Polymer-Assisted Synthesis of Co3O4 Spinel Catalysts with Enhanced Surface Co2+ Ions for N2O Decomposition
Abstract
1. Introduction
2. Materials and Methods
2.1. Materials
2.2. Preparation of Polymer-Assisted Co3O4 Spinel Catalysts Using PVA, PVP, and PEG
2.3. Synthesis of Polymer-Assisted Co3O4/CeO2 Catalysts
2.4. Catalyst Characterization
2.5. Catalytic Performance Evaluation
3. Results & Discussion
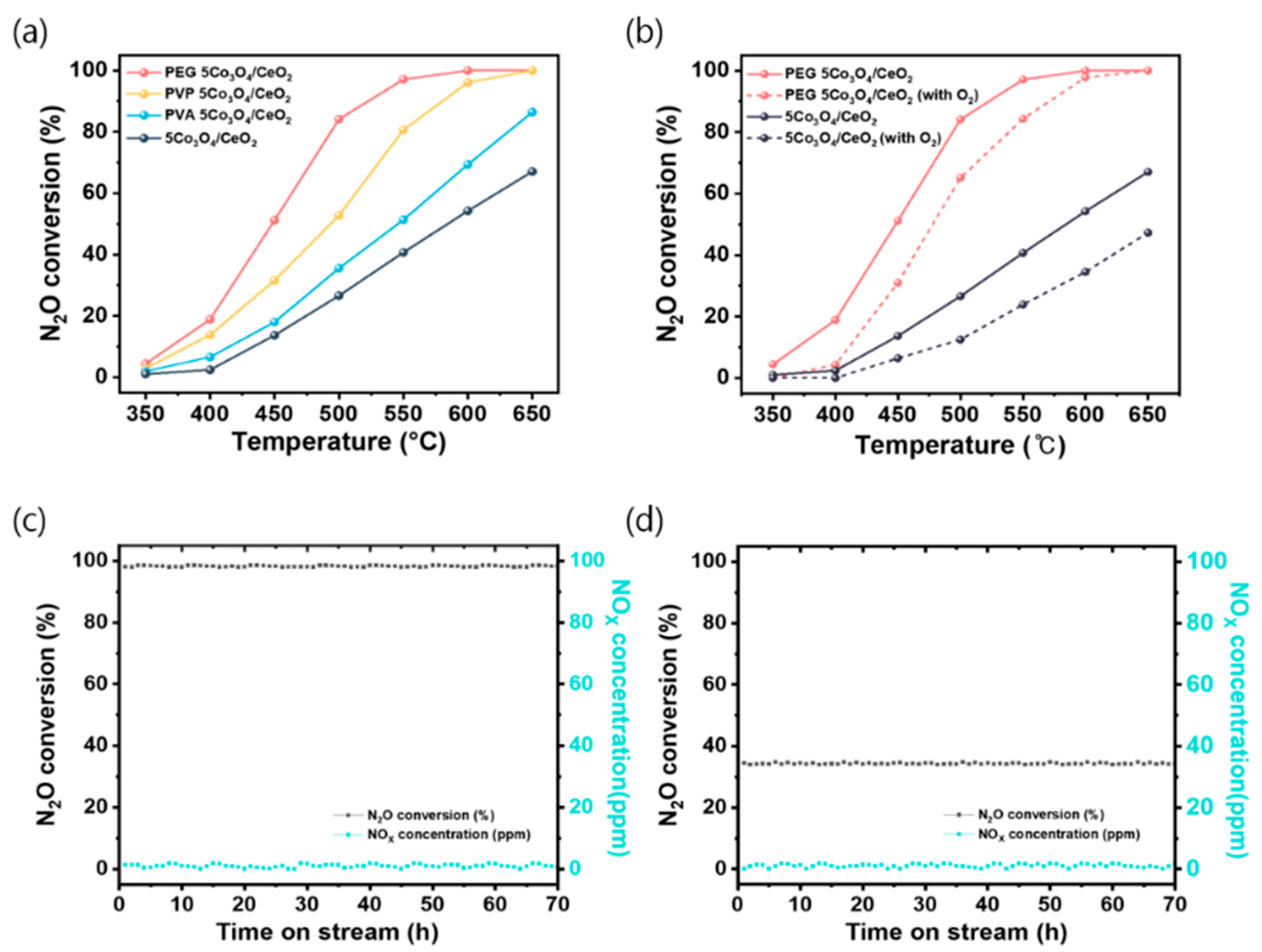
3.1. Catalytic Performance
3.2. Structural Characteristics and Surface Properties of the Catalysts
3.3. Redox Behavior and Surface Oxygen State Properties
3.4. Role of Polymer
4. Conclusions
Supplementary Materials
Author Contributions
Funding
Data Availability Statement
Acknowledgments
Conflicts of Interest
References
- Zhuang, Z.; Guan, B.; Chen, J.; Zheng, C.; Zhou, J.; Su, T.; Chen, Y.; Zhu, C.; Hu, X.; Zhao, S.; et al. Review of nitrous oxide direct catalytic decomposition and selective catalytic reduction catalysts. Chem. Eng. J. 2024, 486, 150374. [Google Scholar] [CrossRef]
- Wu, X.; Du, J.; Gao, Y.; Wang, H.; Zhang, C.; Zhang, R.; He, H.; Lu, G.; Wu, Z. Progress and challenges in nitrous oxide decomposition and valorization. Chem. Soc. Rev. 2024, 53, 8379–8423. [Google Scholar] [CrossRef] [PubMed]
- Zhao, H.; Wang, P.; Li, Z.; Ao, C.; Zhao, X.; Lin, H. Improved activity and significant O2 resistance of Cs doped Co3O4 catalyst for N2O decomposition. J. Environ. Chem. Eng. 2024, 12, 113907. [Google Scholar] [CrossRef]
- Müller, R. The impact of the rise in atmospheric nitrous oxide on stratospheric ozone. Ambio 2021, 50, 35–39. [Google Scholar] [CrossRef]
- Li, L.; Xu, J.; Hu, J.; Han, J. Reducing Nitrous Oxide Emissions to Mitigate Climate Change and Protect the Ozone Layer. Environ. Sci. Technol. 2014, 48, 5290–5297. [Google Scholar] [CrossRef]
- Hussain, M.; Fino, D.; Russo, N. N2O decomposition by mesoporous silica supported Rh catalysts. J. Hazard. Mater. 2012, 211–212, 255–265. [Google Scholar] [CrossRef]
- Xu, X.; Xu, H.; Kapteijn, F.; Moulijn, J.A. SBA-15 based catalysts in catalytic N2O decomposition in a model tail-gas from nitric acid plants. Appl. Catal. B Environ. 2004, 53, 265–274. [Google Scholar] [CrossRef]
- Pérez-Ramírez, J.; Kapteijn, F.; Schöffel, K.; Moulijn, J.A. Formation and control of N2O in nitric acid production: Where do we stand today? Appl. Catal. B Environ. 2003, 44, 117–151. [Google Scholar] [CrossRef]
- Hu, X.; Wang, Y.; Wu, R.; Zhao, L.; Wei, X.; Zhao, Y. Effects of zirconia crystal phases on the catalytic decomposition of N2O over Co3O4/ZrO2 catalysts. Appl. Surf. Sci. 2020, 514, 145892. [Google Scholar] [CrossRef]
