Recent Advances in Magnetic Two-Dimensional van der Waals Heterostructures: Synthesis, Properties, and Spintronic Applications: A Review
Abstract
1. Introduction
2. Intrinsic Properties of 2D Magnetic Materials
2.1. Cr2Ge2Te6 (CGT)
2.2. Fe3GaTe2 (F3GT)
2.3. Fe5GeTe2 (F5GT)
2.4. CrTe2
2.5. Graphene
2.6. Mn3Si2Te6 (MST)
2.7. CrI3
3. Synthesis Techniques for 2D Magnetic Materials
3.1. Chemical Vapor Deposition
3.2. Micromechanical Exfoliation and Transfer Techniques
3.2.1. Dry Transfer
3.2.2. Wet Transfer
3.3. Molecular Beam Epitaxy
4. Electronic and Magnetic Structure
4.1. Electronic Band Structures
4.1.1. Dirac-like and Weyl Fermions
4.1.2. Flat Bands
4.1.3. Spin-Polarized Bands
4.2. Density of States
4.2.1. Van Hove Singularities
4.2.2. Spin-Dependent Density of States
4.2.3. Magnetic Proximity Effects in Graphene
5. Transport Studies in 2D Spintronic Device Applications
5.1. Magnetic Anisotropy
5.2. Giant Magnetoresistance (GMR)
5.3. Quantum Anomalous Hall Effect (QAHE)
5.4. Spin–Orbit Torque (SOT)
5.5. Exchange Bias (EB)
5.6. Tunneling Magnetoresistance (TMR)
5.7. Skyrmions
6. Conclusions and Outlook
6.1. Critical Challenges for 2D Magnetic vdW Heterostructures
- 1.
- RoomTemperature Quantum Transport in vdW Systems. While F5GT and CrTe2 exhibit ferromagnetism above 300 K, quantum transport phenomena—including GMR, EB, QAHE, SOT, and TMR—remain largely confined to cryogenic temperatures. Achieving room temperature operation requires (i) enhanced magnetic exchange through vdW interface coupling; (ii) understanding temperature-dependent SOC evolution in layered magnets; and (iii) exploiting flat bands in twisted heterostructures to stabilize correlation-driven magnetism—fundamental condensed matter physics questions with direct technological implications.
- 2.
- Scalable Synthesis of 2D Magnetic Heterostructures. Current demonstrations use mechanically exfoliated flakes (<100 μm). Wafer-scale integration demands (i) CVD/MBE protocols for monolayer uniformity and controlled stoichiometry; (ii) eliminating defects that degrade magnetoresistance in vdW junctions; (iii) air-stable passivation preserving magnetic properties; and (iv) deterministic stacking for precise interlayer registry control.
