Copper-Modified Mesoporous Silica Nanoparticles for Antimicrobial Applications
Abstract
1. Introduction
2. Materials and Methods
2.1. Materials
2.2. Synthesis of Cu-Modified MSNs
2.3. Physico-Chemical Characterization of Developed Cu-Modified MSNs
2.4. Evaluation of Antibacterial Activity
2.4.1. Antibacterial Analysis
2.4.2. Statistical Analysis
2.5. Evaluation of Virucidal Activity
2.5.1. Virus Growth
2.5.2. Virus Titration
2.5.3. Cytotoxicity Tests
2.5.4. Assessment of Virucidal Activity
3. Results and Discussion
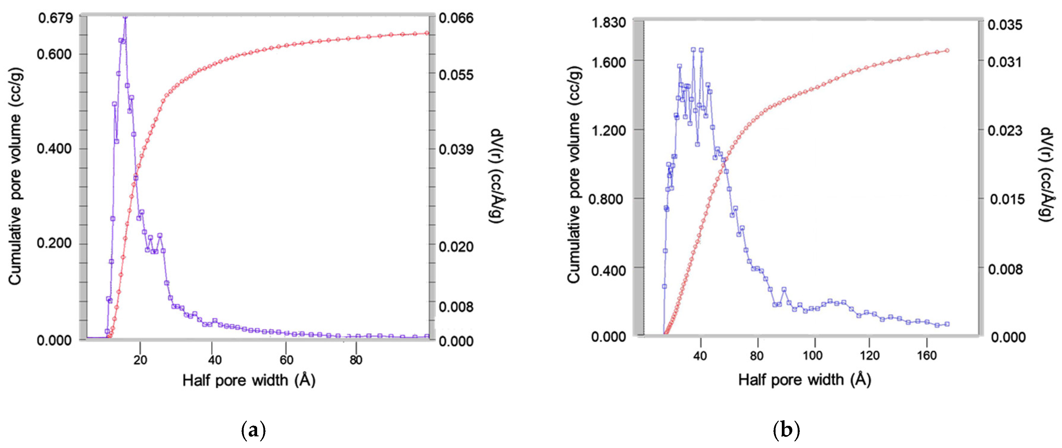
3.1. Synthesis and Physico-Chemical Characterization of Cu-Modified MSNs
3.2. Antimicrobial Characterization of Cu-Modified MSNs
3.2.1. Antibacterial Characterization
3.2.2. Virucidal Characterization
4. Conclusions
Author Contributions
Funding
Data Availability Statement
Acknowledgments
Conflicts of Interest
References
- Ahmed, S.K.; Hussein, S.; Qurbani, K.; Ibrahim, R.H.; Fareeq, A.; Mahmood, K.A.; Mohamed, M.G. Antimicrobial resistance: Impacts, challenges, and future prospects. J. Med. Surg. Public Health 2024, 2, 100081. [Google Scholar] [CrossRef]
- Khameneh, B.; Diab, R.; Ghazvini, K.; Fazly Bazzaz, B.S. Breakthroughs in bacterial resistance mechanisms and the potential ways to combat them. Microb. Pathog. 2016, 95, 32–42. [Google Scholar] [CrossRef] [PubMed]
- Lewis, K. Persister cells, dormancy and infectious disease. Nat. Rev. Microbiol. 2007, 5, 48–56. [Google Scholar] [CrossRef] [PubMed]
- Antimicrobial Resistance Collaborators. Global burden of bacterial antimicrobial resistance in 2019: A systematic analysis. Lancet 2022, 399, 629–655. [Google Scholar] [CrossRef]
- Tamma, P.D.; Cosgrove, S.E. Antimicrobial stewardship. Infect. Dis. Clin. 2011, 25, 245–260. [Google Scholar] [CrossRef]
- World Bank. Drug-Resistant Infections: A Threat to Our Economic Future. 2017. Available online: https://documents1.worldbank.org/curated/en/323311493396993758/pdf/final-report.pdf (accessed on 17 November 2025).
- World Health Organization. Weekly Epidemiological Update on COVID-19. Edition 141. 2023. Available online: https://www.who.int/publications/m/item/weekly-epidemiological-update-on-covid-19---4-may-2023 (accessed on 17 November 2025).
