Effect of Various Nanofillers on Piezoelectric Nanogenerator Performance of P(VDF-TrFE) Nanocomposite Thin Film
Abstract
1. Introduction
2. Materials and Methods
2.1. Materials
2.2. Preparation of Nanocomposite Solution and Thin Film
2.3. Characterization of Nanocomposite Thin Film
2.4. Fabrication of PENGs and Measurement of Nanogenerator Performance
3. Results and Discussion
3.1. Microstructure and Morphology
3.2. Crystallinity and β-Phase Content
3.3. Piezoelectric Coefficient
3.4. Energy Harvesting
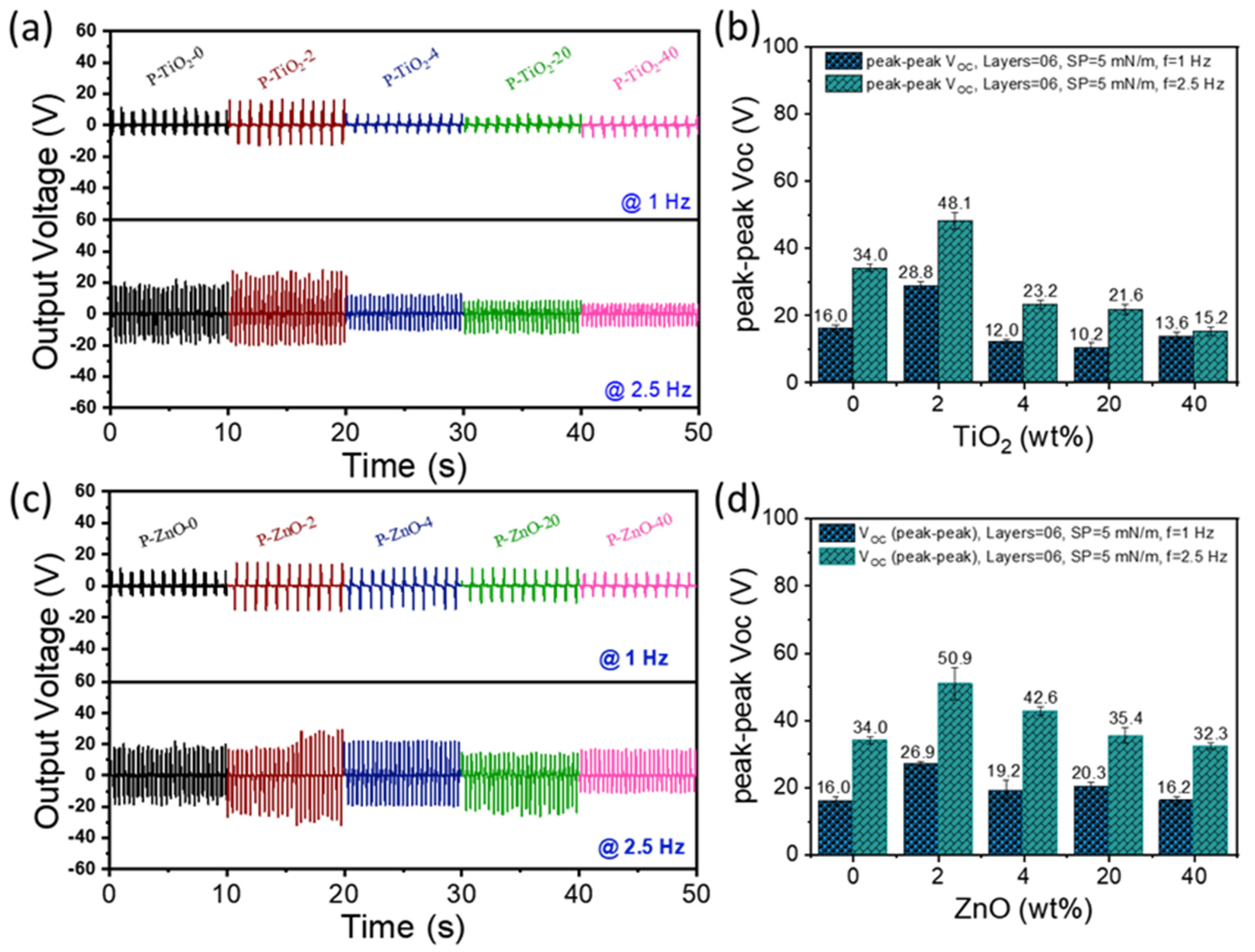
3.4.1. Piezoelectric Performance
3.4.2. Example of Application
4. Conclusions
Supplementary Materials
Author Contributions
Funding
Data Availability Statement
Conflicts of Interest
References
- Wu, N.; Bao, B.; Wang, Q. Review on engineering structural designs for efficient piezoelectric energy harvesting to obtain high power output. Eng. Struct. 2021, 235, 112068. [Google Scholar] [CrossRef]
- Mitcheson, P.D.; Yeatman, E.M.; Rao, G.K.; Holmes, A.S.; Green, T.C. Energy Harvesting from Human and Machine Motion for Wireless Electronic Devices. Proc. IEEE 2008, 96, 1457–1486. [Google Scholar] [CrossRef]
- Liu, M.; Qian, F.; Mi, J.; Zuo, L. Biomechanical energy harvesting for wearable and mobile devices: State-of-the-art and future directions. Appl. Energy 2022, 321, 119379. [Google Scholar] [CrossRef]
- PS, L.P.; Swain, B.; Rajput, S.; Behera, S.; Parida, S. Advances in P (VDF-TrFE) Composites: A Methodical Review on Enhanced Properties and Emerging Electronics Applications. Condens. Matter 2023, 8, 105. [Google Scholar] [CrossRef]
- Martins, P.; Lopes, A.; Lanceros-Mendez, S. Electroactive phases of poly (vinylidene fluoride): Determination, processing, and applications. Prog. Polym. Sci. 2014, 39, 683–706. [Google Scholar] [CrossRef]
- Sencadas, V.; Gregorio, R., Jr.; Lanceros-Méndez, S. α to β phase transformation and microstructural changes of PVDF films induced by uniaxial stretch. J. Macromol. Sci. 2009, 48, 514–525. [Google Scholar] [CrossRef]
- Mishra, S.; Unnikrishnan, L.; Nayak, S.K.; Mohanty, S. Advances in piezoelectric polymer composites for energy harvesting applications: A systematic review. Macromol. Mater. Eng. 2019, 304, 1800463. [Google Scholar] [CrossRef]
- Mishra, S.; Sahoo, R.; Unnikrishnan, L.; Ramadoss, A.; Mohanty, S.; Nayak, S.K. Investigation of the electroactive phase content and dielectric behavior of mechanically stretched PVDF-GO and PVDF-rGO composites. Mater. Res. Bull. 2020, 124, 110732. [Google Scholar] [CrossRef]
- Nishikiori, H.; Qian, W.; El-Sayed, M.A.; Tanaka, N.; Fujii, T. Change in Titania Structure from Amorphousness to Crystalline Increasing Photoinduced Electron-Transfer Rate in Dye-Titania System. J. Phys. Chem. C 2007, 111, 9008–9011. [Google Scholar] [CrossRef]