- 3.
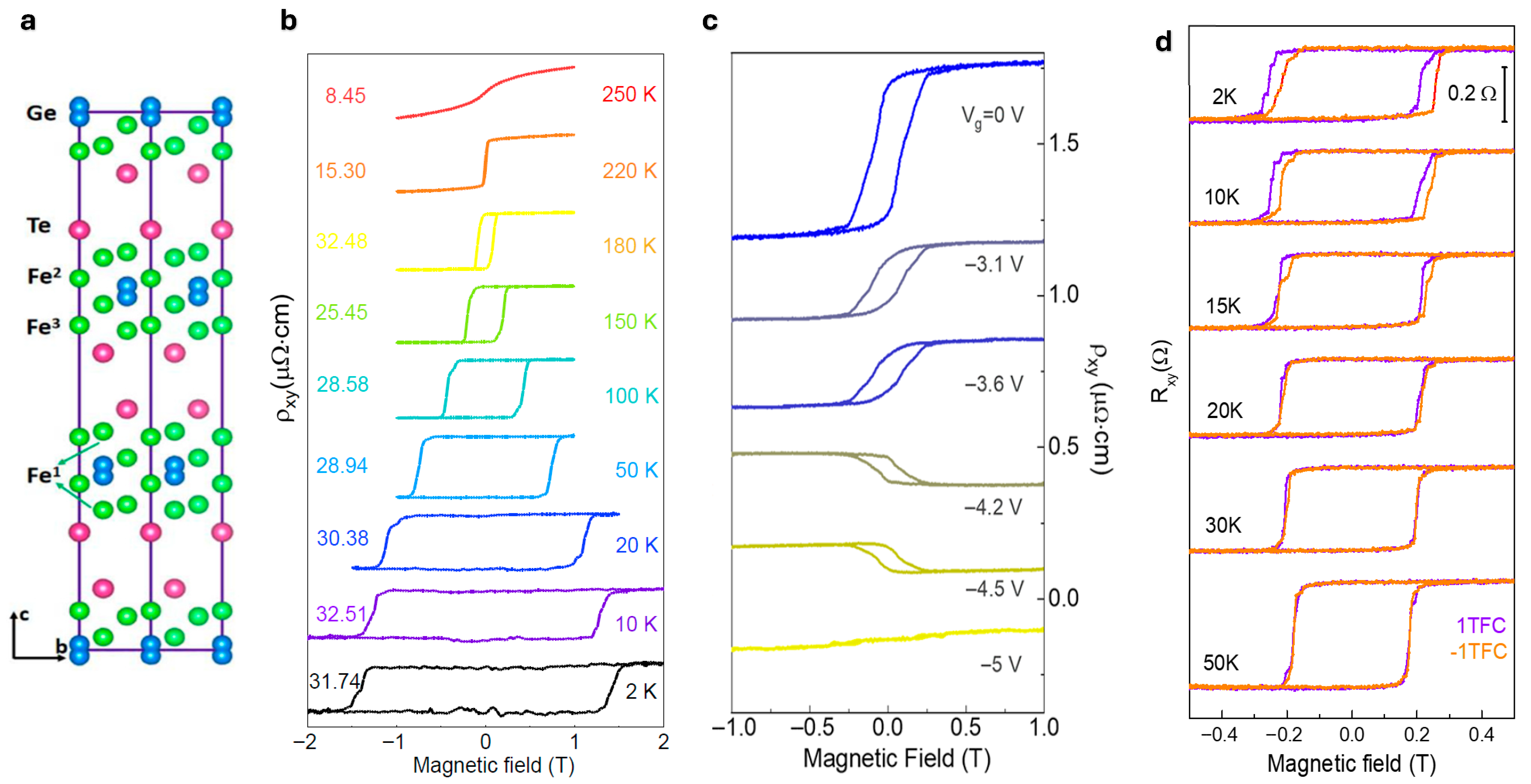
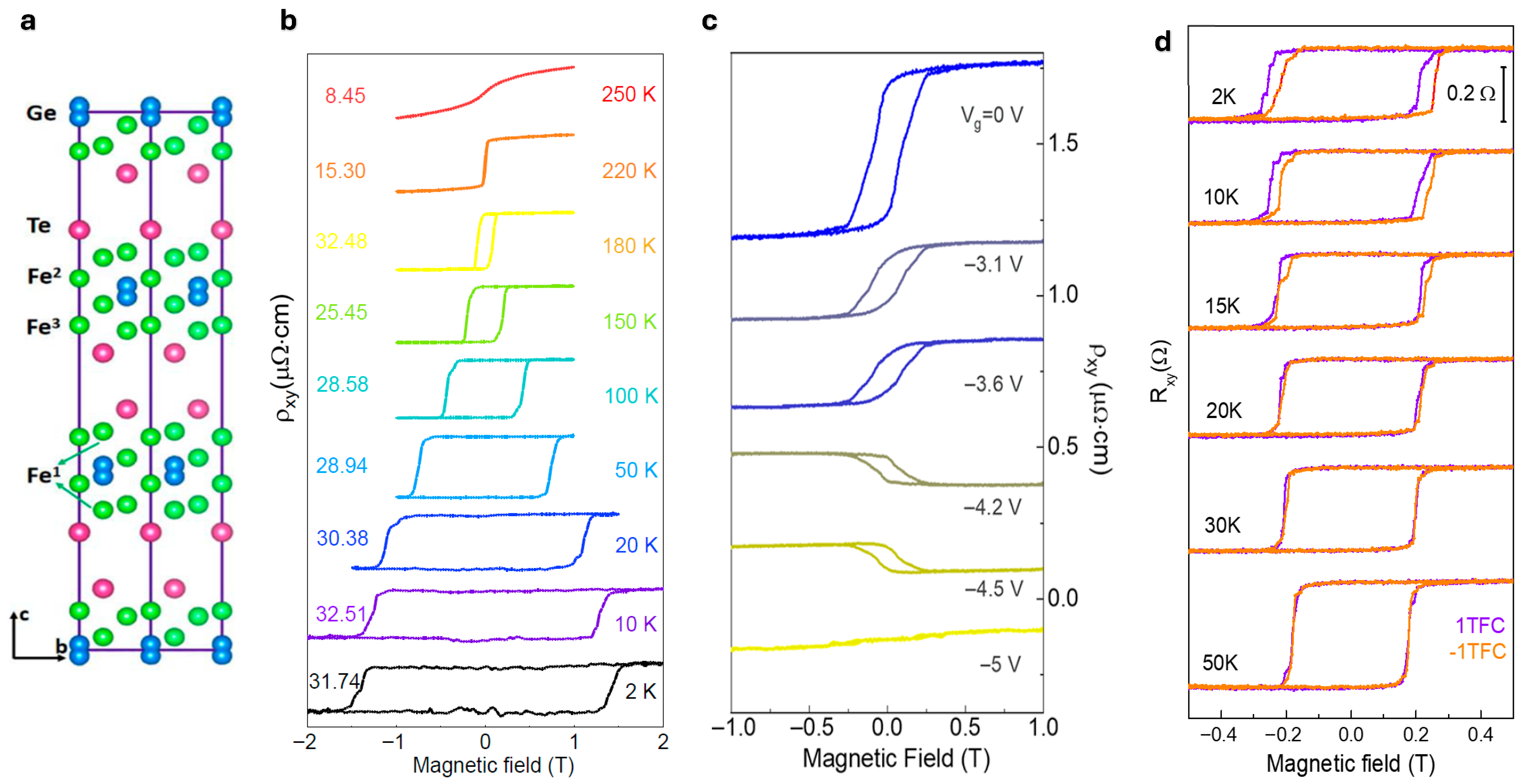
- Protonic Gating and Exchange Bias Control in vdW Heterostructures. Solid-state protonic gates have enabled TC enhancement (F3GT: 220→300 K) and FM↔AFM transitions (F5GT), revealing rich physics of ionic intercalation effects on magnetic ordering:
- (i)
- Protonic Intercalation in vdW Gaps: Understanding proton diffusion pathways, intercalation-induced effects on magnetic exchange interactions, cycling endurance limits, and kinetics constraining switching speeds covers fundamental questions in electrochemistry and magnetism coupling.
- (ii)
- EB at vdW Interfaces: EB in AFM/FM heterostructures shows remarkable tunability (30→111 mT via compression in FePSe3/F3GT; 1.4 kOe via gating in F3GT/Ox-F3GT). Predictive understanding requires quantifying interfacial anisotropy–EB relationships from first principles, understanding charge-transfer effects on uncompensated spins, establishing thickness scaling laws for blocking temperatures, and achieving an electrically programmable EB directionality.
- (iii)
- Stacking-Angle Effects on Interlayer Coupling: The crystal orientation in vdW heterostructures modulates exchange interactions through moiré periodicity and orbital overlap. Critical condensed matter physics questions include systematic mapping of EB versus twist angles, understanding competing FM/AFM coupling mechanisms, and exploiting crystallographic symmetry for voltage-controlled magnetism without external fields.
- 4.
- VdW Heterostructure Integration with Electronics Practical spintronic devices require
- (i)
- Low-resistance contact to 2D ferromagnets without degrading vdW interfaces.
- (ii)
- Selective-area growth or transfer onto patterned substrates.
- (iii)
- Multi-terminal spin logic with cascadability.
- (iv)
- Thermal budget compatibility (<400 °C) while maintaining magnetic functionality.