- Nawaz, M.Z.; Alghamdi, H.A.; Zahoor, M.; Rashid, F.; Alshahrani, A.A.; Alghamdi, N.S.; Pugazhendhi, A.; Zhu, D. Synthesis of novel metal silica nanoparticles exhibiting antimicrobial potential and applications to combat periodontitis. Environ. Res. 2024, 241, 117415. [Google Scholar] [CrossRef]
- Sree, H.R.D.; Vyshnava, S.S.; Dowlathabad, M.R. Charge-specific and hesperidin-loaded mesoporous silica nanoparticles: Enhanced antimicrobial activity against pathogenic bacteria. Nano-Struct. Nano-Objects 2025, 41, 101441. [Google Scholar]
- Huang, H.; Feng, W.; Chen, Y.; Shi, J. Inorganic nanoparticles in clinical trials and translations. Nano Today 2020, 35, 100972. [Google Scholar] [CrossRef]
- Bernardos, A.; Piacenza, E.; Sancenon, F.; Hamidi, M.; Maleki, A.; Turner, R.J.; Martínez-Máñez, R. Mesoporous silica-based materials with bactericidal properties. Small 2019, 15, 1900669. [Google Scholar] [CrossRef]
- Narayan, R.; Nayak, U.Y.; Raichur, A.M.; Garg, S. Mesoporous silica nanoparticles: A comprehensive review on synthesis and recent advances. Pharmaceutics 2018, 10, 118. [Google Scholar] [CrossRef]
- Lv, X.; Zhang, L.; Xing, F.; Lin, H. Controlled synthesis of monodispersed mesoporous silica nanoparticles: Particle size tuning and formation mechanism investigation. Microporous Mesoporous Mater. 2016, 225, 238–244. [Google Scholar] [CrossRef]
- Xu, B.; Li, S.; Shi, R.; Liu, H. Multifunctional mesoporous silica nanoparticles for biomedical applications. Signal Transduct. Target. Ther. 2023, 8, 435. [Google Scholar] [CrossRef] [PubMed]
- Janjua, T.I.; Cao, Y.; Yu, C.; Popat, A. Clinical translation of silica nanoparticles. Nat. Rev. Mater. 2021, 6, 1072–1074. [Google Scholar] [CrossRef] [PubMed]
- Zhang, C.; Xie, H.; Zhang, Z.; Wen, B.; Cao, H.; Bai, Y.; Che, Q.; Guo, J.; Su, Z. Applications and biocompatibility of mesoporous silica nanocarriers in the field of medicine. Front. Pharmacol. 2022, 13, 829796. [Google Scholar] [CrossRef]
- Zhuang, J.; Yu, Y.; Lu, R. Mesoporous silica nanoparticles as carrier to overcome bacterial drug-resistant barriers. Int. J. Pharm. 2023, 631, 122529. [Google Scholar]
- Colilla, M.; Vallet-Regí, M. Organically modified mesoporous silica nanoparticles against bacterial resistance. Chem. Mater. 2023, 35, 8788–8805. [Google Scholar] [CrossRef]
- Villegas, M.; García-Uriostegui, L.; Rodriguez, O.; Izquierdo-Bara, I.; Salinas, A.; Toriz, G.; Vallet-Regí, M.; Delgado, E. Lysine-Grafted MCM-41 Silica as an Antibacterial Biomaterial. Bioengineering 2017, 4, 80. [Google Scholar] [CrossRef]
- Wang, Y.; Yin, M.; Li, Z.; Liu, Y.; Rent, X.; Huang, T.S. Preparation of antimicrobial and hemostatic cotton with modified mesoporous particles for biomedical applications. Colloids Surf. B 2018, 165, 199–206. [Google Scholar]
- Gounani, Z.; Asadollahi, M.A.; Pedersen, J.N.; Lyngsø, J.; Pedersen, J.S.; Arpanaei, A.; Meyer, R.L. Mesoporous silica nanoparticles carrying multiple antibiotics provide enhanced synergistic effect and improved biocompatibility. Colloids Surf. B Biointerfaces 2019, 175, 498–508. [Google Scholar] [CrossRef]
