Compositional Effects on Chemical Ordering, Local Atomic Pressure and Thermal Stability in Truncated Octahedral Pd-Ir-Rh Trimetallic Nanoalloys
Abstract
1. Introduction
2. Materials and Methods
2.1. The Optimization Details
2.2. DFT Re-Optimization
2.3. Mixing Energy and Stability Investigation
2.4. Local Atomic Pressure Calculations
2.5. Melting Behavior and Thermal Stability Analysis
3. Results
3.1. Structural Analysis
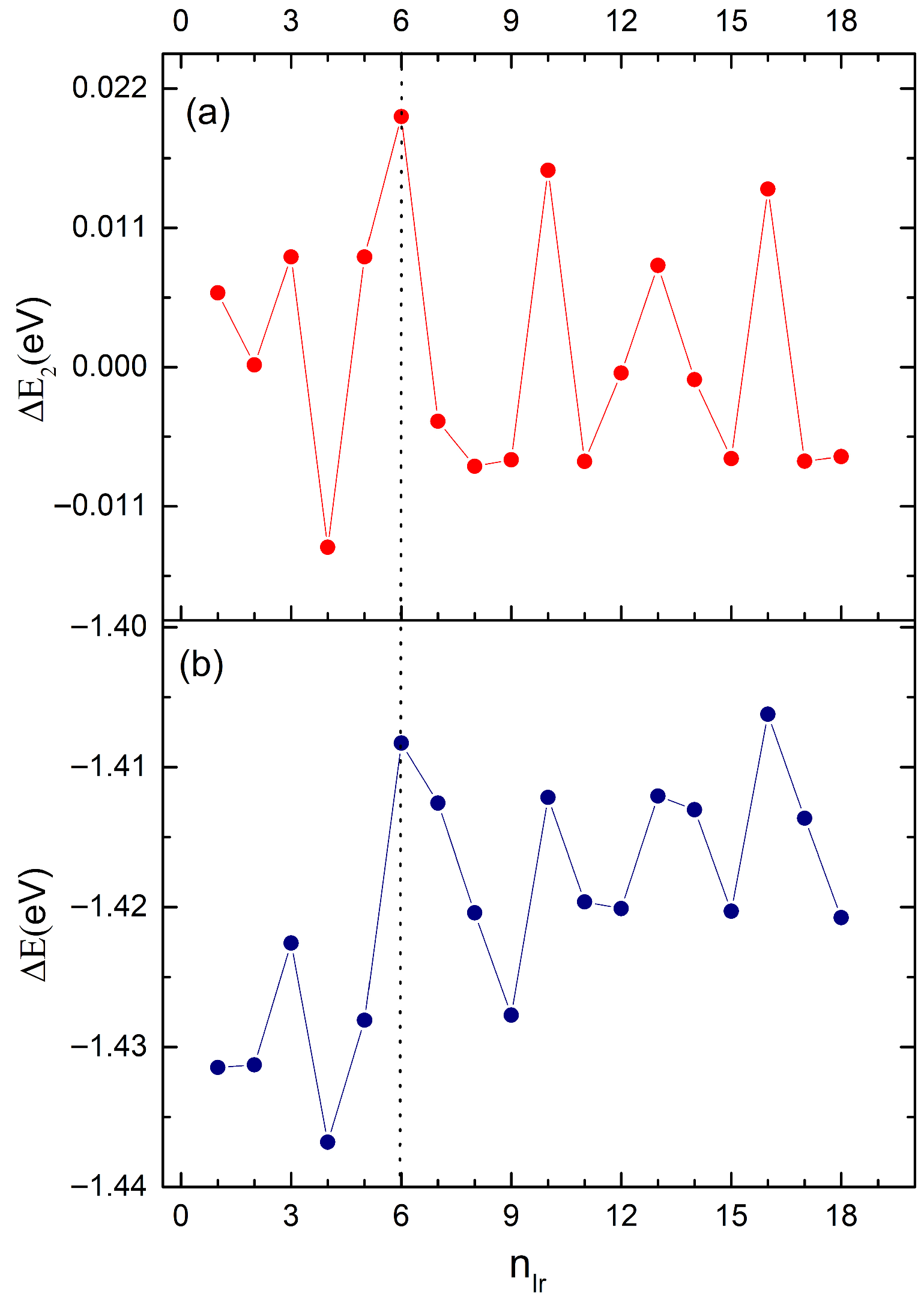
3.2. Density Functional Theory (DFT) Calculations
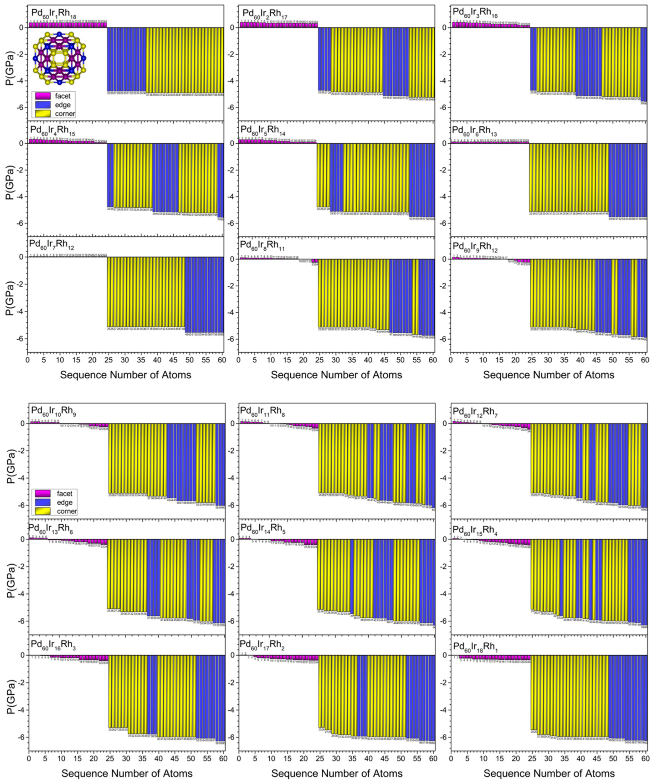
3.3. Local Pressure Analysis
3.4. Melting Behavior Analysis
4. Conclusions
Funding
Data Availability Statement
Acknowledgments
Conflicts of Interest
Abbreviations
| TO | Truncated octahedron |
| fcc | Face-centered cubic |
| DFT | Density functional theory |
| MD | Molecular dynamics |
| NVT | Canonical (constant-NVT) ensemble |
| GGA | Generalized gradient approximation |
| PBE | Perdew–Burke–Ernzerhof (GGA functional) |
| PAW | Projector augmented-wave |
| PWscf | Plane-wave self-consistent field (Quantum ESPRESSO module) |
| BH | Basin-hopping |
| QE | Quantum ESPRESSO |
| HER | Hydrogen evolution reaction |
References
- Fan, T.E.; Demiroglu, I.; Hussein, H.A.; Liu, T.D.; Johnston, R.L. DFT Study of the Structure, Chemical Ordering and Molecular Adsorption of Pd-Ir Nanoalloys. Phys. Chem. Chem. Phys. 2017, 19, 27090–27098. [Google Scholar] [CrossRef]
- Murray, R.W. Nanoelectrochemistry: Metal Nanoparticles, Nanoelectrodes, and Nanopores. Chem. Rev. 2008, 108, 2688–2720. [Google Scholar] [CrossRef]
- Ferrando, R.; Jellinek, J.; Johnston, R.L. Nanoalloys: From Theory to Applications of Alloy Clusters and Nanoparticles. Chem. Rev. 2008, 108, 845–910. [Google Scholar] [CrossRef]
- Hammer, B.; Norskov, J.K. Why Gold Is the Noblest of All the Metals. Nature 1995, 376, 238–240. [Google Scholar] [CrossRef]
- Persson, K.; Ersson, A.; Jansson, K.; Iverlund, N.; Järås, S. Influence of Co-Metals on Bimetallic Palladium Catalysts for Methane Combustion. J. Catal. 2005, 231, 139–150. [Google Scholar] [CrossRef]
- Kesavan, L.; Tiruvalam, R.; Ab Rahim, M.H.; bin Saiman, M.I.; Enache, D.I.; Jenkins, R.L.; Dimitratos, N.; Lopez-Sanchez, J.A.; Taylor, S.H.; Knight, D.W.; et al. Solvent-Free Oxidation of Primary Carbon-Hydrogen Bonds in Toluene Using Au-Pd Alloy Nanoparticles. Science 2011, 331, 195–199. [Google Scholar] [CrossRef]
- Ferrando, R. Structure and Properties of Nanoalloys, 1st ed.; Elsevier: Amsterdam, The Netherlands, 2016; Volume 10, ISBN 978-0-08-100212-4. [Google Scholar]