- Kulkarni, N.D.; Kumari, P. Development of highly flexible PVDF-TiO2 nanocomposites for piezoelectric nanogenerator applications. Mater. Res. Bull. 2023, 157, 112039. [Google Scholar] [CrossRef]
- Jin, C.; Hao, N.; Xu, Z.; Trase, I.; Nie, Y.; Dong, L.; Zhang, J.X. Flexible piezoelectric nanogenerators using metal-doped ZnO-PVDF films. Sens. Actuators A Phys. 2020, 305, 111912. [Google Scholar] [CrossRef]
- Goel, S.; Kumar, B. A review on piezo-/ferro-electric properties of morphologically diverse ZnO nanostructures. J. Alloys Compd. 2020, 816, 152491. [Google Scholar] [CrossRef]
- Kumar, M.; Kumari, P.; Sahatiya, P. P(VDF-TrFE)/ZnO nanofiber composite based piezoelectric nanogenerator as self-powered sensor: Fabrication and characterization. J. Polym. Res. 2022, 29, 44. [Google Scholar] [CrossRef]
- Hu, X.; Ding, Z.; Fei, L.; Xiang, Y.; Lin, Y. Wearable piezoelectric nanogenerators based on reduced graphene oxide and in situ polarization-enhanced PVDF-TrFE films. J. Mater. Sci. 2019, 54, 6401–6409. [Google Scholar] [CrossRef]
- Yaseen, H.M.A.; Park, S. Enhanced Power Generation by Piezoelectric P(VDF-TrFE)/rGO Nanocomposite Thin Film. Nanomaterials 2023, 13, 860. [Google Scholar] [CrossRef]
- Niu, X.; Jia, W.; Qian, S.; Zhu, J.; Zhang, J.; Hou, X.; Mu, J.; Geng, W.; Cho, J.; He, J.; et al. High-Performance PZT-Based Stretchable Piezoelectric Nanogenerator. ACS Sustain. Chem. Eng. 2019, 7, 979–985. [Google Scholar] [CrossRef]
- Wu, Q.; Guo, H.; Sun, H.; Liu, X.; Sui, H.; Wang, F. Flexible piezoelectric energy harvesters with graphene oxide nanosheets and PZT-incorporated P (VDF-TrFE) matrix for mechanical energy harvesting. Ceram. Int. 2021, 47, 19614–19621. [Google Scholar] [CrossRef]
- Min, G.; Pullanchiyodan, A.; Dahiya, A.S.; Hosseini, E.S.; Xu, Y.; Mulvihill, D.M.; Dahiya, R. Ferroelectric-assisted high-performance triboelectric nanogenerators based on electrospun P (VDF-TrFE) composite nanofibers with barium titanate nanofillers. Nano Energy 2021, 90, 106600. [Google Scholar] [CrossRef]
- Cao, C.; Zhou, P.; Qin, W.; Wang, J.; Liu, M.; Wang, P.; Qi, Y. Enhanced sensing performance of piezoelectric pressure sensors via integrated nanofillers incorporated with P (VDF-TrFE) composites. Appl. Surf. Sci. 2025, 685, 162028. [Google Scholar] [CrossRef]
- Niu, J.; Li, C.; Fang, Q.; Fan, M.; Liu, X.; Hu, P. Large mechanical-to-electric output originated from optimized configuration in P (VDF-TrFE)-based nanocomposite fibrous membrane as wearable nanogenerator. Compos. Sci. Technol. 2022, 220, 109266. [Google Scholar] [CrossRef]