- You, Y.; Chang, H.; Ma, L.; Guo, L.; Qin, X.; Li, J.; Li, J. Enhancement of N2O decomposition performance by N2O pretreatment over Ce-Co-O catalyst. Chem. Eng. J. 2018, 347, 184–192. [Google Scholar] [CrossRef]
- Hinokuma, S.; Iwasa, T.; Kon, Y.; Taketsugu, T.; Sato, K. N2O decomposition properties of Ru catalysts supported on various oxide materials and SnO2. Sci. Rep. 2020, 10, 21605. [Google Scholar] [CrossRef]
- Li, Y.; Sundermann, A.; Gerlach, O.; Low, K.-B.; Zhang, C.C.; Zheng, X.; Zhu, H.; Axnanda, S. Catalytic decomposition of N2O on supported Rh catalysts. Catal. Today 2020, 355, 608–619. [Google Scholar] [CrossRef]
- Richards, N.; Carter, J.H.; Nowicka, E.; Parker, L.A.; Pattisson, S.; He, Q.; Dummer, N.F.; Golunski, S.; Hutchings, G.J. Structure-sensitivity of alumina supported palladium catalysts for N2O decomposition. Appl. Catal. B Environ. 2020, 264, 118501. [Google Scholar] [CrossRef]
- Centi, G.; Dall’Olio, L.; Perathoner, S. Room temperature decomposition of N2O in the presence of gaseous oxygen on prereduced Rh supported catalysts. Catal. Lett. 2000, 67, 107–112. [Google Scholar] [CrossRef]
- Marnellos, G.E.; Efthimiadis, E.A.; Vasalos, I.A. Effect of SO2 and H2O on the N2O decomposition in the presence of O2 over Ru/Al2O3. Appl. Catal. B Environ. 2003, 46, 523–539. [Google Scholar] [CrossRef]
- Zabilskiy, M.; Djinović, P.; Tchernychova, E.; Tkachenko, O.P.; Kustov, L.M.; Pintar, A. Nanoshaped CuO/CeO2 Materials: Effect of the Exposed Ceria Surfaces on Catalytic Activity in N2O Decomposition Reaction. ACS Catal. 2015, 5, 5357–5365. [Google Scholar] [CrossRef]
- Pietrogiacomi, D.; Campa, M.C.; Carbone, L.R.; Tuti, S.; Occhiuzzi, M. N2O decomposition on CoOx, CuOx, FeOx or MnOx supported on ZrO2: The effect of zirconia doping with sulfates or K+ on catalytic activity. Appl. Catal. B Environ. 2016, 187, 218–227. [Google Scholar] [CrossRef]
- Galloni, M.G.; Campisi, S.; Gervasini, A.; Morandi, S.; Manzoli, M. How hydroxyapatite governs surface Cu(II) and Fe(III) structuring: Effects in the N2O decomposition under highly oxidant atmosphere. Appl. Catal. A Gen. 2023, 655, 119101. [Google Scholar] [CrossRef]
- Lin, F.; Andana, T.; Wu, Y.; Szanyi, J.; Wang, Y.; Gao, F. Catalytic site requirements for N2O decomposition on Cu-, Co-, and Fe-SSZ-13 zeolites. J. Catal. 2021, 401, 70–80. [Google Scholar] [CrossRef]
- Nobukawa, T.; Yoshida, M.; Okumura, K.; Tomishige, K.; Kunimori, K. Effect of reductants in N2O reduction over Fe-MFI catalysts. J. Catal. 2005, 229, 374–388. [Google Scholar] [CrossRef]