- Jin, T.; Guo, L.; Tang, Q.; Wang, J.; Pan, B.; Li, Z.; Wang, C.; Shan, S.; Chen, F. Atomic Strain and Catalytic Properties of Formate Oxidation and Dehydrogenation in AgPd Nanoalloys. Nanoscale 2023, 15, 11131–11140. [Google Scholar] [CrossRef] [PubMed]
- Morfin, F.; Nassreddine, S.; Rousset, J.L.; Piccolo, L. Nanoalloying Effect in the Preferential Oxidation of CO over Ir–Pd Catalysts. ACS Catal. 2012, 2, 2161–2168. [Google Scholar] [CrossRef]
- Davis, J.B.A.; Horswell, S.L.; Piccolo, L.; Johnston, R.L. Computational Study of the Adsorption of Benzene and Hydrogen on Palladium–Iridium Nanoalloys. J. Organomet. Chem. 2015, 792, 190–193. [Google Scholar] [CrossRef]
- Zlotea, C.; Morfin, F.; Nguyen, T.S.; Nguyen, N.T.; Nelayah, J.; Ricolleau, C.; Latroche, M.; Piccolo, L. Nanoalloying Bulk-Immiscible Iridium and Palladium Inhibits Hydride Formation and Promotes Catalytic Performances. Nanoscale 2014, 6, 9955–9959. [Google Scholar] [CrossRef] [PubMed]
- Davis, J.B.A.; Johnston, R.L.; Rubinovich, L.; Polak, M. Comparative Modelling of Chemical Ordering in Palladium-Iridium Nanoalloys. J. Chem. Phys. 2014, 141, 224307. [Google Scholar] [CrossRef] [PubMed]
- Choi, S.-I.; Young, A.; Lee, S.R.; Ma, C.; Luo, M.; Chi, M.; Tsung, C.K.; Xia, Y. Pd@Rh Core-Shell Nanocrystals with Well-Defined Facets and Their Enhanced Catalytic Performance towards CO Oxidation. Nanoscale Horiz. 2019, 4, 1232–1238. [Google Scholar] [CrossRef]
- Szumełda, T.; Drelinkiewicz, A. Synthesis of Carbon-Supported Bimetallic Palladium—Iridium Catalysts by Microemulsion: Characterization and Electrocatalytic Properties. J. Mater. Sci. 2021, 56, 392–414. [Google Scholar] [CrossRef]
- Łukaszewski, M.; Grdeń, M.; Czerwiński, A. Hydrogen Electrosorption in Pd-Pt-Rh Alloys. J. Electroanal. Chem. 2004, 573, 87–98. [Google Scholar] [CrossRef]
- Zhou, Y.; Wu, W.; Wang, Q.; Wang, L. Rhodium and Rhodium-Alloy Films and Nanoparticles: Part II. Johns. Matthey Technol. Rev. 2024, 68, 102–111. [Google Scholar] [CrossRef]
- Tao, F.; Grass, M.E.; Zhang, Y.; Butcher, D.R.; Renzas, J.R.; Liu, Z.; Chung, J.Y.; Mun, B.S.; Salmeron, M.; Somorjai, G.A. Reaction-Driven Restructuring of Rh-Pd and Pt-Pd Core-Shell Nanoparticles. Science 2008, 322, 932–934. [Google Scholar] [CrossRef] [PubMed]
- Tao, F.; Grass, M.E.; Zhang, Y.; Butcher, D.R.; Aksoy, F.; Aloni, S.; Altoe, V.; Alayoglu, S.; Renzas, J.R.; Tsung, C.K.; et al. Evolution of Structure and Chemistry of Bimetallic Nanoparticle Catalysts under Reaction Conditions. J. Am. Chem. Soc. 2010, 132, 8697–8703. [Google Scholar] [CrossRef] [PubMed]