- Martínez-Carmona, M.; Gun’ko, Y.K.; Vallet-Regí, M. Mesoporous silica materials as drug delivery: “The nightmare” of bacterial infection. Pharmaceutics 2018, 10, 279. [Google Scholar] [CrossRef]
- González, B.; Colilla, M.; Díez, J.; Pedraza, D.; Guembe, M.; Izquierdo-Barba, I.; Vallet-Regí, M. Mesoporous silica nanoparticles decorated with polycationic dendrimers for infection treatment. Acta Biomater. 2018, 68, 261–271. [Google Scholar] [CrossRef] [PubMed]
- Michailidis, M.; Sorzabal-Bellido, I.; Adamidou, E.A.; Diaz-Fernandez, Y.A.; Aveyard, J.; Wengier, R.; Grigoriev, D.; Raval, R.; Benayahu, Y.; D’Sá, R.A.; et al. Modified mesoporous silica nanoparticles with a dual synergetic antibacterial effect. ACS Appl. Mater. Interfaces 2017, 9, 38364–38372. [Google Scholar] [CrossRef]
- Nik, A.B.; Zare, H.; Razavi, S.; Mohammadi, H.; Ahmadi, P.T.; Yazdani, N.; Bayandori, M.; Rabiee, N.; Mobarakeh, J.I. Smart drug delivery: Capping strategies for mesoporous silica nanoparticles. Microporous Mesoporous Mater. 2020, 299, 110115. [Google Scholar] [CrossRef]
- Mas, N.; Galiana, I.; Mondragon, L.; Aznar, E.; Climent, E.; Cabedo, N.; Sancenon, F.; Murguía, J.R.; Martinez-Mañez, R.; Marcos, M.D.; et al. Enhanced efficacy and broadening of antibacterial action of drugs via the use of capped mesoporous nanoparticles. Chem. Eur. J. 2013, 19, 11167. [Google Scholar] [CrossRef]
- Yu, E.; Galiana, I.; Martinez-Mañez, R.; Stroeve, P.; Marcos, M.D.; Aznar, E.; Sancenón, F.; Murguía, J.R.; Amorós, P. Poly(N-isopropylacrylamide)-gated Fe3O4/SiO2 core shell nanoparticles with expanded mesoporous structures for the temperature triggered release of lysozyme. Colloids Surf. B 2015, 135, 652–660. [Google Scholar] [CrossRef] [PubMed]
- Lara, H.H.; Ayala-Núñez, N.V.; Ixtepan Turrent, L.; Rodríguez Padilla, C. Bactericidal effect of silver nanoparticles against multidrug-resistant bacteria. World J. Microbiol. Biotechnol. 2010, 26, 615–621. [Google Scholar] [CrossRef]
- Sen Karaman, D.; Sarwar, S.; Desai, D.; Björk, E.M.; Odén, M.; Chakrabarti, P.; Rosenholm, J.M.; Chakraborti, S.J. Shape engineering boosts antibacterial activity of chitosan coated mesoporous silica nanoparticle doped with silver: A mechanistic investigation. Mater. Chem. B 2016, 4, 3292. [Google Scholar] [CrossRef]
- Martinez-Flores, E.; Negrete, J.; Torresvillasenor, G. Structure and properties of Zn–Al–Cu alloy reinforced with alumina particles. Mater. Des. 2003, 24, 281–286. [Google Scholar] [CrossRef]
- Rakhshaei, R.; Namazi, H. A potential bioactive wound dressing based on carboxymethyl cellulose/ZnO impregnated MCM-41 nanocomposite hydrogel. Mater. Sci. Eng. C 2017, 73, 456–464. [Google Scholar] [CrossRef]
- Cendrowski, K.; Peruzynska, M.; Markowska-Szczupak, A.; Chen, X.; Wakda, A.; Lapczuk, J.; Kurzawski, M.; Kalenczuk, R.; Drozdzik, M.; Mijowska, E. Mesoporous silica nanospheres functionalized by TiO2 as a photoactive antibacterial agent. J. Nanomed. Nanotechnol. 2013, 4, 182. [Google Scholar] [CrossRef]