- Rutkowska, M.; Piwowarska, Z.; Micek, E.; Chmielarz, L. Hierarchical Fe-, Cu- and Co-Beta zeolites obtained by mesotemplate-free method. Part I: Synthesis and catalytic activity in N2O decomposition. Microporous Mesoporous Mater. 2015, 209, 54–65. [Google Scholar] [CrossRef]
- Galadima, A.; Muraza, O. Stability improvement of zeolite catalysts under hydrothermal conditions for their potential applications in biomass valorization and crude oil upgrading. Microporous Mesoporous Mater. 2017, 249, 42–54. [Google Scholar] [CrossRef]
- Rho, Y.-J.; Yoo, Y.J.; Ryu, W.-H. Research trends on minimizing the size of noble metal catalysts for Li-CO2 batteries: From nanoparticle to single atom. Korean J. Chem. Eng. 2023, 40, 461–472. [Google Scholar] [CrossRef]
- Yang, W.; Wang, Q.; Dang, H.; Zhao, L.; Wu, R.; Li, J.; Wang, Y.; Zhao, Y. In-situ polymerization intercalation of montmorillonite to achieve Co3O4 barrier dispersion for direct catalytic decomposition of N2O. Appl. Catal. A Gen. 2023, 664, 119329. [Google Scholar] [CrossRef]
- Liu, H.; Yang, S.; Wang, G.; Liu, H.; Peng, Y.; Sun, C.; Li, J.; Chen, J. Strong Electronic Orbit Coupling between Cobalt and Single-Atom Praseodymium for Boosted Nitrous Oxide Decomposition on Co3O4 Catalyst. Environ. Sci. Technol. 2022, 56, 16325–16335. [Google Scholar] [CrossRef]
- Gong, Y.; Liu, Z.; Li, Z.; Liu, C.; Yan, N.; Ma, L. Boosting N2O Decomposition by Fabricating the Cs–O–Co Structure over Co3O4 with Single-Layer Atoms of Cs. Environ. Sci. Technol. 2024, 58, 906–914. [Google Scholar] [CrossRef]
- Jing, Y.; He, C.; Zhang, N.; Murano, Y.; Toyoshima, R.; Kondoh, H.; Kageyama, Y.; Inomata, H.; Toyao, T.; Shimizu, K.-I. Promotional Effect of Ag on the Catalytic Decomposition of N2O in the Presence of O2 over the Al2O3-Supported Rh Catalyst. ACS Catal. 2023, 13, 12983–12993. [Google Scholar] [CrossRef]
- Hernandez Mejia, C.; van Deelen, T.W.; de Jong, K.P. Activity enhancement of cobalt catalysts by tuning metal-support interactions. Nat. Commun. 2018, 9, 4459. [Google Scholar] [CrossRef]
- Zhang, G.; Li, J.; Wang, Y.; Lei, L.; Zhuang, L. Controlled Aggregation of Cobalt and Platinum Atoms via Plasma Treatment for Exceptional Hydrogen Evolution Reaction Activity. Coatings 2024, 14, 1569. [Google Scholar] [CrossRef]
- Arya, R.K.; Thapliyal, D.; Pandit, A.; Gora, S.; Banerjee, C.; Verros, G.D.; Sen, P. Polymer Coated Functional Catalysts for Industrial Applications. Polymers 2023, 15, 2009. [Google Scholar] [CrossRef] [PubMed]
- Wu, G.; Liu, S.; Ren, J.; Zhu, J.; Yu, Y.; Yusup, S.; Chen, D.; Zhang, S.; Huang, Y. Controllable design of phosphorus-doped cobalt sulfide for catalytic conversion of cellulose to methyl levulinate: The importance of Co3+/Co2+ ratio. Renew. Energy 2025, 250, 123322. [Google Scholar] [CrossRef]