- Demiroglu, I.; Fan, T.E.; Li, Z.Y.; Yuan, J.; Liu, T.D.; Piccolo, L.; Johnston, R.L. Modelling Free and Oxide-Supported Nanoalloy Catalysts: Comparison of Bulk-Immiscible Pd-Ir and Au-Rh Systems and Influence of a TiO2 Support. Faraday Discuss. 2018, 208, 53–66. [Google Scholar] [CrossRef]
- Wu, X.; Wu, G.; Chen, Y.; Qiao, Y. Structural Optimization of Cu–Ag–Au Trimetallic Clusters by Adaptive Immune Optimization Algorithm. J. Phys. Chem. A 2011, 115, 13316–13323. [Google Scholar] [CrossRef]
- Akbarzadeh, H.; Abbaspour, M.; Mehrjouei, E. Competition between Stability of Icosahedral and Cuboctahedral Morphologies in Bimetallic Nanoalloys. Phys. Chem. Chem. Phys. 2017, 19, 14659–14670. [Google Scholar] [CrossRef]
- Piccolo, L.; Nassreddine, S.; Aouine, M.; Ulhaq, C.; Geantet, C. Supported Ir-Pd Nanoalloys: Size—Composition Correlation and Consequences on Tetralin Hydroconversion Properties. J. Catal. 2012, 292, 173–180. [Google Scholar] [CrossRef]
- Vijayaramalingam, K.; Karthikeyan, A.; Selvarani, V.; Kiruthika, S.; Muthukumaran, B. Enhanced Electrocatalytic Activity of Pd-Ir-Ni, Pd-Ir-Mo and Pd-Ir-Rh Nanoparticles Supported on Cellulose-Based Carbon (CC) for Membraneless Sodium Perborate Fuel Cells (MLSPBFCs). J. Appl. Pharm. Sci. 2018, 8, 129–137. [Google Scholar] [CrossRef]
- Luyten, J.; Creemers, C. Surface Segregation in Ternary Pt–Pd–Rh Alloys Studied with Monte Carlo Simulations and the Modified Embedded Atom Method. Surf. Sci. 2008, 602, 2491–2495. [Google Scholar] [CrossRef]
- Cuba-Supanta, G.; Amao, P.; Quispe-Huaynasi, F.; Pinto-Vergara, M.Z.; Pacheco, E.; Flores, S.Y.; Soncco, C.; Loaiza-Tacuri, V.; Rojas-Tapia, J. The Composition Effect on the Structural and Thermodynamic Properties of Cu–Ag–Au Ternary Nanoalloys: A Study via Molecular Dynamics Approach. Model. Simul. Mater. Sci. Eng. 2024, 32, 045003. [Google Scholar] [CrossRef]
- Ferrando, R. Chapter 6-Stress-Driven Structural Transitions in Bimetallic Nanoparticles. In Computational Modelling of Nanoparticles; Frontiers of Nanoscience; Bromley, S.T., Woodley, S.M., Eds.; Elsevier: Amsterdam, The Netherlands, 2018; Volume 12, pp. 189–204. [Google Scholar]
- Nelli, D.; Roncaglia, C.; Minnai, C. Strain Engineering in Alloy Nanoparticles. Adv. Phys. X 2023, 8, 2127330. [Google Scholar] [CrossRef]
- Hammer, B.; Nørskov, J.K. Electronic Factors Determining the Reactivity of Metal Surfaces. Surf. Sci. 1995, 343, 211–220. [Google Scholar] [CrossRef]
