te TFT and fabrication procedure.
For the crystallinity of Te thin film before and after the annealing process, XRD was measured by a D2 Phaser instrument (Bruker, Billerica, MA, USA) using Te films with a thickness of 50 nm. Except for XRD, all samples used for characterization were set to 7 nm for Te and 2.5 nm for the In-capping layer. To see the chemical structure of Te, XPS (Versaprobe II, ULVAC-PHI, Chigasaki, Japan) was measured using a monochromatic Al Kα (hν = 1486.7 eV). UV–vis was measured by SCINCO, S-3100 (SCINCO, Seoul, Republic of Korea), to see the optical properties such as transmittance and optical bandgap.
3. Results and Discussion
Figure 2a displays the X-ray diffraction (XRD) spectra of Te thin films annealed at a temperature of 150 °C. The XRD spectrum includes a total of 12 distinct peaks located at 23.04°, 27.6°, 38.5°, 40.4°, 43.3°, 46.8°, 49.6°, 51.3°, 56.9°, 63.1°, 65.6 °, and 67.9°, corresponding to the crystallographic planes (100), (101), (102), (110), (111), (200), (201), (112), (202), (210), (104), and (203), respectively. The Te thin films exhibit similar polycrystalline phases regardless of annealing, with the main peak at (101) and an XRD refraction pattern reminiscent of hexagonal Te as previously reported (JCPDS Card No. 36-1452). These findings confirm that physical crystallinity changes due to annealing up to 150 °C are minimal. Above 150 °C, volatilization occurs, causing the film edges to blur and its thickness to gradually decrease, as illustrated in Figure S1.

Figure 2.
(a) X-ray diffraction (XRD) patterns. (b) Te 3d XPS spectra. (c) Optical transmittance of the pristine and annealed Te films at 150 °C.
X-ray photoelectron spectroscopy (XPS) analysis was utilized to explore the chemical structure of the Te thin films. Figure 2b presents the Te 3d XPS spectra of Te thin films as a function of annealing, featuring four peaks with binding energies around 588.56, 585.44, 578.17, and 574.94 eV. The peaks near 588.56 and 585.71 eV correspond to the Te 3d3/2, and the peaks near 578.17 and 574.94 eV correspond to Te 3d5/2 [,,,]. The peaks around 588.56 and 578.17 eV indicate the Te4+ state, which means oxidation states of Te, and the peaks around 585.44 and 574.94 eV indicate the Te0 state, representing the neutral metallic Te state. Both pristine and annealed Te thin films predominantly exhibit the neutral Te0 state rather than the oxidized Te4+ state. The peaks corresponding to Te4+ in both Te 3d3/2 and Te 3d5/2 are related to the oxidation state and increased with annealing, indicating oxidation at the annealing temperature of 150 °C.
UV/vis spectroscopy was utilized to explore the optical properties of Te thin films before and after annealing processes. As depicted in Figure 2c, the transmittance of the Te thin film escalated from an average of 39.9% to 42.5% in the visible ray region (380–700 nm) after annealing, corroborating the oxidation of the Te thin film suggested by XPS results.
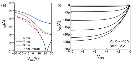
Electrical characteristics of the p-type Te TFT were examined by measuring transfer curves corresponding to varying Te thickness, as illustrated in Figure 3a. Transfer curves were measured over a gate voltage range from 30 to −30 V at a drain voltage of −1 V. Table 1 summarized the representative transfer parameters of the Te TFTs in this work. A pristine 7-nanometer-thick Te TFT exhibited typical p-type behavior with a mobility, on/off ratio, and Von value of 2.16 cm2/Vs, 2.95 × 102, and −3.11 V, respectively. The annealing process improved the Te TFT electrical characteristics, changing the mobility, on/off ratio, and Von to 2.68 cm2/Vs, 6.36 × 102, and −0.88 V, respectively. It is known that the Te TFTs have an increased mobility and a decreased on/off ratio as their thickness increases. Conversely, as their thickness decreases, their mobility decreases, and the on/off ratio increases. Specifically, a 5-nanometer-thick Te TFT showcased a high on/off ratio of 2.24 × 104, albeit with a comparatively low on current, resulting in diminished field-effect mobility of 0.58 cm2/Vs. Conversely, the 9-nanometer-thick Te TFT, the thickest sample assessed, evidenced a mobility of 3.92 cm2/Vs and an on/off ratio of 4.86 × 10. Output curves of the 7-nanometer-thick Te TFT in Figure 3b demonstrated conventional p-type transport behavior with ohmic-like contacts.