- Mei, L.; Zhu, S.; Liu, Y.; Yin, W.; Gu, Z.; Zhao, Y. An overview of the use of nanozymes in antibacterial applications. Chem. Eng. J. 2025, 418, 129431. [Google Scholar] [CrossRef]
- Cieślik, A.; Shymborska, Y.; Tymetska, S.; Stetsyshyn, Y.; Bernasik, A.; Brzychczy-Włoch, M.; Drożdż, K.; Szajna, K.; Krok, F.; Budkowski, A.; et al. Cell sheet engineering platforms integrating antibacterial and thermo-responsive functionalities: Cu-nanoparticle-loaded P4VP brushes for retinal cell sheet harvesting. Chem. Eng. J. 2025, 513, 162985. [Google Scholar] [CrossRef]
- Vasiliev, G.; Kubo, A.L.; Vija, H.; Kahru, A.; Bondar, D.; Karpichev, Y.; Bondarenko, O. Synergistic antibacterial effect of copper and silver nanoparticles and their mechanism of action. Sci. Rep. 2023, 6, 9202. [Google Scholar] [CrossRef]
- Cheung, G.Y.C.; Bae, J.S.; Otto, M. Pathogenicity and virulence of Staphylococcus aureus. Virulence 2021, 12, 547–569. [Google Scholar] [CrossRef]
- Díaz-García, D.; Ardiles, P.R.; Díaz-Sánchez, M.; Mena-Palomo, I.; del Hierro, I.; Prashar, S.; Rodríguez-Diéguez, A.; Páez, P.L.; Gómez-Ruiz, S. Copper-functionalized nanostructured silica-based systems: Antimicrobial applications and ROS generation. J. Inorg. Biochem. 2020, 203, 110912. [Google Scholar] [CrossRef]
- Ugalde-Arbizu, M.; Aguilera-Correa, J.J.; San Sebastian, E.; Páez, P.L.; Nogales, E.; Esteban, J.; Gómez-Ruiz, S. Antibacterial properties of mesoporous silica nanoparticles modified with fluoroquinolones and copper or silver species. Pharmaceuticals 2023, 16, 961. [Google Scholar] [CrossRef]
- Kaper, J.B.; Nataro, J.P.; Mobley, H.L.T. Pathogenic Escherichia coli. Nat. Rev. Microbiol. 2004, 2, 123–140. [Google Scholar] [CrossRef]
- CLSI. Methods for Dilution Antimicrobial Susceptibility Tests for Bacteria That Grow Aerobically; Clinical and Laboratory Standards Institute: Wayne, PA, USA, 2018. [Google Scholar]
- ISO 22196:2011; Measurement of Antibacterial Activity on Plastics and Other Non-Porous Surfaces. International Organization for Standardization: Geneva, Switzerland, 2011.
- da Costa, V.G.; Saivish, M.V.; Santos, D.E.; de Lima Silva, R.F.; Moreli, M.L. Comparative epidemiology between the 2009 H1N1 influenza and COVID-19 pandemics. J. Infect. Public Health 2020, 13, 1797–1804. [Google Scholar] [CrossRef]
- Rutala, W.A.; Weber, D.J. Guideline for Disinfection and Sterilization in Healthcare Facilities, 2008; Centers for Disease Control and Prevention (U.S.): Atlanta, GA, USA, 2008. [Google Scholar]
- European Committee for Antimicrobial Susceptibility Testing (EUCAST). Determination of minimum inhibitory concentrations (MICs) of antibacterial agents by broth dilution. Clin. Microbiol. Infect. 2020, 6, 509–515. [Google Scholar]
- Parvekar, P.; Palaskar, J.; Metgud, S.; Rahul, M.; Dutta, S. The minimum inhibitory concentration (MIC) and minimum bactericidal concentration (MBC) of silver nanoparticles against Staphylococcus aureus. Biomater. Investig. Dent. 2020, 7, 105–109. [Google Scholar] [CrossRef] [PubMed]