- Ma, Y.; Wang, L.; Ma, J.; Liu, F.; Einaga, H.; He, H. Improved and Reduced Performance of Cu- and Ni-Substituted Co3O4 Catalysts with Varying CoOh/CoTd and Co3+/Co2+ Ratios for the Complete Catalytic Oxidation of VOCs. Environ. Sci. Technol. 2022, 56, 9751–9761. [Google Scholar] [CrossRef]
- Ye, M.; Mohanty, P.; Ghosh, G. Morphology and properties of poly vinyl alcohol (PVA) scaffolds: Impact of process variables. Mater. Sci. Eng. C 2014, 42, 289–294. [Google Scholar] [CrossRef]
- Saljoughi, E.; Mohammadi, T. Cellulose acetate (CA)/polyvinylpyrrolidone (PVP) blend asymmetric membranes: Preparation, morphology and performance. Desalination 2009, 249, 850–854. [Google Scholar] [CrossRef]
- Masoudpanah, S.M. PVP-assisted hydrothermal synthesis of rod-like NiCo2O4 powders as high-performance microwave absorbers. J. Mater. Res. Technol. 2022, 20, 3264–3274. [Google Scholar] [CrossRef]
- Selli, D.; Valentin, C.D. Ab Initio Investigation of Polyethylene Glycol Coating of TiO2 Surfaces. J. Phys. Chem. C 2016, 120, 29190–29201. [Google Scholar] [CrossRef] [PubMed]
- Do, S.-B.; Lee, S.-E.; Kim, T.-O. Oxidative decomposition with PEG-MnO2 catalyst for removal of formaldehyde: Chemical aspects on HCHO oxidation mechanism. Appl. Surf. Sci. 2022, 598, 153773. [Google Scholar] [CrossRef]
- Qasem Ali, A.A.; Khan, M.U.; Siddiqui, Z.N. PEG supported Cu–Mo mixed metal oxide (CuO–MoO3@PEG): A highly efficient catalyst for the enamination of pyrimidine dione and dimedone. Curr. Res. Green Sustain. Chem. 2022, 5, 100231. [Google Scholar] [CrossRef]
- Li, S.; Zhao, J.; Song, Z.; Wang, H.; Zhang, T.; Liu, J.; Jiang, Q. New insights into the effect of polyvinyl alcohol on Co3O4 spinel oxide catalyst for N2O decomposition. Fuel 2024, 362, 130745. [Google Scholar] [CrossRef]
- Nowakowski, L.; Hudy, C.; Zasada, F.; Gryboś, J.; Piskorz, W.; Wach, A.; Kayser, Y.; Szlachetko, J.; Sojka, Z. N2O Decomposition on Singly and Doubly (K and Li)-Doped Co3O4 Nanocubes─Establishing Key Factors Governing Redox Behavior of Catalysts. J. Am. Chem. Soc. 2024, 146, 24450–24466. [Google Scholar] [CrossRef] [PubMed]
- Bates, S.A.; Verma, A.A.; Paolucci, C.; Parekh, A.A.; Anggara, T.; Yezerets, A.; Schneider, W.F.; Miller, J.T.; Delgass, W.N.; Ribeiro, F.H. Identification of the active Cu site in standard selective catalytic reduction with ammonia on Cu-SSZ-13. J. Catal. 2014, 312, 87–97. [Google Scholar] [CrossRef]
- Zhang, T.; Qiu, Y.; Liu, G.; Chen, J.; Peng, Y.; Liu, B.; Li, J. Nature of active Fe species and reaction mechanism over high-efficiency Fe/CHA catalysts in catalytic decomposition of N2O. J. Catal. 2020, 392, 322–335. [Google Scholar] [CrossRef]