6.2. Outlook: Fundamental Physics and Technological Promise
Funding
Data Availability Statement
Conflicts of Interest
Abbreviations
| 2D | two-dimensional |
| vdW | van der Waals |
| CGT | Cr2Ge2Te6 |
| F3GT | Fe3GaTe2 |
| F5GT | Fe5GeTe2 |
| MST | Mn3Si2Te6 |
| 3D | three-dimensional |
| 1D | one-dimensional |
| TC | Curie temperature |
| TN | Néel temperature |
| h-BN | hexagonal boron nitride |
| SOC | spin–orbit coupling |
| QAHE | quantum anomalous Hall effect |
| AHE | anomalous Hall effect |
| TI | Topological Insulator |
| Fe | iron |
| Ge | germanium |
| Te | tellurium |
| EB | exchange bias |
| AFM | antiferromagnetic |
| FM | ferromagnetic |
| Vg | gate voltages |
| Rxy | anomalous Hall resistance |
| ρxy | anomalous Hall resistivity |
| μ0H | magnetic fields |
| CVD | chemical vapor deposition |
| MBE | molecular beam epitaxy |
| CDW | Charge Density Wave |
| SOT | Spin–Orbit Torque |
| TMR | Tunneling Magnetoresistance |
| GMR | Giant Magnetoresistance |
| DMI | Dzyaloshinskii–Moriya interaction |
| DOS | Density of States |
| RHEED | reflection high-energy electron diffraction |
| MRAM | magnetoresistive random-access memory |
| UHV | ultra-high vacuum |
References
- Geim, A.; Grigorieva, I. Van der Waals heterostructures. Nature 2013, 499, 419–425. [Google Scholar] [CrossRef]
- Liu, Y.; Weiss, N.O.; Duan, X.; Cheng, H.C.; Huang, Y.; Duan, X. Van der Waals heterostructures and devices. Nat. Rev. Mater. 2016, 1, 16042. [Google Scholar] [CrossRef]
- Roy, S.; Zhang, X.; Puthirath, A.B.; Meiyazhagan, A.; Bhattacharyya, S.; Rahman, M.M.; Babu, G.; Susarla, S.; Saju, S.K.; Tran, M.K.; et al. Structure, Properties and Applications of Two-Dimensional Hexagonal Boron Nitride. Adv. Mater. 2021, 33, 2101589. [Google Scholar] [CrossRef]
- Choudhuri, I.; Bhauriyal, P.; Pathak, B. Recent Advances in Graphene-like 2D Materials for Spintronics Applications. Chem. Mater. 2019, 31, 8260–8285. [Google Scholar] [CrossRef]
- Fert, A.; Reyren, N.; Cros, V. Magnetic skyrmions: Advances in physics and potential applications. Nat. Rev. Mater. 2017, 2, 17031. [Google Scholar] [CrossRef]
- Gibertini, M.; Koperski, M.; Morpurgo, A.F.; Novoselov, K.S. Magnetic 2D materials and heterostructures. Nat. Nanotechnol. 2019, 14, 408–419. [Google Scholar] [CrossRef] [PubMed]
- Burch, K.S.; Mandrus, D.; Park, J.G. Magnetism in two-dimensional van der Waals materials. Nature 2018, 563, 47–52. [Google Scholar] [CrossRef]
- Rezende, M. Magnetism, Magnetic Materials, and Devices. Introduction to Electronic Materials and Devices; Springer: Cham, Switzerland, 2022; pp. 345–419. [Google Scholar]
- Gong, C.; Li, L.; Li, Z.; Ji, H.; Stern, A.; Xia, Y.; Cao, T.; Bao, W.; Wang, C.; Wang, Y.; et al. Discovery of intrinsic ferromagnetism in two-dimensional van der Waals crystals. Nature 2017, 546, 265–270. [Google Scholar] [CrossRef]
- Huang, B.; Clark, G.; Navarro-Moratalla, E.; Klein, D.R.; Cheng, R.; Seyler, K.L.; Zhong, D.; Schmidgall, E.; McGuire, M.A.; Cobden, D.H.; et al. Layer-dependent ferromagnetism in a van der Waals crystal down to the monolayer limit. Nature 2017, 546, 270–273. [Google Scholar] [CrossRef]
- Yang, Y.; Li, P.; Wang, W.; Zhang, X. First-principles study on the electronic properties and enhanced ferromagnetism of alkali metals adsorbed monolayer CrI3. Vacuum 2021, 194, 110561. [Google Scholar] [CrossRef]
- Kajale, S.N.; Hanna, J.; Jang, K.; Sarkar, D. Two-dimensional magnetic materials for spintronic applications. Nano Res. 2024, 17, 743–762. [Google Scholar] [CrossRef]
- Jia, Z.; Zhao, M.; Chen, Q.; Tian, Y.; Liu, L.; Zhang, F.; Zhang, D.; Ji, Y.; Camargo, B.; Ye, K.; et al. Spintronic Devices upon 2D Magnetic Materials and Heterojunctions. ACS Nano 2025, 19, 9452–9483. [Google Scholar] [CrossRef] [PubMed]
- Mi, M.; Xiao, H.; Yu, L.; Zhang, Y.; Wang, Y.; Cao, Q.; Wang, Y. Two-dimensional magnetic materials for spintronic devices. Mater. Today Nano 2023, 24, 100408. [Google Scholar] [CrossRef]
- Gong, C.; Zhang, X. Two-dimensional magnetic crystals and emergent heterostructure devices. Science 2019, 363, aav4450. [Google Scholar] [CrossRef] [PubMed]
- Wang, Q.H.; Bedoya-Pinto, A.; Blei, M.; Dismukes, A.H.; Hamo, A.; Jenkins, S.; Koperski, M.; Liu, Y.; Sun, Q.C.; Telford, E.J.; et al. The Magnetic Genome of Two-Dimensional van der Waals Materials. ACS Nano 2022, 16, 6960–7079. [Google Scholar] [CrossRef]