- Mahesh, P.P.; Kolape, J.; Sultana, H.; Neelakanta, G. McFarland standards-based spectrophotometry method for calculating approximate multiplicity of infection for Anaplasma phagocytophilum. Microorganisms 2025, 13, 662. [Google Scholar] [CrossRef] [PubMed]
- Alshareef, F. Protocol to evaluate antibacterial activity: MIC, FIC, and time-kill method. Acta Sci. Microbiol. 2021, 4, 2–6. [Google Scholar] [CrossRef]
- Ritter, H.; Ramm, J.H.; Brühwiler, D. Influence of the structural properties of mesoporous silica on the adsorption of guest molecules. Materials 2010, 3, 4500–4509. [Google Scholar] [CrossRef]
- Zhao, D.; Feng, J.; Huo, Q.; Melosh, N.; Fredrickson, G.H.; Chmelka, B.F.; Stucky, G.D. Triblock copolymer syntheses of mesoporous silica with periodic 50 to 300 angstrom pores. Science 1998, 279, 548–552. [Google Scholar] [CrossRef]
- Saha, A.; Mishra, P.; Biswas, G.; Bhakta, S. Greening the pathways: A comprehensive review of sustainable synthesis strategies for silica nanoparticles and their diverse applications. RSC Adv. 2024, 14, 11197. [Google Scholar] [CrossRef]
- Blair, J.M.; Webber, M.A.; Baylay, A.J.; Ogbolu, D.O.; Piddock, L.J. Molecular mechanisms of antibiotic resistance. Nat. Rev. Microbiol. 2015, 13, 42–51. [Google Scholar] [CrossRef]
- Ijaz, A.; Sahin, K.; Dirak, M.; Yagci, M.B.; Kolemen, S.; Demirel, A.L.; Miko, A. Development of novel iron and copper-loaded mesoporous silica particles with exceptional visible-light-induced photocatalytic properties. J. Water Process Eng. 2025, 75, 108050. [Google Scholar] [CrossRef]
- Alavi, M.; Kamarasu, P.; McClements, D.J.; Moore, M.D. Metal and metal oxide-based antiviral nanoparticles: Properties, mechanisms of action, and applications. Adv. Colloid Interface Sci. 2022, 306, 102726. [Google Scholar] [CrossRef]
- Ma, X.; Zhou, S.; Xu, X.; Du, Q. Copper-containing nanoparticles: Mechanism of antimicrobial effect and application in dentistry. Front. Surg. 2022, 9, 905892. [Google Scholar] [CrossRef]
- Motshekga, S.C.; Motshega, S.M. Structural and antibacterial properties of copper oxide nanoparticles: Effect of calcination temperature. Nano Express 2024, 5, 015011. [Google Scholar] [CrossRef]
















| Ratio | T (°C) | pH | Size (nm) | BET (m2/g) |
|---|---|---|---|---|
| TEOS:EtOH:H2O:NH4OH:CTAB—1:20:50:0.5:0.1 | Room | 12.27 | 1000 | 584.2 |
| TEOS:EtOH:H2O:NH4OH:SDBS—1:20:50:0.5:0.1 | Room | 12.03 | 1000 | 3.7 |
| TEOS:EtOH:H2O:NH4OH:F127—1:20:50:0.5:0.1 | Room | 11.98 | -- | 446.2 |
| TEOS:EtOH:H2O:NH4OH:Tween80—1:20:50:0.5:0.1 | Room | 11.38 | -- | - |
| TEOS:EtOH:H2O:NH4OH:CTAB—1:20:50:0.5:0.1 | Room | 12.27 | 1000 | 584.2 |
| TEOS:EtOH:H2O:NH4OH:CTAB—1:20:100:0.5:0.1 | Room | 12.23 | 1000 | 1131.0 |
| TEOS:EtOH:H2O:NH4OH:CTAB—1:20:200:0.5:0.1 | Room | 12.01 | 1000 | 1064.0 |
| TEOS:EtOH:H2O:NH4OH:CTAB—1:20:1000:0.5:0.1 | Room | 12.15 | 1000 | 938.5 |
| TEOS:EtOH:H2O:NH4OH:CTAB—1:20:100:0.5:0.1 | Room | 12.23 | 1100 | 1131.0 |
| TEOS:EtOH:H2O:NH4OH:CTAB—1:20:100:0.5:0.1 | 60 | 11.99 | 1000 | 632.0 |
| TEOS:EtOH:H2O:NH4OH:CTAB—1:20:100:0.5:0.1 | 80 | 12.09 | 800 | 630.0 |