- Alam, M.M.; Sultana, A.; Mandal, D. Biomechanical and acoustic energy harvesting from TiO2 nanoparticle modulated PVDF nanofiber made high-performance nanogenerator. ACS Appl. Energy Mater. 2018, 1, 3103–3112. [Google Scholar] [CrossRef]
- Lu, L.; Ding, W.; Liu, J.; Yang, B. Flexible PVDF based piezoelectric nanogenerators. Nano Energy 2020, 78, 105251. [Google Scholar] [CrossRef]
- Alaoui, O.T.; Nguyen, Q.T.; Mbareck, C.; Rhlalou, T. Elaboration and study of poly(vinylidene fluoride)–anatase TiO2 composite membranes in photocatalytic degradation of dyes. Appl. Catal. A Gen. 2009, 358, 13–20. [Google Scholar] [CrossRef]
- Feng, Q.; Tang, D.; Yu, Z.; Gu, S.; Jiang, E. Fabrication of Uniform and Compact ZnO Thin Films by Langmuir–Blodgett Method. Surf. Rev. Lett. 2013, 20, 1350047. [Google Scholar] [CrossRef]
- Yaseen, H.M.A.; Park, S. P(VDF-TrFE)/BaTiO3 nanocomposite Langmuir-Schaefer thin film for piezoelectric nanogenerator. J. Alloys Compd. 2023, 952, 169940. [Google Scholar] [CrossRef]
- Damastuti, R.; Jayachitra, R.; Yu, H.; Prasannan, A.; Hong, P.D. Tailoring the interfacial interactions of PVDF-HFP with PZT@ ZnO towards enhanced polarization orientation, piezoelectricity, and piezoelectric energy harvesting performance. J. Taiwan Inst. Chem. Eng. 2025, 169, 105957. [Google Scholar] [CrossRef]
- Sengwa, R.J.; Charan, C.P. ZnO nanofiller concentrations modified P(VDF-HFP)/PEO polymer matrix-based nanocomposites of enhanced optical and dielectric properties for emerging optoelectronic and energy storage devices. Surf. Interfaces 2024, 46, 103945. [Google Scholar] [CrossRef]
- Chakhchaoui, N.; Farhan, R.; Eddiai, A.; Meddad, M.; Cherkaoui, O.; Mazroui, M.H.; Van Langenhove, L. Improvement of the electroactive β-phase nucleation and piezoelectric properties of PVDF-HFP thin films influenced by TiO2 nanoparticles. Mater. Today Proc. 2021, 39, 1148–1152. [Google Scholar] [CrossRef]
- Singh, D.; Garg, A. Interface morphology driven control of electrical properties of P(VDF–TrFE) and PMMA blend M–I–M capacitors. Org. Electron. 2014, 15, 3811–3817. [Google Scholar] [CrossRef]
- Cai, X. A critical analysis of the α, β, and γ phases in poly (vinylidene fluoride) using FTIR. RSC Adv. 2017, 7, 15382. [Google Scholar] [CrossRef]
- Sun, Y.; He, C. Synthesis and Stereocomplex Crystallization of Poly(lactide)–Graphene Oxide Nanocomposites. ACS Macro Lett. 2012, 1, 709–713. [Google Scholar] [CrossRef] [PubMed]
- Chen, C.; Zhang, R.; Zhu, J.; Qian, X.; Zhu, J.; Ye, X.; Zhang, M. Direct writing polyvinylidene difluoride thin films by intercalation of nano-ZnO. Polym. Eng. Sci. 2021, 61, 1802–1809. [Google Scholar] [CrossRef]