- Elahi, E.; Dastgeer, G.; Nazir, G.; Nisar, S.; Bashir, M.; Akhter Qureshi, H.; Kim, D.K.; Aziz, J.; Aslam, M.; Hussain, K.; et al. A review on two-dimensional (2D) magnetic materials and their potential applications in spintronics and spin-caloritronic. Comput. Mater. Sci. 2022, 213, 111670. [Google Scholar] [CrossRef]
- Liu, P.; Zhang, Y.; Li, K.; Li, Y.; Pu, Y. Recent advances in 2D van der Waals magnets: Detection, modulation, and applications. iScience 2023, 26, 107584. [Google Scholar] [CrossRef]
- Geim, A.K.; Novoselov, K.S. The rise of graphene. Nat. Mater. 2007, 6, 183–191. [Google Scholar] [CrossRef]
- Novoselov, K.; Mishchenko, A.; Carvalho, A.; Castro Neto, A. 2D materials and van der Waals heterostructures. Science 2016, 353, 461–472. [Google Scholar] [CrossRef] [PubMed]
- Novoselov, K.; Geim, A.; Morozov, S.; Jiang, D.; Zhang, Y.; Dubonos, S.; Grigorieva, V.; Firsov, A. Electric field effect in atomically thin carbon films. Science 2004, 306, 666–669. [Google Scholar] [CrossRef]
- Lado, J.L.; Fernández-Rossier, J. On the origin of magnetic anisotropy in two dimensional CrI3. 2D Mater. 2017, 4, 035002. [Google Scholar] [CrossRef]
- Jiang, S.; Li, L.; Wang, Z.; Mak, K.F.; Shan, J. Controlling magnetism in 2D CrI3 by electrostatic doping. Nat. Nanotechnol. 2018, 13, 549–553. [Google Scholar] [CrossRef]
- Fei, Z.; Huang, B.; Malinowski, P.; Wang, W.; Song, T.; Sanchez, J.; Yao, W.; Xiao, D.; Zhu, X.; May, A.F.; et al. Two-dimensional itinerant ferromagnetism in atomically thin Fe3GeTe2. Nat. Mater. 2018, 17, 778–782. [Google Scholar] [CrossRef] [PubMed]
- Mak, K.F.; Shan, J.; Ralph, D.C. Probing and controlling magnetic states in 2D layered magnetic materials. Nat. Rev. Phys. 2019, 1, 646–661. [Google Scholar] [CrossRef]
- Borisov, V.; Kvashnin, Y.O.; Ntallis, N.; Thonig, D.; Thunström, P.; Pereiro, M.; Bergman, A.; Sjöqvist, E.; Delin, A.; Nordström, L.; et al. Heisenberg and anisotropic exchange interactions in magnetic materials with correlated electronic structure and significant spin-orbit coupling. Phys. Rev. B 2021, 103, 174422. [Google Scholar] [CrossRef]
- Sethulakshmi, N.; Mishra, A.; Ajayan, P.M.; Kawazoe, Y.; Roy Ajit, K.; Singh, A.K.; Tiwary, C.S. Magnetism in two-dimensional materials beyond graphene. Nature 2018, 27, 4–9. [Google Scholar] [CrossRef]
- May, A.F.; Calder, S.; Cantoni, C.; Cao, H.; McGuire, M.A. Magnetic structure and phase stability of the van der Waals bonded ferromagnet Fe3-xGeTe2. Phys. Rev. B 2016, 93, 014411. [Google Scholar] [CrossRef]
- Deng, Y.; Yu, Y.; Song, Y.; Zhang, J.; Wang, N.Z.; Sun, Z.; Yi, Y.; Wu, Y.Z.; Wu, S.; Zhu, J.; et al. Gate-tunable room-temperature ferromagnetism in two-dimensional Fe3GeTe2. Nature 2018, 563, 94–99. [Google Scholar] [CrossRef]
- Zheng, G.; Xie, W.-Q.; Albarakati, S.; Algarni, M.; Tan, C.; Wang, Y.; Peng, J.; Partridge, J.; Farrar, L.; Yi, J.; et al. Gate-tuned interlayer coupling in van der Waals ferromagnet Fe3GeTe2 nanoflakes. Phys. Rev. Lett. 2020, 125, 047202. [Google Scholar] [CrossRef]
- Carteaux, V.; Brunet, D.; Ouvrard, G.; Andre, G. Crystallographic, magnetic and electronic structures of a new layered ferromagnetic compound Cr2Ge2Te6. J. Phys. Condens. Matter 1995, 7, 69–87. [Google Scholar] [CrossRef]
- Wang, Z.; Zhang, T.; Ding, M.; Dong, B.; Li, Y.; Chen, M.; Li, X.; Huang, J.; Wang, H.; Zhao, X.; et al. Electric-field control of magnetism in a few-layered van der Waals ferromagnetic semiconductor. Nat. Nanotechnol. 2018, 13, 554–559. [Google Scholar] [CrossRef]
- Lohmann, M.; Su, T.; Niu, B.; Hou, Y.; Alghamdi, M.; Aldosary, M.; Xing, W.; Zhong, J.; Jia, S.; Han, W.; et al. Probing Magnetism in Insulating Cr2Ge2Te6 by Induced Anomalous Hall Effect in Pt. Nano Lett. 2019, 19, 2397–2403. [Google Scholar] [CrossRef]
- Wang, M.; Lei, B.; Zhu, K.; Deng, Y.; Tian, M.; Xiang, Z.; Wu, T.; Chen, X. Hard ferromagnetism in van der Waals Fe3GaTe2 nanoflake down to monolayer. npj 2D Mater. Appl. 2024, 8, 22. [Google Scholar] [CrossRef]
- Tan, C.; Lee, J.; Jung, S.G.; Park, T.; Albarakati, S.; Partridge, J.; Field, M.R.; McCulloch, D.G.; Wang, L.; Lee, C. Hard magnetic properties in nanoflake van der Waals Fe3GeTe2. Nat. Commun. 2018, 9, 1554. [Google Scholar] [CrossRef]
- Wang, C.; Zhu, K.; Ma, Y.; Lu, L.; Hu, T.; Li, L.; Kan, X.; Xiong, Y.; Zhang, Y.; Wang, G.; et al. Magnetism control with enhanced hard magnetic temperature in heterostructures based on the van der Waals magnet Fe5GeTe2. Phys. Rev. B 2023, 108, 094408. [Google Scholar] [CrossRef]
- May, A.F.; Ovchinnikov, D.; Zheng, Q.; Hermann, R.; Calder, S.; Huang, B.; Fei, Z.; Liu, Y.; Xu, X.; Mcguire, M.A. Ferromagnetism Near Room Temperature in the Cleavable van der Waals Crystal Fe5GeTe2. ACS Nano 2019, 13, 4436–4442. [Google Scholar] [CrossRef]
