Raman and Infrared Signatures of Layered Boron Nitride Polytypes: A First-Principles Study
Abstract
1. Introduction
2. Computational Details
3. Results
3.1. Crystal Structures for Different Polymorphs of BN
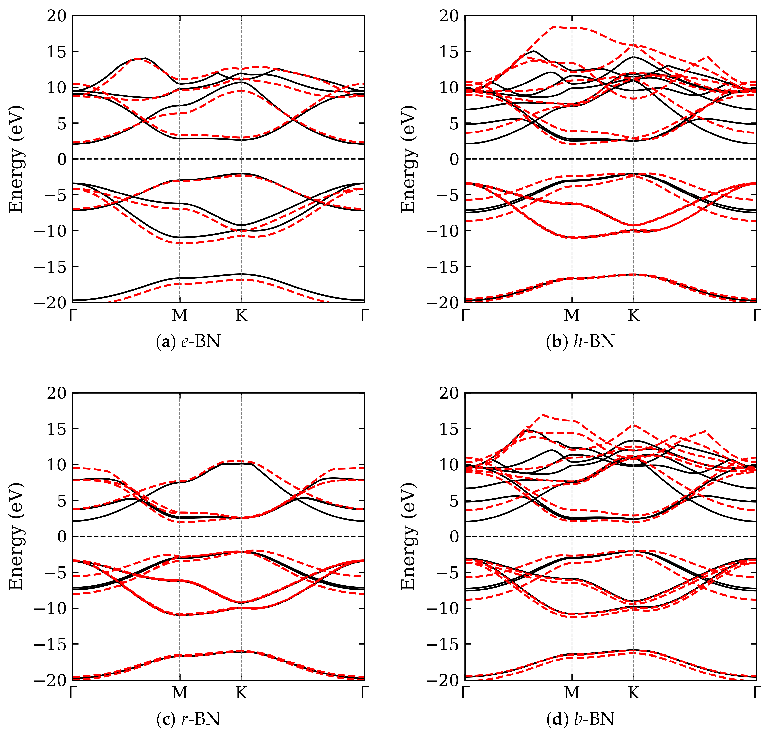
3.2. Electronic Band Structure
3.3. Phonon Frequencies
3.4. Raman and Infrared Intensities
3.5. Comparison with Experiment and Internal Consistency
4. Summary
Supplementary Materials
Author Contributions
Funding
Data Availability Statement
Acknowledgments
Conflicts of Interest
References
- Tan, T.; Jiang, X.; Wang, C.; Yao, B.; Zhang, H. 2D Material Optoelectronics for Information Functional Device Applications: Status and Challenges. Adv. Sci. 2020, 7, 2000058. [Google Scholar] [CrossRef] [PubMed]
- Gil, B.; Desrat, W.; Rousseau, A.; Elias, C.; Valvin, P.; Moret, M.; Li, J.; Janzen, E.; Edgar, J.H.; Cassabois, G. Polytypes of sp2-Bonded Boron Nitride. Crystals 2022, 12, 782. [Google Scholar] [CrossRef]
- Olovsson, W.; Magnuson, M. Rhombohedral and Turbostratic Boron Nitride Polytypes Investigated by X-ray Absorption Spectroscopy. J. Phys. Chem. C 2022, 126, 21101–21108. [Google Scholar] [CrossRef]
- Liu, L.; Feng, Y.P.; Shen, Z.X. Structural and electronic properties ofh-BN. Phys. Rev. B 2003, 68, 104102. [Google Scholar] [CrossRef]
- Gilbert, S.M.; Pham, T.; Dogan, M.; Oh, S.; Shevitski, B.; Schumm, G.; Liu, S.; Ercius, P.; Aloni, S.; Cohen, M.L.; et al. Alternative stacking sequences in hexagonal boron nitride. 2D Mater. 2019, 6, 021006. [Google Scholar] [CrossRef]
- Novotný, M.; Dubecký, M.; Karlický, F. Toward accurate modeling of structure and energetics of bulk hexagonal boron nitride. J. Comput. Chem. 2023, 45, 115–121. [Google Scholar] [CrossRef] [PubMed]
- Ordin, S.V.; Sharupin, B.N.; Fedorov, M.I. Normal lattice vibrations and the crystal structure of anisotropic modifications of boron nitride. Semiconductors 1998, 32, 924–932. [Google Scholar] [CrossRef]
- Cazorla, C.; Gould, T. Polymorphism of bulk boron nitride. Sci. Adv. 2019, 5, eaau5832. [Google Scholar] [CrossRef] [PubMed]
- Nikaido, Y.; Ichibha, T.; Hongo, K.; Reboredo, F.A.; Kumar, K.C.H.; Mahadevan, P.; Maezono, R.; Nakano, K. Diffusion Monte Carlo Study on Relative Stabilities of Boron Nitride Polymorphs. J. Phys. Chem. C 2022, 126, 6000–6007. [Google Scholar] [CrossRef]
- Korona, T.; Chojecki, M. Exploring point defects in hexagonal boron-nitrogen monolayers. Int. J. Quantum Chem. 2019, 119, e25925. [Google Scholar] [CrossRef]