- Wu, J.; Qi, L.; You, H.; Gross, A.; Li, J.; Yang, H. Icosahedral Platinum Alloy Nanocrystals with Enhanced Electrocatalytic Activities. J. Am. Chem. Soc. 2012, 134, 11880–11883. [Google Scholar] [CrossRef]
- Ferrando, R. Symmetry Breaking and Morphological Instabilities in Core-Shell Metallic Nanoparticles. J. Phys. Condens. Matter 2015, 27, 013003. [Google Scholar] [CrossRef]
- Panizon, E.; Ferrando, R. Strain-Induced Restructuring of the Surface in Core@shell Nanoalloys. Nanoscale 2016, 8, 15911–15919. [Google Scholar] [CrossRef] [PubMed]
- Wang, L.-L.; Johnson, D.D. Predicted Trends of Core-Shell Preferences for 132 Late Transition-Metal Binary-Alloy Nanoparticles. J. Am. Chem. Soc. 2009, 131, 14023–14029. [Google Scholar] [CrossRef]
- Taran, S.; Garip, A.K.; Arslan, H. Investigation of the Chemical Ordering and Structural Properties of the Trimetallic (PtNi)@Ag Nanoalloys. J. Clust. Sci. 2021, 32, 199–208. [Google Scholar] [CrossRef]
- Taran, S.; Garip, A.K.; Arslan, H. A Theoretical Study on Chemical Ordering of 38-Atom Trimetallic Pd-Ag-Pt Nanoalloys. Chinese Phys. B 2020, 29, 077801. [Google Scholar] [CrossRef]
- Lai, K.C.; Chen, M.; Yu, J.; Han, Y.; Huang, W.; Evans, J.W. Shape Stability of Truncated Octahedral Fcc Metal Nanocrystals. ACS Appl. Mater. Interfaces 2021, 13, 51954–51961. [Google Scholar] [CrossRef]
- Divi, S.; Chatterjee, A. Generalized Nano-Thermodynamic Model for Capturing Size-Dependent Surface Segregation in Multi-Metal Alloy Nanoparticles. RSC Adv. 2018, 8, 10409–10424. [Google Scholar] [CrossRef]
- Chen, F.; Li, Z.Y.; Johnston, R.L. Surface Reconstruction Precursor to Melting in Au309 Clusters. AIP Adv. 2011, 1, 032105. [Google Scholar] [CrossRef]
- Demiroglu, I.; Li, Z.Y.; Piccolo, L.; Johnston, R.L. A DFT Study of Molecular Adsorption on Au-Rh Nanoalloys. Catal. Sci. Technol. 2016, 6, 6916–6931. [Google Scholar] [CrossRef]
- Garip, A.K.; Göcen, T. The Local Atomic Pressures in 79 Atom Pd-Ag-Pt Truncated Octahedron Structure. Eur. Phys. J. Appl. Phys. 2022, 97, 30. [Google Scholar] [CrossRef]
- Cyrot-Lackmann, F.; Ducastelle, F. Binding Energies of Transition-Metal Atoms Adsorbed on a Transition Metal. Phys. Rev. B 1971, 4, 2406–2412. [Google Scholar] [CrossRef]
- Rosato, V.; Guillope, M.; Legrand, B. Thermodynamical and Structural Properties of f.c.c. Transition Metals Using a Simple Tight-Binding Model. Philos. Mag. A 1989, 59, 321–336. [Google Scholar] [CrossRef]
- Cleri, F.; Rosato, V. Tight-Binding Potentials for Transition Metals and Alloys. Phys. Rev. B 1993, 48, 22–33. [Google Scholar] [CrossRef] [PubMed]