Figure 3.
(a) Transfer curves of Te TFTs under various conditions, and (b) output curves of 7-nanometer-thick annealed Te TFTs at 150 °C.

Table 1.
Representative transfer parameters of Te TFTs under various conditions.
To enhance the Te TFT mobility, an indium (In) metal-capping layer was applied atop the Te thin film. Subsequent to the In deposition by sputtering process, an additional annealing at 150 °C for 1 h was performed. The XPS Te 3d analysis was conducted on three distinct regions of the Te thin film under different conditions: pristine Te, annealed Te, and annealed In-capped Te. Figure 4a–c show the XPS Te 3d spectra obtained from the back channel (interface between Te and In, or the surface of Te), bulk Te, and front channel of Te, respectively. Both pristine and annealed Te exhibited not only the metallic Te0 peak but also the oxidation peak of Te4+ in both Te 3d3/2 and Te 3d5/2 at the back channel, which is the surface of the Te film. There is no significant change in peaks across the back channel, bulk, and front channel, indicating that oxygen is uniformly distributed throughout the entire Te thin film. After the introduction of the In-capping layer, the oxidation peaks of Te4+ for both Te 3d3/2 and Te 3d5/2 decrease significantly and are almost undetectable. This phenomenon occurs not only in the back channel area but is also consistently observed in both the bulk and front channels.

Figure 4.
XPS Te 3d spectra of pristine Te, annealed Te at 150 °C, and In-capped annealed Te at 150 °C for (a) back, (b) bulk, and (c) front channels.
According to XPS results, the oxidation peak of Te diminished following the introduction of an In-capping layer. Figure 5 illustrates a schematic of the mechanism occurring when a metal-capping layer of In is applied to Te. During the In sputtering process and subsequent post-annealing process, In and Te diffuse each other, and the oxygen bound to Te undergoes bond dissociation upon the introduction of In, subsequently combining with In atoms. This occurrence is attributed to the differences in Gibbs free energy of formation (ΔGf) between the In2O3 (−830.7 eV) and TeO2 (−318.0 eV), which indicate their oxidation tendencies [,,]. A lower ΔGf suggests a higher propensity to form oxide. Consequently, In scavenges oxygen from Te, forming In2O3 and reinforcing the Te network. Moreover, the effective diffusion of In into Te during the sputtering and post-annealing process facilitates the removal of oxygen from Te, thereby strengthening the Te network and enhancing current transport, which leads to improved mobility.

Figure 5.
Schematic representation of the oxygen scavenger effect in In-capped Te.
A TFT was fabricated to validate the mobility enhancement achieved by the In-capping layer. Figure 6a shows the optical microscope (OM) image of In-capped Te TFTs. The In-capping layers, deposited between the source/drain electrodes with dimensions of W/L = 1300/100 μm by the sputtering process, are distinctly separated into islands and are not directly connected to the S/D electrode. Figure 6b represents the transfer curve of the Te TFTs enhanced by a In metal-capping layer. With the In-capping layer implemented, there has been a notable increase in current. Consequently, the mobility has improved 12 times, advancing from 2.68 to 33.54 cm2/Vs, and the on/off ratio has been enhanced to 1.05 × 103. Von showed a slight positive shift from −3.11 to −2.21 V. This enhancement is attributed to the disruption of the Te-O bond and the fortification of the Te-Te bond, facilitating smoother carrier transport, as verified by XPS. Figure 6c illustrates the output curves of the Te TFT with the In-capping layer, demonstrating ohmic-like contact and a higher current than the Te TFT without the layer. Table S1 shows a summary of the reported Te-related TFTs [,,,,,,,,]. Various deposition methods have been introduced to fabricate Te thin films, such as cryogenic evaporation, sputtering, MBE, and PLD. Recently, studies have been reported to further improve the mobility of Te TFTs through Se alloying, encapsulation, and partial oxide. In this study, enhancement of Te mobility was demonstrated through an In-capping layer, which enabled the Te TFT to improve the mobility by approximately 10 times.

Figure 6.
(a) Optical image of an In-capped Te TFT. (b)Transfer curves of an In-capped Te TFTs. (c) Output curves of an In-capped Te TFT.