- Constantinescu, G.; Kuc, A.; Heine, T. Stacking in Bulk and Bilayer Hexagonal Boron Nitride. Phys. Rev. Lett. 2013, 111, 036104. [Google Scholar] [CrossRef] [PubMed]
- Iwański, J.; Korona, K.P.; Tokarczyk, M.; Kowalski, G.; Dąbrowska, A.K.; Tatarczak, P.; Rogala, I.; Bilska, M.; Wójcik, M.; Kret, S.; et al. Revealing polytypism in 2D boron nitride with UV photoluminescence. NPJ 2D Mater. Appl. 2024, 8, 72. [Google Scholar] [CrossRef]
- Korona, K.P.; Binder, J.; Dąbrowska, A.K.; Iwański, J.; Reszka, A.; Korona, T.; Tokarczyk, M.; Stępniewski, R.; Wysmołek, A. Growth temperature induced changes of luminescence in epitaxial BN: From colour centres to donor–acceptor recombination. Nanoscale 2023, 15, 9864–9877. [Google Scholar] [CrossRef] [PubMed]
- Barone, V.; Casarin, M.; Forrer, D.; Pavone, M.; Sambi, M.; Vittadini, A. Role and effective treatment of dispersive forces in materials: Polyethylene and graphite crystals as test cases. J. Comput. Chem. 2009, 30, 934–939. [Google Scholar] [CrossRef] [PubMed]
- Ahmed, R.; e Aleem, F.; Hashemifar, S.J.; Akbarzadeh, H. First principles study of structural and electronic properties of different phases of boron nitride. Phys. B Condens. Matter 2007, 400, 297–306. [Google Scholar] [CrossRef]
- van Setten, M.; Giantomassi, M.; Bousquet, E.; Verstraete, M.; Hamann, D.; Gonze, X.; Rignanese, G.M. The PseudoDojo: Training and grading a 85 element optimized norm-conserving pseudopotential table. Comput. Phys. Commun. 2018, 226, 39–54. [Google Scholar] [CrossRef]
- Geick, R.; Perry, C.H.; Rupprecht, G. Normal Modes in Hexagonal Boron Nitride. Phys. Rev. 1966, 146, 543–547. [Google Scholar] [CrossRef]
- Laleyan, D.A.; Mengle, K.; Zhao, S.; Wang, Y.; Kioupakis, E.; Mi, Z. Effect of growth temperature on the structural and optical properties of few-layer hexagonal boron nitride by molecular beam epitaxy. Opt. Express 2018, 26, 23031. [Google Scholar] [CrossRef] [PubMed]
- Rousseau, A.; Valvin, P.; Desrat, W.; Xue, L.; Li, J.; Edgar, J.H.; Cassabois, G.; Gil, B. Bernal Boron Nitride Crystals Identified by Deep-Ultraviolet Cryomicroscopy. ACS Nano 2022, 16, 2756–2761. [Google Scholar] [CrossRef] [PubMed]




| Method | a [Å] | c [Å] | [eV] | E [eV] |
|---|---|---|---|---|
| -BN (AA) | ||||
| without vdW | 2.514 | 5.059 | 7.064 | 4.12 (indirect, K–) |
| with vdW | 2.511 | 3.383 | 7.181 | 4.63 (indirect, K–) |
| lit. theory | 2.476 [2] | 3.476 [2] | – | – |