- Lee, M.-J.; Jeong, B.; Kim, D.; Kim, S.-J.; Choi, Y.; Ye, B.; Kim, D.-H.; Kim, H.-D.; Cho, S. Hexagonal boron nitride heterostructure to control the oxidation states and SO2 resistance of the V2O5-WO3/TiO2 catalyst for the NH3-SCR reaction across a wide temperature range. Appl. Catal. B Environ. Energy 2025, 378, 125583. [Google Scholar] [CrossRef]
- Belles, L.; Moularas, C.; Smykała, S.; Deligiannakis, Y. Flame Spray Pyrolysis Co3O4/CoO as Highly-Efficient Nanocatalyst for Oxygen Reduction Reaction. Nanomaterials 2021, 11, 925. [Google Scholar] [CrossRef]
- Li, Y.; Wang, X.; Shi, C. The catalytic performance of Ba-Ce-Cu catalysts for N2O decomposition. J. Environ. Chem. Eng. 2023, 11, 109970. [Google Scholar] [CrossRef]
- Smeets, P.J.; Sels, B.F.; van Teeffelen, R.M.; Leeman, H.; Hensen, E.J.M.; Schoonheydt, R.A. The catalytic performance of Cu-containing zeolites in N2O decomposition and the influence of O2, NO and H2O on recombination of oxygen. J. Catal. 2008, 256, 183–191. [Google Scholar] [CrossRef]
- Grzybek, G.; Gryboś, J.; Indyka, P.; Janas, J.; Ciura, K.; Leszczyński, B.; Zasada, F.; Kotarba, A.; Sojka, Z. Evaluation of the inhibiting effect of H2O, O2, and NO on the performance of laboratory and pilot K-ZnxCo3-xO4 catalysts supported on α-Al2O3 for low-temperature N2O decomposition. Appl. Catal. B Environ. 2021, 297, 120435. [Google Scholar] [CrossRef]
- Yu, H.; Qi, X.; Du, X.; Pan, Y.; Feng, X.; Shan, W.; Xiong, Y. The preparation of 3.0F-Co3O4 catalyst with “Yardang Landform” structure and its performance for catalyzing N2O decomposition. Mol. Catal. 2023, 537, 112960. [Google Scholar] [CrossRef]
- Ye, B.; Jeong, B.; Lee, M.-J.; Kim, T.H.; Park, S.-S.; Jung, J.; Lee, S.; Kim, H.-D. Recent trends in vanadium-based SCR catalysts for NOx reduction in industrial applications: Stationary sources. Nano Converg. 2022, 9, 51. [Google Scholar] [CrossRef] [PubMed]
- Li, J.-J.; Cai, S.-C.; Xu, Z.; Chen, X.; Chen, J.; Jia, H.-P.; Chen, J. Solvothermal syntheses of Bi and Zn co-doped TiO2 with enhanced electron-hole separation and efficient photodegradation of gaseous toluene under visible-light. J. Hazard. Mater. 2017, 325, 261–270. [Google Scholar] [CrossRef]
- Long, Y.; Zhu, X.; Gao, C.; Si, W.; Li, J.; Peng, Y. Modulation of Co spin state at Co3O4 crystalline-amorphous interfaces for CO oxidation and N2O decomposition. Nat. Commun. 2025, 16, 1048. [Google Scholar] [CrossRef]