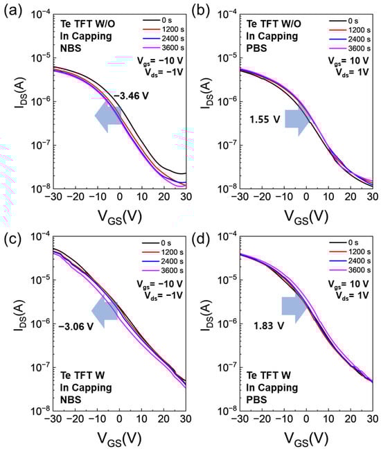
Moreover, stability tests under both negative bias stress (NBS) and positive bias stress (PBS) were conducted to evaluate the performance of both annealed Te TFTs and In-capped Te TFTs. For NBS, the applied gate voltage (Vgs) and drain voltage (Vds) were −10 V and 1 V, respectively. For PBS, Vgs and Vds were set to 10 V and 1 V, respectively. The transfer curves for Te TFTs and In-capped Te TFTs are depicted in Figure 7. With increasing stress time, all the Te TFTs exhibit negative and positive shifts under NBS and PBS, respectively. No significant differences in bias stability were observed, even after capping. However, there are notable differences in the shifts of transfer curves under PBS and NBS. At negative bias and hole trapping, and at positive bias, electron trapping serves as the primary degradation mechanism. Consequently, trapping of relatively large amounts of holes occurs more frequently, resulting in poorer NBS stability compared to PBS.

Figure 7.
Transfer curves under bias stress stability test for Te TFTs (a,b) and In-capped Te TFTs (c,d), for NBS (a,c) and PBS (b,d).
4. Conclusions
This study demonstrates the significant mobility enhancement of the Te TFT employing a metal-capping layer. Te can be deposited via a sputtering process at room temperature, with its electrical properties modifiable through the control of thickness. The integration of an In metal layer markedly elevates the mobility from 2.68 to 33.54 cm2/Vs and simultaneously improves the on/off ratio. Analytical results from XPS suggest that the enhanced performance results from In diffusing into Te during the sputtering process, acting as an oxygen scavenger, and thereby disrupting the bonding between Te and oxygen to reinforce the Te network. This innovation presents a promising technique for fabricating high-performance Te TFTs.
Supplementary Materials
The following supporting information can be downloaded at: https://www.mdpi.com/article/10.3390/nano15060418/s1. Figure S1: OM image of a Te thin film according to annealing temperature. Table S1: Summary of Te-related TFTs.
Author Contributions
S.-M.L. and S.C.J. contributed to this work equally and shared the first authorship; S.-M.L., S.C.J., J.-M.P. and J.P. explored theoretically the concepts and designed the experiments; S.-M.L. and S.C.J. conducted all the experiments; N.C. and K.-B.C. performed the XPS analysis; J.-M.P. and J.P. assisted with the experimental procedure; J.W.L. provided comments on the writing—review and editing of this manuscript; H.-S.K. supervised the project. All authors have read and agreed to the published version of the manuscript.
Funding
This work was financially supported by the Agency For Defense Development under the Korean Government (UD2200061D) and also received support from the Dongguk University Research Fund of 2023 (S-2023-G0001-00096).
Data Availability Statement
The data presented in this study are available upon request from the corresponding author.
Conflicts of Interest
The authors have declared no competing financial interests.