| -BN () | ||||
| without vdW | 2.515 | 9.136 | 7.065 | 4.25 (indirect, K–) |
| with vdW | 2.512 | 6.179 | 7.205 | 4.10 (indirect, K–M) |
| lit. theory | 2.478 [2] | 6.354 [2] | 7.055 [15] | 4.25 [3] |
| lit. exp. | 2.503 [2] | 6.661 [2] | – | 5.97 [3] |
| -BN (ABC) | ||||
| without vdW | 2.515 | 13.743 | 7.065 | 4.24 (indirect, K–) |
| with vdW | 2.511 | 9.168 | 7.207 | 3.94 (indirect, K–M) |
| lit. theory | 2.476 [2] | 9.679 [2] | – | 4.21 [3] |
| lit. exp. | 2.504 [2] | 10.008 [2] | – | 5.7 [3] |
| -BN (AB) | ||||
| without vdW | 2.514 | 9.229 | 7.065 | 4.11 (indirect, K–) |
| with vdW | 2.511 | 6.117 | 7.207 | 3.98 (direct, K–K) |
| lit. theory | 2.477 [2] | 6.319 [2] | – | – |
| e-BN | h-BN | r-BN | b-BN | ||||
|---|---|---|---|---|---|---|---|
| Freq.(no → vdW) | Mode | Freq. (no → vdW) | Mode | Freq. (no → vdW) | Mode | Freq. (no → vdW) | Mode |
| 783 → 757.2 | (I) | ≈0 → 39.6 | (R) | 752.5 → 717.4 | (I + R) | 48.5 | (I + R) |
| 1343.5 → 1352.5 | (I + R) | 52.9 → 182.8 | (S) | 1384.5 → 1395.8 | E (I + R) | 55.2 → 180.0 | (I) |
| 781.1 → 723.0 | (I) | 781.6 → 732.0 | (I) | ||||
| 803.0 → 792.1 | (S) | 803.0 → 793.9 | (I) | ||||
| 1341.6 → 1349.3 | (I) | 1343.6 → 1351.9 | (I + R) | ||||
| 1341.6 → 1350.3 | (R) | 1343.6 → 1358.7 | (I + R) | ||||
| e-BN | h-BN | r-BN | b-BN | ||||
|---|---|---|---|---|---|---|---|
| Freq. | Mode | Freq. | Mode | Freq. | Mode | Freq. | Mode |
| 737.8 | (I) | 86.7 | (R) | 695.8 | (I + R) | 92.4 | (I + R) |
| 1420.9 | (I + R) | 242.6 | (S) | 1418.5 | E (I + R) | 247.2 | (I) |
| 673.5 | (I) | 697.9 | (I) | ||||
| 789.0 | (S) | 793.1 | (I) | ||||
| 1412.5 | (I) | 1416.9 | (I + R) | ||||
| 1415.5 | (R) | 1428.1 | (I + R) | ||||
| e-BN | h-BN | r-BN | b-BN | ||||||||
|---|---|---|---|---|---|---|---|---|---|---|---|
| Freq. | IR | Raman | Freq. | IR | Raman | Freq. | IR | Raman | Freq. | IR | Raman |
| 737.8 (TO) | 0.07 | 86.7 | 0.00 | 695.8 (TO) | 0.15 | 0.06 | 92.4 (TO) | 0.00 | 0.00 | ||
| 797.2 (LO) | 0.07 | 242.6 | 804.2 (LO) | 0.15 | 0.06 | 92.6 (LO) | 0.00 | 0.00 | |||
| 1420.9 (TO) | 0.98 | 1.00 | 673.5 (TO) | 0.19 | 1418.5 (TO) | 0.97 | 0.85 | 247.2 (TO) | 0.00 | ||
| 1642.9 (LO) | 0.98 | 1.00 | 806.6 (LO) | 0.19 | 1647.3 (LO) | 0.97 | 0.84 | 249.3 (LO) | 0.00 | ||
| 788.5 | 697.9 (TO) | 0.14 | |||||||||
| 1412.5 (TO) | 1.00 | 803.5 (LO) | 0.14 | ||||||||
| 1650.5 (LO) | 1.00 | 793.1 (TO) | 0.00 | ||||||||
| 1415.5 | 0.83 | 793.1 (LO) | 0.00 | ||||||||
| 1416.9 (TO) | 0.86 | 0.76 | |||||||||