- Wójcik, S.; Grzybek, G.; Stelmachowski, P.; Sojka, Z.; Kotarba, A. Bulk, Surface and Interface Promotion of Co3O4 for the Low-Temperature N2O Decomposition Catalysis. Catalysts 2020, 10, 41. [Google Scholar] [CrossRef]
- Makhlouf, S.A.; Bakr, Z.H.; Aly, K.I.; Moustafa, M.S. Structural, electrical and optical properties of Co3O4 nanoparticles. Superlattices Microstruct. 2013, 64, 107–117. [Google Scholar] [CrossRef]
- St-Onge, V.; Cui, M.; Rochon, S.; Daigle, J.-C.; Claverie, J.P. Reducing crystallinity in solid polymer electrolytes for lithium-metal batteries via statistical copolymerization. Commun. Mater. 2021, 2, 83. [Google Scholar] [CrossRef]
- Zhou, X.J.; Shi, P.H.; Qin, Y.F.; Fan, J.C.; Min, Y.L.; Yao, W.F. Synthesis of Co3O4/graphene composite catalysts through CTAB-assisted method for Orange II degradation by activation of peroxymonosulfate. J. Mater. Sci. Mater. Electron. 2016, 27, 1020–1030. [Google Scholar] [CrossRef]
- Yu, H.; Li, Y.; Pan, Y.; Du, Y.; Feng, X.; Cui, J.; Lou, Z.; Shan, W.; Xiong, Y. Dy and K double-additive modified Co3O4 catalyst with high resistance to NOx for catalyzing N2O decomposition. Chem. Eng. J. 2025, 504, 159032. [Google Scholar] [CrossRef]
- Uvarov, V.; Popov, I. Metrological characterization of X-Ray diffraction methods for determination of crystallite size in nano-scale materials. Mater. Charact. 2007, 58, 883–891. [Google Scholar] [CrossRef]
- Kenyota, N.; Jarernboon, W.; Laokul, P. Bulk synthesis of chemically activated carbon and cobalt oxide nanocomposites as supercapacitor electrodes. J. Mater. Sci. Mater. Electron. 2024, 35, 158. [Google Scholar] [CrossRef]
- Rokicińska, A.; Łątka, P.; Olszański, B.; Żurowska, M.; Dębosz, M.; Michalik, M.; Kuśtrowski, P. Polymer template assisted construction of spherical Co3O4@meso-SiO2 yolk-shell nanoreactors for catalytic combustion of volatile organic compounds. Chem. Eng. J. 2024, 480, 148173. [Google Scholar] [CrossRef]
- Ercolino, G.; Grodzka, A.; Grzybek, G.; Stelmachowski, P.; Specchia, S.; Kotarba, A. The Effect of the Preparation Method of Pd-Doped Cobalt Spinel on the Catalytic Activity in Methane Oxidation Under Lean Fuel Conditions. Top. Catal. 2017, 60, 333–341. [Google Scholar] [CrossRef]
- Wang, Y.; Wei, X.; Hu, X.; Zhou, W.; Zhao, Y. Effect of Formic Acid Treatment on the Structure and Catalytic Activity of Co3O4 for N2O Decomposition. Catal. Lett. 2019, 149, 1026–1036. [Google Scholar] [CrossRef]
- Jiang, Z.; Feng, X.; Deng, J.; He, C.; Douthwaite, M.; Yu, Y.; Liu, J.; Hao, Z.; Zhao, Z. Atomic-Scale Insights into the Low-Temperature Oxidation of Methanol over a Single-Atom Pt1-Co3O4 Catalyst. Adv. Funct. Mater. 2019, 29, 1902041. [Google Scholar] [CrossRef]