- Wei, H.; Wei, S.; Zhu, X.; Lu, X. Investigation of Structural, Thermal, and Dynamical Properties of Pd-Au-Pt Ternary Metal Nanoparticles Confined in Carbon Nanotubes Based on MD Simulation. J. Phys. Chem. C 2017, 121, 12911–12920. [Google Scholar] [CrossRef]
- Li, W.; Chen, F. A Density Functional Theory Study of Structural, Electronic, Optical and Magnetic Properties of Small Ag-Cu Nanoalloys. J. Nanoparticle Res. 2013, 15, 1809. [Google Scholar] [CrossRef]
- Garip, A.K. The Composition Effect for the Thermal Properties of PdnAg(42-n) Pt13 Ternary Nanoalloys: A Molecular Dynamics Study. Mol. Simul. 2019, 45, 1004–1013. [Google Scholar] [CrossRef]
- Wales, D.; Doye, J. Global Optimization by Basin-Hopping and the Lowest Energy Structures of Lennard-Jones Clusters Containing up to 110 Atoms. J. Phys. Chem. A 1998, 101, 5111–5116. [Google Scholar] [CrossRef]
- Wales, D.J.; Scheraga, H.A. Global Optimization of Clusters, Crystals, and Biomolecules. Science 1999, 285, 1368–1372. [Google Scholar] [CrossRef] [PubMed]
- Ferrando, R.; Fortunelli, A.; Johnston, R.L. Searching for the Optimum Structures of Alloy Nanoclusters. Phys. Chem. Chem. Phys. 2008, 10, 640–649. [Google Scholar] [CrossRef] [PubMed]
- Giannozzi, P.; Baroni, S.; Bonini, N.; Calandra, M.; Car, R.; Cavazzoni, C.; Ceresoli, D.; Chiarotti, G.L.; Cococcioni, M.; Dabo, I.; et al. QUANTUM ESPRESSO: A Modular and Open-Source Software Project for Quantum Simulations of Materials. J. Phys. Condens. Matter 2009, 21, 395502. [Google Scholar] [CrossRef]
- Perdew, J.P.; Burke, K.; Ernzerhof, M. Generalized Gradient Approximation Made Simple. Phys. Rev. Lett. 1996, 77, 3865–3868. [Google Scholar] [CrossRef]
- Vanderbilt, D. Soft Self-Consistent Pseudopotentials in a Generalized Eigenvalue Formalism. Phys. Rev. B 1990, 41, 7892–7895. [Google Scholar] [CrossRef]
- Wu, G.; Sun, Y.; Wu, X.; Chen, R.; Wang, Y. Large Scale Structural Optimization of Trimetallic Cu-Au-Pt Clusters up to 147 Atoms. Chem. Phys. Lett. 2017, 686, 103–110. [Google Scholar] [CrossRef]
- Ferrando, R. Structure and Properties of Nanoalloys, 10th ed.; Elsevier Science: Amsterdam, The Netherlands, 2016; ISBN 978-0-08-100212-4. [Google Scholar]
- Todorov, I.T.; Smith, W.; Trachenko, K.; Dove, M.T. DL_POLY_3: New Dimensions in Molecular Dynamics Simulations via Massive Parallelism. J. Mater. Chem. 2006, 16, 1911–1918. [Google Scholar] [CrossRef]
- Bush, I.J.; Todorov, I.T.; Smith, W. A DAFT DL_POLY Distributed Memory Adaptation of the Smoothed Particle Mesh Ewald Method. Comput. Phys. Commun. 2006, 175, 323–329. [Google Scholar] [CrossRef]