- He, Z.; Rault, F.; Lewandowski, M.; Mohsenzadeh, E.; Salaün, F. Electrospun PVDF nanofibers for piezoelectric applications: A review of the influence of electrospinning parameters on the β phase and crystallinity enhancement. Polymers 2021, 13, 174. [Google Scholar] [CrossRef] [PubMed]
- Gregorio, R., Jr.; Cestari, M. Effect of crystallization temperature on the crystalline phase content and morphology of poly(vinylidene fluoride). J. Polym. Sci. Part B Polym. Phys. 1994, 32, 859–870. [Google Scholar] [CrossRef]
- Zhang, M.; Gao, T.; Wang, J.; Liao, J.; Qiu, Y.; Xue, H.; Chen, L. Single BaTiO3 nanowires polymer fiber based nanogenerator. Nano Energy 2015, 11, 510–517. [Google Scholar] [CrossRef]
- Chang, C.; Tran, V.H.; Wang, J.; Fuh, Y.K.; Lin, L. Direct-write piezoelectric polymeric nanogenerator with high energy conversion efficiency. Nano Lett. 2010, 10, 726–731. [Google Scholar] [CrossRef]
- Koç, M.; Paralı, L.; Şan, O. Fabrication and vibrational energy harvesting characterization of flexible piezoelectric nanogenerator (PEN) based on PVDF/PZT. Polym. Test. 2020, 90, 106695. [Google Scholar] [CrossRef]
- Gao, S. Functional-material-based touch interfaces for multidimensional sensing for interactive displays: A review. Semicond. Sci. Inf. Devices 2019, 1, 14–27. [Google Scholar] [CrossRef]
- Tung, V.T.; Van Chuong, T. Structural, Dielectric and Piezoelectric Properties of PZT/PVDF Composites Prepared by Hot Press Method. Int. J. Eng. Technol. 2020, 9, 898–902. [Google Scholar]
- Dong, L.; Li, R.; Xiong, C.; Quan, H. Effect of heat treatment on the electrical properties of lead zirconate titanate/poly (vinylidene fluoride) composites. Polym. Int. 2010, 59, 756–758. [Google Scholar] [CrossRef]
- Gusarov, B.; Gusarova, E.; Viala, B.; Gimeno, L.; Cugat, O. PVDF piezoelectric voltage coefficient in situ measurements as a function of applied stress. J. Appl. Polym. Sci. 2016, 133, 43238. [Google Scholar] [CrossRef]
- Bernat-Maso, E.; Mercedes, L.E. Piezoelectric elements subjected to low frequency excitation. Empirical determination of stress and frequency influence on piezoelectric parameters. Microsyst. Technol. 2022, 28, 1897–1910. [Google Scholar] [CrossRef]
- Wang, X.; Yang, B.; Liu, J.; Zhu, Y.; Yang, C.; He, Q. A flexible triboelectric piezoelectric hybrid nanogenerator based on PVDF-TrFE nanofibers and PDMS/MWCNT for wearable device. Sci. Rep. 2006, 6, 36409. [Google Scholar]
- Raj, N.P.M.J.; Alluri, N.R.; Khandelwal, G.; Kim, S.J. Lead-free piezoelectric nanogenerator using lightweight composite films for harnessing biomechanical energy. Compos. Part B Eng. 2019, 161, 608–616. [Google Scholar]
- Wankhade, S.H.; Tiwari, S.; Gaur, A.; Maiti, P. PVDF–PZT nanohybrid based nanogenerator for energy harvesting applications. Energy Rep. 2020, 6, 358–364. [Google Scholar] [CrossRef]