| TEOS:EtOH:H2O:NH4OH:CTAB—1:20:100:0.5:0.1 | 100 | 12.15 | 800 | 290.0 |
| TEOS:EtOH:H2O:NH4OH:CTAB—1:20:100:0.5:0.1 | Room | 1100 | 1131.0 | |
| TEOS:EtOH:H2O:MEA:CTAB—1:20:100:0.5:0.1 | Room | 350 | 362.0 | |
| TEOS:EtOH:H2O:TEA:CTAB—1:20:100:0.5:0.1 | Room | 800 | n.d | |
| TEOS:EtOH:H2O:NH4OHconc:CTAB—1:20:100:0.5:0.1 | Room | 1100 | 1131.0 | |
| TEOS:EtOH:H2O:NH4OH 2 M:CTAB—1:20:100:0.16:0.1 | Room | 140–250 | 933.0 | |
| TEOS:EtOH:H2O:NH4OH 1 M:CTAB—1:20:100:0.08:0.1 | Room | No reaction | - |
| Ratio | Pore Controller | Size (nm) | BET (m2/g) | Pore Volume (cm3/g) | Pore Size (nm) |
|---|---|---|---|---|---|
| TEOS:EtOH:H2O:NH4OH 2 M:CTAB—1:20:100:0.16:0.1 | - | 140–250 | 933.0 | 1.172 | 1.789 |
| Heptane—20 mL | 140–250 | 808.8 | 0.910 | 2.500 | |
| Heptane—40 mL | 140–250 | 1077.5 | 1.471 | 1.589 | |
| Dodecane—40 mL | 140–250 | 1003.7 | 0.825 | 1.291 | |
| Cyclohexane—40 mL | 140–250 | 1005.6 | 2.033 | 1.657 | |
| Mesitylene—20 mL | 90–100 | 910.0 | 0.997 | 6.020 |
| Sample | Incubation Time (min) | Viral Inhibition (%) |
|---|---|---|
| MS2 | ||
| Cu-MSN-1 | 15 | 69.2 |
| 30 | 83.9 | |
| 60 | 97.2 | |
| Cu-MSN-2 | 15 | 7.69 |
| 30 | 26.9 | |
| 60 | 70.3 |
Disclaimer/Publisher’s Note: The statements, opinions and data contained in all publications are solely those of the individual author(s) and contributor(s) and not of MDPI and/or the editor(s). MDPI and/or the editor(s) disclaim responsibility for any injury to people or property resulting from any ideas, methods, instructions or products referred to in the content. |
© 2025 by the authors. Licensee MDPI, Basel, Switzerland. This article is an open access article distributed under the terms and conditions of the Creative Commons Attribution (CC BY) license (https://creativecommons.org/licenses/by/4.0/).
Share and Cite
Goitandia, A.M.; Argaiz, M.; Blanco, M.; Grilli, G.; Recchia, E.; Amoroso, A.; Totaro, N.; Ciammaruconi, A.; De Santis, R.; Ruiz Rubio, L.; et al. Copper-Modified Mesoporous Silica Nanoparticles for Antimicrobial Applications. Nanomaterials 2025, 15, 1884. https://doi.org/10.3390/nano15241884
Goitandia AM, Argaiz M, Blanco M, Grilli G, Recchia E, Amoroso A, Totaro N, Ciammaruconi A, De Santis R, Ruiz Rubio L, et al. Copper-Modified Mesoporous Silica Nanoparticles for Antimicrobial Applications. Nanomaterials. 2025; 15(24):1884. https://doi.org/10.3390/nano15241884
Chicago/Turabian StyleGoitandia, Amaia M., Maialen Argaiz, Miren Blanco, Giorgia Grilli, Elisa Recchia, Alessandra Amoroso, Nathalie Totaro, Andrea Ciammaruconi, Riccardo De Santis, Leire Ruiz Rubio, and et al. 2025. "Copper-Modified Mesoporous Silica Nanoparticles for Antimicrobial Applications" Nanomaterials 15, no. 24: 1884. https://doi.org/10.3390/nano15241884
APA StyleGoitandia, A. M., Argaiz, M., Blanco, M., Grilli, G., Recchia, E., Amoroso, A., Totaro, N., Ciammaruconi, A., De Santis, R., Ruiz Rubio, L., Arduini, F., & Lista, F. (2025). Copper-Modified Mesoporous Silica Nanoparticles for Antimicrobial Applications. Nanomaterials, 15(24), 1884. https://doi.org/10.3390/nano15241884