- Verlet, L. Computer “Experiments” on Classical Fluids. I. Thermodynamical Properties of Lennard-Jones Molecules. Phys. Rev. 1967, 159, 98–103. [Google Scholar] [CrossRef]
- Alavi, S.; Thompson, D.L. Molecular Dynamics Simulations of the Melting of Aluminum Nanoparticles. J. Phys. Chem. A 2006, 110, 1518–1523. [Google Scholar] [CrossRef]
- Li, T.X.; Ji, Y.L.; Yu, S.W.; Wang, G.H. Melting Properties of Noble Metal Clusters. Solid State Commun. 2000, 116, 547–550. [Google Scholar] [CrossRef]
- Cheng, D.; Cao, D. Ternary Alloying Effect on the Melting of Metal Clusters. Eur. Phys. J. B 2008, 66, 17–23. [Google Scholar] [CrossRef]
- Vitos, L.; Ruban, A.V.; Skriver, H.L.; Kollár, J. The Surface Energy of Metals. Surf. Sci. 1998, 411, 186–202. [Google Scholar] [CrossRef]
- Kittel, C. Introduction to Solid State Physics, 8th ed.; John Wiley & Sons: Hoboken, NJ, USA, 2004. [Google Scholar]
- Eryürek, M.; Garip, A.K. The Chemical Ordering and Local Atomic Pressures in Icosahedral AuNAl(N-42)Ni13 Nanoalloys. Phys. Scr. 2025, 100, 35406. [Google Scholar] [CrossRef]
- Yang, J.; Zhang, Y.; Liu, Y.; Hu, W.; Dai, X. A Comparative Atomic Simulation Study of the Configurations in M-Al (M = Mg, Ni, and Fe) Nanoalloys: Influence of Alloying Ability, Surface Energy, Atomic Radius, and Atomic Arrangement. J. Nanoparticle Res. 2020, 22, 61. [Google Scholar] [CrossRef]
- Andriamiharintsoa, T.H.; Rakotomahevitra, A.; Piccolo, L.; Goyhenex, C. IrPd Nanoalloys: Simulations, from Surface Segregation to Local Electronic Properties. J. Nanoparticle Res. 2015, 17, 217. [Google Scholar] [CrossRef]
- Aguilera-del-Toro, R.H.; Alvarado-Leyva, P.G.; Vega, A. Uncovering the magnetic properties of the AgxNiy (x + y = 55) nanoalloys in the whole composition range. J. Magn. Magn. Mater. 2019, 474, 551–562. [Google Scholar] [CrossRef]
- Pittaway, F.; Paz-Borbón, L.O.; Johnston, R.L.; Arslan, H.; Ferrando, R.; Mottet, C.; Barcaro, G.; Fortunelli, A. Theoretical Studies of Palladium−Gold Nanoclusters: Pd−Au Clusters with up to 50 Atoms. J. Phys. Chem. C 2009, 113, 9141–9152. [Google Scholar] [CrossRef]
- Taran, S. Composition Effect on Melting Behaviors of Cu-Au-Pt Trimetallic Nanoalloys. Comput. Theor. Chem. 2019, 1166, 112576. [Google Scholar] [CrossRef]
- Cho, J.; Jang, I.; Park, H.S.; Choi, S.H.; Jang, J.H.; Kim, H.J.; Yoon, S.P.; Yoo, S.J.; Ham, H.C. Computational and Experimental Design of Active and Durable Ir-Based Nanoalloy for Electrochemical Oxygen Reduction Reaction. Appl. Catal. B Environ. 2018, 235, 177–185. [Google Scholar] [CrossRef]