- Chamankar, N.; Khajavi, R.; Yousefi, A.A.; Rashidi, A.; Golestanifard, F. A flexible piezoelectric pressure sensor based on PVDF nanocomposite fibers doped with PZT particles for energy harvesting applications. Ceram. Int. 2020, 46, 19669–19681. [Google Scholar] [CrossRef]
- Tian, G.; Deng, W.; Gao, Y.; Xiong, D.; Yan, C.; He, X.; Yang, T.; Jin, L.; Chu, X.; Zhang, H.; et al. Rich lamellar crystal baklava-structured PZT/PVDF piezoelectric sensor toward individual table tennis training. Nano Energy 2019, 59, 574–581. [Google Scholar] [CrossRef]
- Chen, J.X.; Li, J.W.; Cheng, C.C.; Chiu, C.W. Piezoelectric Property Enhancement of PZT/Poly(vinylidenefluoride-co-trifluoroethylene) Hybrid Films for Flexible Piezoelectric Energy Harvesters. ACS Omega 2022, 7, 793–803. [Google Scholar] [CrossRef]
- Yaseen, H.M.A.; Park, S. Improved Pyroelectric Nanogenerator Performance of P (VDF-TrFE)/rGO Thin Film by Optimized rGO Reduction. Nanomaterials 2024, 14, 1777. [Google Scholar] [CrossRef]
- Lindemann, W.R.; Philiph, R.L.; Chan, D.W.W.; Ayers, C.T.; Perez, E.M.; Beckman, C.P.; Strzalka, J.; Chaudhary, S.; Vaknin, D. Oriented Polyvinylidene Fluoride-Trifluoroethylene films by Langmuir-Blodgett deposition:A synchrotron X ray diffraction study. Phys. Chem. Chem. Phys. 2015, 17, 29335–29339. [Google Scholar] [CrossRef]
- Yuan, C.; Zhang, C.; Yang, C.; Wu, F.; Xiao, S.; Sun, H. Enhanced Piezoelectric Properties of Poly(Vinylidene Fluoride)/Lead Zirconate Titanate (PVDF/PZT) Fiber Films Fabricated by Electrospinning. J. Electron. Mater. 2023, 52, 7193–7207. [Google Scholar] [CrossRef]
- Abdolmaleki, H.; Haugen, A.B.; Buhl, K.B.; Daasbjerg, K.; Agarwala, S. Interfacial Engineering of PVDF-TrFE toward Higher Piezoelectric, Ferroelectric, and Dielectric Performance for Sensing and Energy Harvesting Applications. Adv. Sci. 2023, 10, 2205942. [Google Scholar] [CrossRef] [PubMed]
- Zhang, J.H.; Li, Z.; Shen, B.; Liu, Z.; Chen, L.; Wang, H.; Pan, L. Electric displacement modulation under internal field for high-performance mechanical-to-electrical energy generator. Cell Rep. Phys. Sci. 2024, 5, 102025. [Google Scholar] [CrossRef]








| Sample | Crystallinity (%) | β-Phase (%) | Sample | Crystallinity (%) | β-Phase (%) |
|---|---|---|---|---|---|
| P-TiO2-0 | 34 | 85 | P-ZnO-0 | 34 | 85 |
| P-TiO2-2 | 44 | 95 | P-ZnO-2 | 50 | 96 |
| P-TiO2-4 | 35 | 92 | P-ZnO-4 | 45 | 94 |
| P-TiO2-20 | 24 | 87 | P-ZnO-20 | 40 | 90 |
| P-TiO2-40 | 20 | 84 | P-ZnO-40 | 32 | 84 |
| Sample | Crystallinity (%) | β-phase (%) | Sample | Crystallinity (%) | β-phase (%) |
| P-rGO-0 | 34 | 85 | P-PZT-0 | 34 | 85 |
| P-rGO-2 | 42 | 92 | P-PZT-2 | 40 | 91 |
| P-rGO-4 | 56 | 97 | P-PZT-4 | 52 | 97 |
| P-rGO-20 | 32 | 92 | P-PZT-20 | 36 | 86 |