- Chen, Y.; Chen, L. Exchange bias effect in the total two-dimensional van der Waals heterostructures of Fe5−xGeTe2/CrPS4. J. Appl. Phys. 2025, 137, 134305. [Google Scholar] [CrossRef]
- Albarakati, S.; Xie, W.Q.; Tan, C.; Zheng, G.; Algarni, M.; Li, J.; Partridge, J.; Spencer, M.J.S.; Farrar, L.; Xiong, Y.; et al. Electric Control of Exchange Bias Effect in FePS3-Fe5GeTe2van der Waals Heterostructures. Nano Lett. 2022, 22, 6166–6172. [Google Scholar] [CrossRef] [PubMed]
- Tan, C.; Xie, W.; Zheng, G.; Alou, N.; Albarakati, S.; Algarni, M.; Li, J.; Partridge, J.; Culcer, D.; Wang, X.; et al. Gate-Controlled Magnetic Phase Transition in a van der Waals Magnet Fe5GeTe2. ACS Nano lett 2021, 21, 5599–5605. [Google Scholar] [CrossRef] [PubMed]
- Freitas, D.C.; Weht, R.; Sulpice, A.; Remenyi, G.; Strobel, P.; Gay, F.; Marcus, J.; Núñez-Regueiro, M. Ferromagnetism in layered metastable 1T-CrTe2. J. Phys. Condens. Matter 2015, 27, 176002. [Google Scholar] [CrossRef] [PubMed]
- Lasek, K.; Coelho, P.M.; Zberecki, K.; Xin, Y.; Kolekar, S.K.; Li, J.; Batzill, M. Molecular Beam Epitaxy of Transition Metal. ACS Nano 2020, 14, 8473–8484. [Google Scholar] [CrossRef] [PubMed]
- Zhang, X.; Lu, Q.; Liu, W.; Niu, W.; Sun, J.; Cook, J.; Vaninger, M.; Miceli, P.F.; Singh, D.J.; Lian, S.W.; et al. Room-temperature intrinsic ferromagnetism in epitaxial CrTe2 ultrathin films. Nat. Commun. 2021, 12, 2492. [Google Scholar] [CrossRef]
- Sun, X.; Li, W.; Wang, X.; Sui, Q.; Zhang, T.; Wang, Z.; Liu, L.; Feng, S.; Zhong, S.; Wang, H.; et al. Room temperature ferromagnetism in ultra-thin van der Waals. Nano Res. 2020, 13, 3358–3363. [Google Scholar] [CrossRef]
- Purbawati, A.; Coraux, J.; Vogel, J.; Hadj-azzem, A.; Wu, N.; Bendiab, N.; Jegouso, D.; Renard, J.; Marty, L.; Bouchiat, V.; et al. In-like Domain Walls in Thin In-Plane Magnetic Domains and Ne e Flakes of the Room Temperature CrTe2 Van der Waals Ferromagnet. ACS Appl. Mater. Interfaces 2020, 12, 30702–30710. [Google Scholar] [CrossRef] [PubMed]
- Liu, Y.; Kwon, S.; De Coster, G.J.; Lake, R.K.; Neupane, M.R. Structural, electronic, and magnetic properties of CrTe2. Phys. Rev. Mater. 2022, 6, 084004. [Google Scholar] [CrossRef]
- Zhang, X.; Li, P.; Bian, G. Advances in 2D magnetic chromium tellurides: Synthesis, characterization, and spintronic applications. Rep. Prog. Phys. 2025, 88, 086501. [Google Scholar] [CrossRef]
- Meng, L.; Zhou, Z.; Xu, M.; Yang, S.; Si, K.; Liu, L.; Wang, X.; Jiang, H.; Li, B.; Qin, P.; et al. Anomalous thickness dependence of Curie temperature in air-stable two-dimensional ferromagnetic 1T-CrTe2 grown by chemical vapor deposition. Nat. Commun. 2021, 12, 809. [Google Scholar] [CrossRef]
- Crte, F.V.D.W.; Huang, M.; Wang, S.; Wang, Z.; Liu, P.; Xiang, J.; Feng, C.; Wang, X.; Zhang, Z.; Wen, Z.; et al. Colossal Anomalous Hall E ff ect in Ferromagnetic van der Waals CrTe2. ACS Nano 2021, 15, 9759–9763. [Google Scholar] [CrossRef]
- Gao, Z.; Tang, M.; Huang, J.; Chen, J.; Ai, W.; Wu, L.; Dong, X.; Ma, Y. Near room-temperature ferromagnetism in air-stable two-dimensional Cr1−xTe grown by chemical vapor deposition. Nano Res. 2021, 15, 3763–3769. [Google Scholar] [CrossRef]
- Tan, C.; Liao, J.; Zheng, G.; Algarni, M.; Lin, J.; Ma, X.; Mayes, E.L.H.; Field, M.R.; Albarakati, S.; Panahandeh-fard, M.; et al. Room-Temperature Magnetic Phase Transition in an Electrically Tuned van der Waals Ferromagnet. Phys. Rev. Lett. 2023, 131, 166703. [Google Scholar] [CrossRef] [PubMed]
- Chang, C.Z.; Zhang, J.; Feng, X.; Shen, J.; Zhang, Z.; Guo, M.; Li, K.; Ou, Y.; Wei, P.; Wang, L.L.; et al. Experimental observation of the quantum anomalous Hall effect in a magnetic topological Insulator. Science 2013, 340, 167–170. [Google Scholar] [CrossRef]
- Han, W.; Kawakami, R.K.; Gmitra, M.; Fabian, J. Graphene spintronics. Nat. Nanotechnol. 2014, 9, 794–807. [Google Scholar] [CrossRef]
- Serlin, M.; Tschirhart, C.L.; Polshyn, H.; Zhang, Y.; Zhu, J.; Watanabe, K.; Taniguchi, T.; Balents, L.; Young, A.F. Intrinsic quantized anomalous Hall effect in a moiré heterostructure. Science 2020, 903, 900–903. [Google Scholar] [CrossRef]
- Sharpe, A.L.; Fox, E.J.; Barnard, A.W.; Finney, J.; Watanabe, K.; Taniguchi, T.; Kastner, M.A.; Goldhaber-gordon, D. Emergent ferromagnetism near three-quarters filling in twisted bilayer graphene. Science 2019, 608, 605–608. [Google Scholar] [CrossRef]