References
- Choi, J.; Lee, C.; Lee, C.; Park, H.; Lee, S.M.; Kim, C.-H.; Yoo, H.; Im, S.G. Vertically stacked, low-voltage organic ternary logic circuits including nonvolatile floating-gate memory transistors. Nat. Commun. 2022, 13, 2305. [Google Scholar] [CrossRef]
- Kim, J.; Jeong, S.M.; Jeong, J. Scaling characteristics of depletion type, fully transparent amorphous indium–gallium–zinc-oxide thin-film transistors and inverters following Ar plasma treatment. Jpn. J. Appl. Phys. 2015, 54, 114102. [Google Scholar] [CrossRef]
- Zhang, J.; Wang, W.; Zhu, J.; Wang, J.; Zhao, C.; Zhu, T.; Ren, Q.; Liu, Q.; Qiu, R.; Zhang, M. Ultra-Flexible Monolithic 3D Complementary Metal-Oxide-Semiconductor Electronics. Adv. Funct. Mater. 2023, 33, 2305379. [Google Scholar] [CrossRef]
- Guo, E.; Xing, S.; Dollinger, F.; Hübner, R.; Wang, S.-J.; Wu, Z.; Leo, K.; Kleemann, H. Integrated complementary inverters and ring oscillators based on vertical-channel dual-base organic thin-film transistors. Nat. Electron. 2021, 4, 588–594. [Google Scholar] [CrossRef]
- Jeong, K.; Shin, D.y.; Park, J.M.; Yi, D.J.; Hong, H.; Kim, H.S.; Chung, K.B. Noncontact Monitoring and Imaging of the Operation and Performance of Thin-Film Field-Effect Transistors. Adv. Sci. 2024, 12, 2407923. [Google Scholar] [CrossRef] [PubMed]
- Hong, S.; Mativenga, M.; Jang, J. Extreme bending test of IGZO TFT. In Proceedings of the 2014 21st International Workshop on Active-Matrix Flatpanel Displays and Devices (AM-FPD), Kyoto, Japan, 2–4 July 2014; pp. 125–127. [Google Scholar]
- Fortunato, E.; Barquinha, P.; Martins, R. Oxide semiconductor thin-film transistors: A review of recent advances. Adv. Mater. 2012, 24, 2945–2986. [Google Scholar] [CrossRef]
- Byeon, G.; Jang, S.C.; Roh, T.; Park, J.-M.; Kim, H.-S.; Noh, Y.-Y. Recent progress in the development of backplane thin film transistors for information displays. J. Inf. Disp. 2023, 24, 159–168. [Google Scholar] [CrossRef]
- Lee, G.; Jang, S.C.; Lee, J.H.; Park, J.M.; Noh, B.; Choi, H.; Kweon, H.; Kim, D.H.; Kim, H.Y.; Kim, H.S. Intrinsically Photopatternable High-k Polymer Dielectric for Flexible Electronics. Adv. Funct. Mater. 2024, 34, 2405530. [Google Scholar] [CrossRef]
- Shang, Z.-W.; Hsu, H.-H.; Zheng, Z.-W.; Cheng, C.-H. Progress and challenges in p-type oxide-based thin film transistors. Nanotechnol. Rev. 2019, 8, 422–443. [Google Scholar] [CrossRef]
- Yang, J.; Wang, B.; Zhang, Y.; Ding, X.; Zhang, J. Low-temperature combustion synthesis and UV treatment processed p-type Li: NiO x active semiconductors for high-performance electronics. J. Mater. Chem. C 2018, 6, 12584–12591. [Google Scholar] [CrossRef]
- Maeng, W.; Lee, S.-H.; Kwon, J.-D.; Park, J.; Park, J.-S. Atomic layer deposited p-type copper oxide thin films and the associated thin film transistor properties. Ceram. Int. 2016, 42, 5517–5522. [Google Scholar] [CrossRef]
- Yen, T.J.; Chin, A.; Gritsenko, V. Exceedingly high performance top-gate p-type SnO thin film transistor with a nanometer scale channel layer. Nanomaterials 2021, 11, 92. [Google Scholar] [CrossRef]
- Cheng, Q.; Pang, J.; Sun, D.; Wang, J.; Zhang, S.; Liu, F.; Chen, Y.; Yang, R.; Liang, N.; Lu, X. WSe2 2D p-type semiconductor-based electronic devices for information technology: Design, preparation, and applications. InfoMat 2020, 2, 656–697. [Google Scholar] [CrossRef]