| P-rGO-40 | 39 | 90 | P-PZT-40 | 29 | 82 |
| Sample | d33 (pC/N) | Sample | d33 (pC/N) | Sample | d33 (pC/N) | Sample | d33 (pC/N) |
|---|---|---|---|---|---|---|---|
| P-TiO2-0 | 26.1 | P-ZnO-0 | 26.1 | P-rGO-0 | 26.1 | P-PZT-0 | 26.1 |
| P-TiO2-2 | 39.2 | P-ZnO-2 | 58.1 | P-rGO-2 | 36.3 | P-PZT-2 | 35.8 |
| P-TiO2-4 | 35.8 | P-ZnO-4 | 46.8 | P-rGO-4 | 69.4 | P-PZT-4 | 78.2 |
| P-TiO2-20 | 24.8 | P-ZnO-20 | 45.2 | P-rGO-20 | 39.6 | P-PZT-20 | 30.4 |
| P-TiO2-40 | 20.8 | P-ZnO-40 | 31.4 | P-rGO-40 | 36.2 | P-PZT-40 | 22.2 |
| Sample | VOC (V) | ISC (μA) | JSC (μA/cm2) | P2D (μW/cm2) | P3D (W/cm3) |
|---|---|---|---|---|---|
| P-PZT-0 | 34.0 | 3.9 | 0.26 | 8.8 | 3.7 |
| P-PZT-4 | 68.5 | 4.5 | 0.30 | 20.6 | 8.6 |
| Material | Filler Content (wt %) | Method | Sample Size (cm2) | VOC (V) | P2D (μW/cm2) | Reference |
|---|---|---|---|---|---|---|
| PVDF/PZT | 30 | solution casting | 2 × 0.9 | 55 | 36 | [45] |
| PVDF/PZT | 37 | electrospinning | 4 × 4 | 0.184 | 30.7 | [46] |
| PVDF/PZT | 10 | hot press | 6 × 6 | 1.7 | 0.196 | [47] |
| P(VDF-TrFE)/m-PZT | 10 | solution casting | 1 × 1 | 3.43 | - | [48] |
| P(VDF-TrFE)/PZT NP | 4 | LS thin film | 6 × 2.5 | 68.5 | 20.6 | this work |
Disclaimer/Publisher’s Note: The statements, opinions and data contained in all publications are solely those of the individual author(s) and contributor(s) and not of MDPI and/or the editor(s). MDPI and/or the editor(s) disclaim responsibility for any injury to people or property resulting from any ideas, methods, instructions or products referred to in the content. |
© 2025 by the authors. Licensee MDPI, Basel, Switzerland. This article is an open access article distributed under the terms and conditions of the Creative Commons Attribution (CC BY) license (https://creativecommons.org/licenses/by/4.0/).
Share and Cite
Yaseen, H.M.A.; Park, S. Effect of Various Nanofillers on Piezoelectric Nanogenerator Performance of P(VDF-TrFE) Nanocomposite Thin Film. Nanomaterials 2025, 15, 403. https://doi.org/10.3390/nano15050403
Yaseen HMA, Park S. Effect of Various Nanofillers on Piezoelectric Nanogenerator Performance of P(VDF-TrFE) Nanocomposite Thin Film. Nanomaterials. 2025; 15(5):403. https://doi.org/10.3390/nano15050403
Chicago/Turabian StyleYaseen, Hafiz Muhammad Abid, and Sangkwon Park. 2025. "Effect of Various Nanofillers on Piezoelectric Nanogenerator Performance of P(VDF-TrFE) Nanocomposite Thin Film" Nanomaterials 15, no. 5: 403. https://doi.org/10.3390/nano15050403
APA StyleYaseen, H. M. A., & Park, S. (2025). Effect of Various Nanofillers on Piezoelectric Nanogenerator Performance of P(VDF-TrFE) Nanocomposite Thin Film. Nanomaterials, 15(5), 403. https://doi.org/10.3390/nano15050403