- Wang, Z.; Gutiérrez-Lezama, I.; Ubrig, N.; Kroner, M.; Gibertini, M.; Taniguchi, T.; Watanabe, K.; Imamoǧlu, A.; Giannini, E.; Morpurgo, A.F. Very large tunneling magnetoresistance in layered magnetic semiconductor CrI3. Nat. Commun. 2018, 9, 2516. [Google Scholar] [CrossRef] [PubMed]
- Hu, G.; Zhu, Y.; Xiang, J.; Yang, T.Y.; Huang, M.; Wang, Z.; Wang, Z.; Liu, P.; Zhang, Y.; Feng, C.; et al. Antisymmetric magnetoresistance in a van der Waals antiferromagnetic/ferromagnetic layered MnPS3/Fe3GeTe2 stacking heterostructure. ACS Nano 2020, 14, 12037–12044. [Google Scholar] [CrossRef] [PubMed]
- Li, X.; Cai, W.; An, J.; Kim, S.; Nah, J.; Yang, D.; Piner, R.; Velamakanni, A.; Jung, I.; Tutuc, E.; et al. Large-area synthesis of high-quality and uniform graphene films on copper foils. Science 2009, 324, 1312–1314. [Google Scholar] [CrossRef]
- Song, T.; Cai, X.; Tu, M.W.Y.; Zhang, X.; Huang, B.; Wilson, N.P.; Seyler, K.L.; Zhu, L.; Taniguchi, T.; Watanabe, K.; et al. Giant tunneling magnetoresistance in spin-filter van der Waals heterostructures. Science 2018, 360, 1214–1218. [Google Scholar] [CrossRef] [PubMed]
- Wang, J.I.J.; Yang, Y.; Chen, Y.A.; Watanabe, K.; Taniguchi, T.; Churchill, H.O.H.; Jarillo-Herrero, P. Electronic transport of encapsulated graphene and WSe2 devices fabricated by pick-up of prepatterned hBN. Nano Lett. 2015, 15, 1898–1903. [Google Scholar] [CrossRef]
- Dean, C.R.; Young, A.F.; Meric, I.; Lee, C.; Wang, L.; Sorgenfrei, S.; Watanabe, K.; Taniguchi, T.; Kim, P.; Shepard, K.L.; et al. Boron nitride substrates for high-quality graphene electronics. Nat. Nanotechnol. 2010, 5, 722–726. [Google Scholar] [CrossRef]
- Yang, H.; Gobbi, M.; Herling, F.; Pham, V.T.; Calavalle, F.; Martín-García, B.; Fert, A.; Hueso, L.E.; Casanova, F. A seamless graphene spin valve based on proximity to van der Waals magnet Cr2Ge2Te6. Nat. Electron. 2025, 8, 15–23. [Google Scholar] [CrossRef]
- Yang, B.; Bhujel, B.; Chica, D.G.; Telford, E.J.; Roy, X.; Ibrahim, F.; Chshiev, M.; Cosset-Chéneau, M.; van Wees, B.J. Electrostatically controlled spin polarization in Graphene-CrSBr magnetic proximity heterostructures. Nat. Commun. 2024, 15, 4459. [Google Scholar] [CrossRef]
- Georgiou, T.; Jalil, R.; Belle, B.D.; Britnell, L.; Gorbachev, R.V.; Morozov, S.V.; Kim, Y.; Gholinia, A.; Haigh, S.J.; Makarovsky, O.; et al. Vertical field-effect transistor based on graphene—WS2 heterostructures for flexible and transparent electronics. Nat. Nanotechnol. 2013, 8, 8–11. [Google Scholar] [CrossRef]
- De Phases, T.; Cedex, G.; Vincent, H. A New Semiconducting Ferrimagnet: A Silicon Manganese Telluride. J. Magn. Magn. Mater. 1981, 25, 7–10. [Google Scholar] [CrossRef]
- Vincent, H.; Leroux, D.; Bijaoui, D. Structure of MnBSi2Tes. J. Phys. Condens. Matter 1986, 352, 349–352. [Google Scholar]
- May, A.F.; Liu, Y.; Calder, S.; Parker, D.S.; Pandey, T.; Cao, H.; Yan, J.; Mcguire, M.A. Magnetic order and interactions in ferrimagnetic Mn3Si2Te6. Phys. Rev. B 2017, 95, 174440. [Google Scholar] [CrossRef]
- Zhang, Y.; Ni, Y.; Schlottmann, P.; Delong, L.E.; Cao, G. Current-sensitive Hall effect in a chiral- orbital-current state. Nat. Commun. 2024, 15, 3579. [Google Scholar] [CrossRef]
- Tan, C.; Deng, M.; Yang, Y.; An, L.; Ge, W.; Albarakati, S.; Panahandeh-fard, M.; Partridge, J.; Culcer, D.; Lei, B.; et al. Electrically Tunable, Rapid Spin—Orbit Torque Induced Modulation of Colossal Magnetoresistance in Mn3Si2Te6 Nanoflakes. Nano Lett. 2024, 24, 4158–4164. [Google Scholar] [CrossRef]
- Guo, G.; Bi, G.; Cai, C. Effects of external magnetic field and out-of-plane strain on magneto-optical Kerr spectra in CrI3 monolayer. J. Phys. Condens. Matter 2018, 30, 285303. [Google Scholar] [CrossRef]
- Klein, D.R.; MacNeill, D.; Lado, J.L.; Soriano, D.; Navarro-Moratalla, E.; Watanabe, K.; Taniguchi, T.; Manni, S.; Canfield, P.; Fernández-Rossier, J.; et al. Probing magnetism in 2D van der Waals crystalline insulators via electron tunneling. Science 2018, 360, 1218–1222. [Google Scholar] [CrossRef]
- Behera, A.K.; Chowdhury, S.; Das, S.R. Magnetic Skyrmions in Atomic Thin CrI3 Monolayer. Appl. Phys. Lett. 2019, 114, 232402. [Google Scholar] [CrossRef]
- Tong, Q.; Liu, F.; Xiao, J.; Yao, W. Skyrmions in the Moiré of van der Waals 2D Magnets. Nano Lett. 2018, 18, 7194–7199. [Google Scholar] [CrossRef] [PubMed]
- Huang, B.; Clark, G.; Klein, D.R.; MacNeill, D.; Navarro-Moratalla, E.; Seyler, K.L.; Wilson, N.; McGuire, M.A.; Cobden, D.H.; Xiao, D.; et al. Electrical control of 2D magnetism in bilayer CrI3. Nat. Nanotechnol. 2018, 13, 544–548. [Google Scholar] [CrossRef]