| 1426.7 (LO) | 0.00 | 0.00 | |||||||||
| 1428.1 (TO) | 0.23 | 0.12 | |||||||||
| 1647.0 (LO) | 0.98 | 0.88 | |||||||||
| Polytype | Mode (Sym.) | Experiment | This Work | () | (%) | Source |
|---|---|---|---|---|---|---|
| h-BN | (R) | 1366 | 1415.5 | +49.5 | +3.6 | [17] |
| h-BN | (IR, TO) | 670 | 673.5 | +3.5 | +0.5 | [17] |
| h-BN | (IR, LO) | 810 | 806.6 | [17] | ||
| r-BN | E (R/IR) | 1365–1370 | 1418.5 | +48.5–53.5 | +3.5–3.9 | [2,3] |
| b-BN | (diagnostic, PL) | 6.035 eV | – | – | – | [19] |
| Polytype | Mode | () | (%) | ||
|---|---|---|---|---|---|
| High-frequency in-plane modes | |||||
| e-BN | (I + R) | 1352.5 | 1420.9 | +68.4 | +5.1 |
| h-BN | (R) | 1350.3 | 1415.5 | +65.2 | +4.8 |
| r-BN | E (I + R) | 1395.8 | 1418.5 | +22.7 | +1.6 |
| b-BN | (I + R) | 1358.7 | 1416.9 | +58.2 | +4.3 |
| Mid-frequency out-of-plane modes | |||||
| e-BN | (I) | 757.2 | 737.8 | ||
| h-BN | (I) | 723.0 | 673.5 | ||
| r-BN | (I + R) | 717.4 | 695.8 | ||
| b-BN | (I) | 732.0 | 697.9 | ||
Disclaimer/Publisher’s Note: The statements, opinions and data contained in all publications are solely those of the individual author(s) and contributor(s) and not of MDPI and/or the editor(s). MDPI and/or the editor(s) disclaim responsibility for any injury to people or property resulting from any ideas, methods, instructions or products referred to in the content. |
© 2025 by the authors. Licensee MDPI, Basel, Switzerland. This article is an open access article distributed under the terms and conditions of the Creative Commons Attribution (CC BY) license (https://creativecommons.org/licenses/by/4.0/).
Share and Cite
Mishra, P.; Gonzalez Szwacki, N. Raman and Infrared Signatures of Layered Boron Nitride Polytypes: A First-Principles Study. Nanomaterials 2025, 15, 1567. https://doi.org/10.3390/nano15201567
Mishra P, Gonzalez Szwacki N. Raman and Infrared Signatures of Layered Boron Nitride Polytypes: A First-Principles Study. Nanomaterials. 2025; 15(20):1567. https://doi.org/10.3390/nano15201567
Chicago/Turabian StyleMishra, Priyanka, and Nevill Gonzalez Szwacki. 2025. "Raman and Infrared Signatures of Layered Boron Nitride Polytypes: A First-Principles Study" Nanomaterials 15, no. 20: 1567. https://doi.org/10.3390/nano15201567
APA StyleMishra, P., & Gonzalez Szwacki, N. (2025). Raman and Infrared Signatures of Layered Boron Nitride Polytypes: A First-Principles Study. Nanomaterials, 15(20), 1567. https://doi.org/10.3390/nano15201567