- Huang, H.; Zha, J.; Xu, S.; Yang, P.; Xia, Y.; Wang, H.; Dong, D.; Zheng, L.; Yao, Y.; Zhang, Y. Precursor-Confined Chemical Vapor Deposition of 2D Single-Crystalline Se x Te1–x Nanosheets for p-Type Transistors and Inverters. ACS Nano 2024, 18, 17293–17303. [Google Scholar] [CrossRef] [PubMed]
- Ding, X.; Zhang, S.; Zhao, M.; Xiang, Y.; Zhang, K.H.; Zu, X.; Li, S.; Qiao, L. NbS2: A promising p-type ohmic contact for two-dimensional materials. Phys. Rev. Appl. 2019, 12, 064061. [Google Scholar] [CrossRef]
- Sata, Y.; Moriya, R.; Masubuchi, S.; Watanabe, K.; Taniguchi, T.; Machida, T. N-and p-type carrier injections into WSe2 with van der Waals contacts of two-dimensional materials. Jpn. J. Appl. Phys. 2017, 56, 04CK09. [Google Scholar] [CrossRef]
- Zhao, C.; Batiz, H.; Yasar, B.; Kim, H.; Ji, W.; Scott, M.C.; Chrzan, D.C.; Javey, A. Tellurium Single-Crystal Arrays by Low-Temperature Evaporation and Crystallization. Adv. Mater. 2021, 33, 2100860. [Google Scholar] [CrossRef]
- Shi, Z.; Cao, R.; Khan, K.; Tareen, A.K.; Liu, X.; Liang, W.; Zhang, Y.; Ma, C.; Guo, Z.; Luo, X. Two-dimensional tellurium: Progress, challenges, and prospects. Nano-Micro Lett. 2020, 12, 99. [Google Scholar] [CrossRef]
- Wang, Q.; Safdar, M.; Xu, K.; Mirza, M.; Wang, Z.; He, J. Van der Waals epitaxy and photoresponse of hexagonal tellurium nanoplates on flexible mica sheets. ACS Nano 2014, 8, 7497–7505. [Google Scholar] [CrossRef]
- Lim, S.-H.; Kim, T.I.; Park, I.-J.; Kwon, H.-I. Synthesis of a Tellurium Semiconductor with an Organic–Inorganic Hybrid Passivation Layer for High-Performance p-Type Thin Film Transistors. ACS Appl. Electron. Mater. 2023, 5, 4816–4825. [Google Scholar] [CrossRef]
- Lee, S.M.; Park, J.-M.; Ahn, S.; Jang, S.C.; Kim, H.; Kim, H.-S. Inorganic p-Type Tellurium-Based Synaptic Transistors: Complementary Synaptic Pairs with n-Type Devices for Energy-Efficient Operation. ACS Appl. Electron. Mater. 2024, 6, 5371–5378. [Google Scholar] [CrossRef]
- Zhao, C.; Tan, C.; Lien, D.-H.; Song, X.; Amani, M.; Hettick, M.; Nyein, H.Y.Y.; Yuan, Z.; Li, L.; Scott, M.C. Evaporated tellurium thin films for p-type field-effect transistors and circuits. Nat. Nanotechnol. 2020, 15, 53–58. [Google Scholar] [CrossRef]
- Zhou, G.; Addou, R.; Wang, Q.; Honari, S.; Cormier, C.R.; Cheng, L.; Yue, R.; Smyth, C.M.; Laturia, A.; Kim, J. High-mobility helical tellurium field-effect transistors enabled by transfer-free, low-temperature direct growth. Adv. Mater. 2018, 30, 1803109. [Google Scholar] [CrossRef] [PubMed]
- Zhao, C.; Batiz, H.; Yasar, B.; Ji, W.; Scott, M.C.; Chrzan, D.C.; Javey, A. Orientated Growth of Ultrathin Tellurium by van der Waals Epitaxy. Adv. Mater. Interfaces 2022, 9, 2101540. [Google Scholar] [CrossRef]
- Kim, T.; Choi, C.H.; Byeon, P.; Lee, M.; Song, A.; Chung, K.-B.; Han, S.; Chung, S.-Y.; Park, K.-S.; Jeong, J.K. Growth of high-quality semiconducting tellurium films for high-performance p-channel field-effect transistors with wafer-scale uniformity. NPJ 2d Mater. Appl. 2022, 6, 4. [Google Scholar] [CrossRef]
- Lu, J.; He, Y.; Ma, C.; Ye, Q.; Yi, H.; Zheng, Z.; Yao, J.; Yang, G. Ultrabroadband imaging based on wafer-scale tellurene. Adv. Mater. 2023, 35, 2211562. [Google Scholar] [CrossRef]
- Liu, A.; Kim, Y.-S.; Kim, M.G.; Reo, Y.; Zou, T.; Choi, T.; Bai, S.; Zhu, H.; Noh, Y.-Y. Selenium alloyed tellurium oxide for amorphous p-channel transistors. Nature 2024, 629, 798–802. [Google Scholar] [CrossRef]