- Kang, B.; Guo, M.; Wu, H.; Guo, X.; Di, Z.; Wei, Y.; Jia, J.; Wang, Z.-J.; Zhang, R. Effect of alkali/alkaline-earth-metal doping on the Co3O4 spinel structure and N 2 O decomposition. Catal. Sci. Technol. 2024, 14, 2825–2837. [Google Scholar] [CrossRef]
- Xue, L.; Zhang, C.; He, H.; Teraoka, Y. Catalytic decomposition of N2O over CeO2 promoted Co3O4 spinel catalyst. Appl. Catal. B Environ. 2007, 75, 167–174. [Google Scholar] [CrossRef]
- Asano, K.; Ohnishi, C.; Iwamoto, S.; Shioya, Y.; Inoue, M. Potassium-doped Co3O4 catalyst for direct decomposition of N2O. Appl. Catal. B Environ. 2008, 78, 242–249. [Google Scholar] [CrossRef]
- Yi, S.; Lai, P.; Ma, G.; Pan, J.; Chen, Z.; Qin, Y.; Jiang, X. Green and facile synthesis of nanostructured Co3O4/CeO2 catalysts via a glucose-urea method for NO oxidation. Appl. Surf. Sci. 2023, 626, 157180. [Google Scholar] [CrossRef]
- Zhang, L.; Jin, Z.; Tsubaki, N. Zeolitic Imidazolate Framework-67-Derived P-Doped Hollow Porous Co3O4 as a Photocatalyst for Hydrogen Production from Water. ACS Appl. Mater. Interfaces 2021, 13, 50996–51007. [Google Scholar] [CrossRef]
- Chen, X.; Li, J.; Cai, S.; Chen, J.; Jia, H. Two-step pyrolytic engineering of carbon-doped Co3O4 with rich defects for efficient low-temperature CO oxidation. J. Mater. Chem. A 2020, 8, 6619–6630. [Google Scholar] [CrossRef]
- Wang, Z.; Wang, W.; Zhang, L.; Jiang, D. Surface oxygen vacancies on Co3O4 mediated catalytic formaldehyde oxidation at room temperature. Catal. Sci. Technol. 2016, 6, 3845–3853. [Google Scholar] [CrossRef]
- Wang, Q.; Yang, W.; Dang, H.; Li, L.; Wu, R.; Wang, Y.; Zhao, Y. Enhancement of N2O decomposition performance by co-doping of Ni and Y to Co3O4 catalyst. J. Environ. Chem. Eng. 2024, 12, 112463. [Google Scholar] [CrossRef]
- Zhao, F.; Wang, D.; Li, X.; Yin, Y.; Wang, C.; Qiu, L.; Yu, J.; Chang, H. Enhancement of Cs on Co3O4 for N2O Catalytic Decomposition: N2O Activation and O2 Desorption. Ind. Eng. Chem. Res. 2022, 61, 13854–13862. [Google Scholar] [CrossRef]
- Shirayama, S.; Uda, T. Recovery of Cobalt Ion into Polyethyleneglycol (PEG) Gel Phase as Thiocyanato Complex. Mater. Trans. 2015, 56, 610–616. [Google Scholar] [CrossRef]
- Yoo, S.H.; Kim, J.H.; Jho, J.Y.; Won, J.; Kang, Y.S. Influence of the addition of PVP on the morphology of asymmetric polyimide phase inversion membranes: Effect of PVP molecular weight. J. Membr. Sci. 2004, 236, 203–207. [Google Scholar] [CrossRef]
- Ma, S.; Bai, J.; Sun, L.; Zhao, L.; Tan, H.; Liu, L.; Peng, Z.; Zhao, X.; Xiong, D. Investigation of polyethylene glycol (PEG) assisted solvothermal synthesis of CuCoO2 nanosheets for efficient oxygen evolution reaction. Dalton Trans. 2023, 52, 13750–13757. [Google Scholar] [CrossRef] [PubMed]