- Yildirim, H.; Arslan, H. Size and Composition Effect on Structural Properties and Melting Behaviors of Cu-Ag-Au Ternary Nanoalloys. Int. J. Mod. Phys. C 2020, 31, 2050078. [Google Scholar] [CrossRef]
- Baletto, F.; Ferrando, R. Structural Properties of Nanoclusters: Energetic, Thermodynamic, and Kinetic Effects. Rev. Mod. Phys. 2005, 77, 371–423. [Google Scholar] [CrossRef]
- Akbarzadeh, H.; Abbaspour, M.; Mehrjouei, E. Effect of Systematic Addition of the Third Component on the Melting Characteristics and Structural Evolution of Binary Alloy Nanoclusters. J. Mol. Liq. 2018, 249, 412–419. [Google Scholar] [CrossRef]













| Interaction | A (eV) | ζ (eV) | p | q | r0 (Å) |
|---|---|---|---|---|---|
| Ir-Ir | 0.1156 | 2.2890 | 16.9800 | 2.6910 | 2.7146 |
| Ir-Rh | 0.0853 | 1.9493 | 17.7150 | 2.2790 | 2.7018 |
| Ir-Pd | 0.1421 | 1.9831 | 13.9235 | 3.2165 | 2.7316 |
| Rh-Rh | 0.0629 | 1.8670 | 18.4500 | 1.8670 | 2.6891 |
| Rh-Pd | 0.1048 | 1.6888 | 14.6585 | 2.8045 | 2.7188 |
| Pd-Pd | 0.1746 | 1.7180 | 10.8670 | 3.7420 | 2.7485 |
Disclaimer/Publisher’s Note: The statements, opinions and data contained in all publications are solely those of the individual author(s) and contributor(s) and not of MDPI and/or the editor(s). MDPI and/or the editor(s) disclaim responsibility for any injury to people or property resulting from any ideas, methods, instructions or products referred to in the content. |
© 2025 by the author. Licensee MDPI, Basel, Switzerland. This article is an open access article distributed under the terms and conditions of the Creative Commons Attribution (CC BY) license (https://creativecommons.org/licenses/by/4.0/).
Share and Cite
Göcen, T. Compositional Effects on Chemical Ordering, Local Atomic Pressure and Thermal Stability in Truncated Octahedral Pd-Ir-Rh Trimetallic Nanoalloys. Nanomaterials 2025, 15, 1895. https://doi.org/10.3390/nano15241895
Göcen T. Compositional Effects on Chemical Ordering, Local Atomic Pressure and Thermal Stability in Truncated Octahedral Pd-Ir-Rh Trimetallic Nanoalloys. Nanomaterials. 2025; 15(24):1895. https://doi.org/10.3390/nano15241895
Chicago/Turabian StyleGöcen, Tuğba. 2025. "Compositional Effects on Chemical Ordering, Local Atomic Pressure and Thermal Stability in Truncated Octahedral Pd-Ir-Rh Trimetallic Nanoalloys" Nanomaterials 15, no. 24: 1895. https://doi.org/10.3390/nano15241895
APA StyleGöcen, T. (2025). Compositional Effects on Chemical Ordering, Local Atomic Pressure and Thermal Stability in Truncated Octahedral Pd-Ir-Rh Trimetallic Nanoalloys. Nanomaterials, 15(24), 1895. https://doi.org/10.3390/nano15241895