- Zheng, X.; Hao, B.; Tang, L.; Li, H.; Tian, J.; Kang, C.; Han, Y.; Wang, K. Proximity-induced ferromagnetism of platinum thin film on magnetic insulating CrI3 nanoflakes. Appl. Surf. Sci. 2025, 680, 161394. [Google Scholar] [CrossRef]
- Jiang, S.; Shan, J.; Mak, K.F. Electric-field switching of two-dimensional van der Waals magnets. Nat. Mater. 2018, 17, 406–410. [Google Scholar] [CrossRef]
- Yao, F.; Multian, V.; Wang, Z.; Ubrig, N.; Teyssier, J.; Wu, F.; Giannini, E.; Gibertini, M.; Gutiérrez-lezama, I.; Morpurgo, A.F. Multiple antiferromagnetic phases and magnetic anisotropy in exfoliated CrBr3 multilayers. Nat. Commun. 2023, 14, 4969. [Google Scholar] [CrossRef]
- Ghazaryan, D.; Greenaway, M.T.; Wang, Z.; Yin, J.; Liao, Y.; Morozov, S.V.; Kristanovski, O.; Lichtenstein, A.I.; Katsnelson, M.I.; Withers, F.; et al. Magnon-assisted tunnelling in van der Waals heterostructures based on CrBr3. Nat. Electron. 2018, 1, 344–349. [Google Scholar] [CrossRef]
- Deng, Y.; Xiang, Z.; Lei, B.; Zhu, K.; Mu, H.; Zhuo, W.; Hua, X.; Wang, M.; Wang, Z.; Wang, G.; et al. Layer-Number-Dependent Magnetism and Anomalous Hall Effect in van der Waals Ferromagnet Fe5GeTe2. Nano Lett. 2022, 22, 9839–9846. [Google Scholar] [CrossRef]
- Kim, K.S.; Zhao, Y.; Jang, H.; Lee, S.Y.; Kim, J.M.; Kim, K.S.; Ahn, J.; Kim, P.; Choi, J.; Hong, B.H. Large-scale pattern growth of graphene films for stretchable transparent electrodes. Nature 2008, 457, 706–710. [Google Scholar] [CrossRef] [PubMed]
- Novoselov, K.; Jiang, D.; Schedin, F.; Booth, T.; Khotkevich, V.; Morozov, S.; Geim, A. Two-dimensional atomic crystals. Proc. Natl. Acad. Sci. USA 2005, 102, 10451–10453. [Google Scholar] [CrossRef] [PubMed]
- Huang, Y.; Sutter, E.; Shi, N.N.; Zheng, J.; Yang, T.; Englund, D.; Gao, H.J.; Sutter, P. Reliable Exfoliation of Large-Area High-Quality Flakes of Graphene and Other Two-Dimensional Materials. ACS Nano 2015, 9, 10612–10620. [Google Scholar] [CrossRef] [PubMed]
- Li, D.; Wang, M.; Li, D.; Zhou, J. Switchable in-plane anomalous Hall effect by magnetization orientation in monolayer Mn3Si2Te6. Phys. Rev. B 2024, 109, 155153. [Google Scholar] [CrossRef]
- Long, F.; Ghorbani-asl, M.; Mosina, K.; Li, Y.; Lin, K.; Ganss, F.; Sofer, Z.; Dirnberger, F.; Kamra, A.; Krasheninnikov, A.V.; et al. Ferromagnetic Interlayer Coupling in CrSBr Crystals Irradiated by Ions. Nano Lett. 2023, 23, 8468–8473. [Google Scholar] [CrossRef] [PubMed]
- Lee, K.; Dismukes, A.H.; Telford, E.J.; Wiscons, R.A.; Wang, J.; Xu, X.; Nuckolls, C.; Dean, C.R.; Roy, X.; Zhu, X. Magnetic Order and Symmetry in the 2D Semiconductor CrSBr. Nano Lett. 2021, 21, 3511–3517. [Google Scholar] [CrossRef]
- Gisser, O.; Paul, W.; Kahle, H.G. Magnetic properties of CrSBr. J. Magn. Magn. Mater. 1990, 92, 129–136. [Google Scholar] [CrossRef]
- Park, C.; Park, J.; Cheong, H. Ising-Type Magnetic Ordering in Atomically Thin FePS3. Nano Lett. 2016, 16, 7433–7438. [Google Scholar] [CrossRef]
- Du, K.; Wang, X.; Liu, Y.; Hu, P.; Utama, I.B.; Gan, C.K.; Xiong, Q.; Kloc, C. Weak Van der Waals Stacking, Wide-Range Band Gap, and Raman Study on Ultrathin Layers of Metal Phosphorus Trichalcogenides. ACS Nano 2016, 10, 1738–1743. [Google Scholar] [CrossRef]
- Giri, A.; De, C.; Kumar, M.; Pal, M.; Lee, H.H.; Kim, J.S.; Cheong, S.; Jeong, U. Large-Area Epitaxial Film Growth of van der Waals Ferromagnetic Ternary Chalcogenides. Adv. Mater. 2021, 33, e2103609. [Google Scholar] [CrossRef]
- Spear, K.E. Principles and applications of chemical vapor deposition (CVD). Pure Appl. Chem. 1982, 54, 1297–1311. [Google Scholar] [CrossRef]
- Zhang, Y.; Yao, Y.; Sendeku, M.G.; Yin, L.; Zhan, X.; Wang, F. Recent Progress in CVD Growth of 2D Transition Metal Dichalcogenides and Related Heterostructures. Adv. Mater. 2019, 31, 1901694. [Google Scholar] [CrossRef]
- Och, M.; Martin, M.; Dlubak, B.; Mattevi, C.; Martin, M.; Martin, M. Nanoscale Synthesis of emerging 2D layered magnetic materials. Nanoscale 2021, 13, 2157–2180. [Google Scholar] [CrossRef]
- Sun, B.; Pang, J.; Cheng, Q.; Zhang, S.; Li, Y.; Zhang, C.; Sun, D.; Ibarlucea, B.; Li, Y.; Chen, D.; et al. Synthesis of Wafer-Scale Graphene with Chemical Vapor Deposition for Electronic Device Applications. Adv. Mater. Technol. 2021, 6, 2000744. [Google Scholar] [CrossRef]
- Martin, M.; Dlubak, B.; Weatherup, R.S.; Yang, H.; Deranlot, C.; Anane, A.; Hofmann, S.; Robertson, J.; Bouzehouane, K.; Al, M.E.T. Sub-nanometer Atomic Layer Deposition for Spintronics in Magnetic Tunnel Junctions Based on Graphene Spin-Filtering Membranes. ACS Nano 2014, 8, 7890–7895. [Google Scholar] [CrossRef]