- Han, S.; Kim, C.; Kwon, D. Thermal degradation of poly(ethyleneglycol). Polym. Degrad. Stab. 1995, 47, 203–208. [Google Scholar] [CrossRef]
- Krause, B.; Pötschke, P. Polyethylene Glycol as Additive to Achieve N-Conductive Melt-Mixed Polymer/Carbon Nanotube Composites for Thermoelectric Application. Nanomaterials 2022, 12, 3812. [Google Scholar] [CrossRef]






| Sample | BET Surface Area (m2/g) | Pore Volume (cm3/g) | Pore Size (nm) | Crystallite Size (nm) |
|---|---|---|---|---|
| PEG Co3O4 | 35 | 20 | 17 | 15.64 |
| PVP Co3O4 | 25 | 12 | 12 | 16.59 |
| PVA Co3O4 | 24 | 12 | 11 | 16.82 |
| Co3O4 | 18 | 10 | 10 | 17.25 |
| Sample | Surface Information | |
|---|---|---|
| Co2+/(Co2+ + Co3+) | Oads/(Oads + Olatt) | |
| PEG Co3O4 | 0.47 | 0.72 |
| PVP Co3O4 | 0.43 | 0.64 |
| PVA Co3O4 | 0.35 | 0.50 |
| Co3O4 | 0.30 | 0.41 |
Disclaimer/Publisher’s Note: The statements, opinions and data contained in all publications are solely those of the individual author(s) and contributor(s) and not of MDPI and/or the editor(s). MDPI and/or the editor(s) disclaim responsibility for any injury to people or property resulting from any ideas, methods, instructions or products referred to in the content. |
© 2025 by the authors. Licensee MDPI, Basel, Switzerland. This article is an open access article distributed under the terms and conditions of the Creative Commons Attribution (CC BY) license (https://creativecommons.org/licenses/by/4.0/).
Share and Cite
Kim, N.; Kim, S.-J.; Seo, S.-H.; Lee, M.-J.; Jeong, B.; Kim, H.-D.; Nam, T.W.; Ye, B. Polymer-Assisted Synthesis of Co3O4 Spinel Catalysts with Enhanced Surface Co2+ Ions for N2O Decomposition. Nanomaterials 2025, 15, 1642. https://doi.org/10.3390/nano15211642
Kim N, Kim S-J, Seo S-H, Lee M-J, Jeong B, Kim H-D, Nam TW, Ye B. Polymer-Assisted Synthesis of Co3O4 Spinel Catalysts with Enhanced Surface Co2+ Ions for N2O Decomposition. Nanomaterials. 2025; 15(21):1642. https://doi.org/10.3390/nano15211642
Chicago/Turabian StyleKim, Nahea, Su-Jin Kim, Sang-Hyeok Seo, Myeung-Jin Lee, Bora Jeong, Hong-Dae Kim, Tae Won Nam, and Bora Ye. 2025. "Polymer-Assisted Synthesis of Co3O4 Spinel Catalysts with Enhanced Surface Co2+ Ions for N2O Decomposition" Nanomaterials 15, no. 21: 1642. https://doi.org/10.3390/nano15211642
APA StyleKim, N., Kim, S.-J., Seo, S.-H., Lee, M.-J., Jeong, B., Kim, H.-D., Nam, T. W., & Ye, B. (2025). Polymer-Assisted Synthesis of Co3O4 Spinel Catalysts with Enhanced Surface Co2+ Ions for N2O Decomposition. Nanomaterials, 15(21), 1642. https://doi.org/10.3390/nano15211642