- Choi, K.; Nam, S.; Kim, Y.-H.; Oh, H.; Kim, I.; Lee, K.; Cho, S.H. Promotion of Processability in a p-Type Thin-Film Transistor Using a Se–Te Alloying Channel Layer. ACS Appl. Mater. Interfaces 2024, 16, 23459–23466. [Google Scholar]
- Kim, H.-D.; Naqi, M.; Jang, S.C.; Park, J.-M.; Park, Y.C.; Park, K.; Nahm, H.-H.; Kim, S.; Kim, H.-S. Nonvolatile high-speed switching Zn-ON thin-film transistors with a bilayer structure. ACS Appl. Mater. Interfaces 2022, 14, 13490–13498. [Google Scholar] [CrossRef]
- Shin, Y.; Kim, S.T.; Kim, K.; Kim, M.Y.; Oh, S.; Jeong, J.K. The mobility enhancement of indium gallium zinc oxide transistors via low-temperature crystallization using a tantalum catalytic layer. Sci. Rep. 2017, 7, 10885. [Google Scholar] [CrossRef]
- Lee, S.H.; Lee, S.; Jang, S.C.; On, N.; Kim, H.-S.; Jeong, J.K. Mobility enhancement of indium-gallium oxide via oxygen diffusion induced by a metal catalytic layer. J. Alloys Compd. 2021, 862, 158009. [Google Scholar] [CrossRef]
- Reese, M.O.; Perkins, C.L.; Burst, J.M.; Farrell, S.; Barnes, T.M.; Johnston, S.W.; Kuciauskas, D.; Gessert, T.A.; Metzger, W.K. Intrinsic surface passivation of CdTe. J. Appl. Phys. 2015, 118, 155305. [Google Scholar] [CrossRef]
- Miranda La Hera, V.; Wu, X.; Mena, J.; Barzegar, H.R.; Ashok, A.; Koroidov, S.; Wågberg, T.; Gracia-Espino, E. Controlled Synthesis of Tellurium Nanowires. Nanomaterials 2022, 12, 4137. [Google Scholar] [CrossRef]
- Majzlan, J.; Notz, S.; Haase, P.; Kamitsos, E.I.; Tagiara, N.S.; Dachs, E. Thermodynamic properties of tellurite (β-TeO2), paratellurite (α-TeO2), TeO2 glass, and Te (IV) phases with stoichiometry M2Te3O8, MTe6O13, MTe2O5 (M2+= Co, Cu, Mg, Mn, Ni, Zn). Geochemistry 2022, 82, 125915. [Google Scholar] [CrossRef]
- Aspiala, M.; Sukhomlinov, D.; Taskinen, P. Standard Gibbs energy of formation of tellurium dioxide measurement by a solid-oxide electrolyte EMF technique. Thermochim. Acta 2013, 573, 95–100. [Google Scholar] [CrossRef]
- Oh, J.-S.; Kim, T.I.; Kwon, H.-I.; Park, I.-J. Strain modulation effects on two-dimensional tellurium for advanced p-type transistor applications. Appl. Surf. Sci. 2024, 651, 159288. [Google Scholar] [CrossRef]
- Wang, X.; Li, H. A steep-slope tellurium transistor with a native voltage amplifying threshold switch. Appl. Phys. Lett. 2022, 120, 223502. [Google Scholar] [CrossRef]
- Kim, G.H.; Kang, S.-H.; Lee, J.M.; Son, M.; Lee, J.; Lee, H.; Chung, I.; Kim, J.; Kim, Y.-H.; Ahn, K. Room temperature-grown highly oriented p-type nanocrystalline tellurium thin-films transistors for large-scale CMOS circuits. Appl. Surf. Sci. 2023, 636, 157801. [Google Scholar] [CrossRef]
- Kim, T.; Choi, C.H.; Kim, S.E.; Kim, J.-K.; Jang, J.; Choi, S.; Noh, J.; Park, K.-S.; Kim, J.; Yoon, S. High-performance hexagonal tellurium thin-film transistor using tellurium oxide as a crystallization retarder. IEEE Electron Device Lett. 2022, 44, 269–272. [Google Scholar] [CrossRef]
Disclaimer/Publisher’s Note: The statements, opinions and data contained in all publications are solely those of the individual author(s) and contributor(s) and not of MDPI and/or the editor(s). MDPI and/or the editor(s) disclaim responsibility for any injury to people or property resulting from any ideas, methods, instructions or products referred to in the content. |
© 2025 by the authors. Licensee MDPI, Basel, Switzerland. This article is an open access article distributed under the terms and conditions of the Creative Commons Attribution (CC BY) license (https://creativecommons.org/licenses/by/4.0/).