- Lee, Y.; Zhang, X.; Zhang, W.; Chang, M.; Lin, C.; Yu, Y.; Wang, J.T.; Chang, C.; Li, L.; Lin, T. Synthesis of Large-Area MoS2 Atomic Layers with Chemical Vapor Deposition. Adv. Mater. 2012, 2, 2320–2325. [Google Scholar] [CrossRef]
- Der Waals, V.; Gomez, A.C.; Quereda, J.; Qian, Q.; Sutter, E.; Sutter, P. Van der Waals heterostructures. Nat. Rev. Methods Prim. 2022, 2, 1891442. [Google Scholar] [CrossRef]
- Novoselov, K.S.; Castro Neto, A.H. Two-dimensional crystals-based heterostructures: Materials with tailored properties. Phys. Scr. 2012, 2012, 014006. [Google Scholar] [CrossRef]
- Jariwala, D.; Marks, T.J.; Hersam, M.C. Mixed-dimensional van der Waals heterostructures. Nat. Mater. 2017, 16, 170–181. [Google Scholar] [CrossRef] [PubMed]
- Serles, P.; Kumral, B.; Kumral, B. Exfoliation mechanisms of 2D materials and their applications Exfoliation mechanisms of 2D materials and their applications. Appl. Phys. Rev. 2022, 9, 041301. [Google Scholar] [CrossRef]
- Rahman, S.; Torres, J.F.; Khan, A.R.; Lu, Y. Recent Developments in van der Waals Antiferromagnetic 2D Materials: Synthesis, Characterization, and Device Implementation. ACS Appl. Mater. Interfaces 2021, 15, 17175–17213. [Google Scholar] [CrossRef]
- Castellanos-Gomez, A.; Vicarelli, L.; Prada, E.; Gacem, K.; Boukhicha, M.; Chen, Z.; Uwanno, T.; Hattori, Y.; Taniguchi, T.; Ferraz Da Costa, M.C.; et al. Deterministic transfer of two-dimensional materials by all-dry viscoelastic stamping. 2D Mater. 2014, 1, 011002. [Google Scholar] [CrossRef]
- Pizzocchero, F.; Gammelgaard, L.; Jessen, B.S.; Caridad, J.M.; Wang, L.; Hone, J.; Bøggild, P.; Booth, T.J. The hot pick-up technique for batch assembly of van der Waals heterostructures. Nat. Commun. 2016, 7, 11894. [Google Scholar] [CrossRef]
- Son, J.; Kwon, J.; Kim, S.P.; Lv, Y.; Yu, J.; Lee, J.Y.; Ryu, H.; Watanabe, K.; Taniguchi, T.; Garrido-Menacho, R.; et al. Atomically precise graphene etch stops for three dimensional integrated systems from two dimensional material heterostructures. Nat. Commun. 2018, 9, 3988. [Google Scholar] [CrossRef] [PubMed]
- Lee, J.H.; Avsar, A.; Jung, J.; Tan, J.Y.; Watanabe, K.; Taniguchi, T.; Natarajan, S.; Eda, G.; Adam, S.; Castro Neto, A.H.; et al. Van der Waals force: A dominant factor for reactivity of graphene. Nano Lett. 2015, 15, 319–325. [Google Scholar] [CrossRef]
- Yi, M.; Shen, Z. A review on mechanical exfoliation for scalable production of graphene. J. Mater. Chem. A 2015, 3, 11700–11715. [Google Scholar] [CrossRef]
- Kim, S.; Shin, S.; Kim, T.; Du, H.; Song, M.; Lee, C.W.; Kim, K.; Cho, S.; Seo, D.H.; Seo, S. Robust graphene wet transfer process through low molecular weight polymethylmethacrylate. Elsevier Carbon. 2016, 98, 352–357. [Google Scholar] [CrossRef]
- Gao, L.; Ni, G.X.; Liu, Y.; Liu, B.; Castro Neto, A.H.; Loh, K.P. Face-to-face transfer of wafer-scale graphene films. Nature 2014, 505, 190–194. [Google Scholar] [CrossRef]
- Regan, W.; Alem, N.; Alemán, B.; Geng, B.; Girit, Ç.; Maserati, L.; Wang, F.; Crommie, M.; Zettl, A. A direct transfer of layer-area graphene. Appl. Phys. Lett. 2010, 96, 2008–2011. [Google Scholar] [CrossRef]
- Zhou, J.; Lin, Z.; Ren, H.; Duan, X.; Shakir, I.; Huang, Y. Layered Intercalation Materials. Adv. Mater. 2021, 33, 2004557. [Google Scholar] [CrossRef]
- De Fazio, D.; Purdie, D.G.; Ott, A.K.; Khodkov, T.; Goossens, S.; Taniguchi, T.; Watanabe, K.; Livreri, P.; Koppens, F.H.L.; Hofmann, S.; et al. High-mobility, wet-transferred graphene grown by chemical vapor deposition. ACS Nano 2019, 13, 8926–8935. [Google Scholar] [CrossRef]
- Nakano, M.; Wang, Y.; Kashiwabara, Y.; Matsuoka, H.; Iwasa, Y. Layer-by-Layer Epitaxial Growth of Scalable WSe 2 on Sapphire by Molecular Beam Epitaxy. Nano Lett. 2017, 17, 5595–5599. [Google Scholar] [CrossRef] [PubMed]
- Liu, S.; Yuan, X.; Zou, Y.; Sheng, Y.; Huang, C.; Zhang, E.; Ling, J.; Liu, Y.; Wang, W. Wafer-scale two-dimensional ferromagnetic Fe3GeTe2 thin films grown by molecular beam epitaxy. npj 2D Mater. Appl. 2017, 2017, 30. [Google Scholar] [CrossRef]
- Nakhaie, S.; Wofford, J.M.; Schumann, T.; Jahn, U.; Ramsteiner, M.; Hanke, M.; Lopes, J.M.J.; Riechert, H. Synthesis of atomically thin hexagonal boron nitride films on nickel foils by molecular beam epitaxy. Appl. Phys. Lett. 2015, 106, 213108. [Google Scholar] [CrossRef]
- Tian, T.; Shih, C. Molecular Epitaxy on Two-Dimensional Materials: The Interplay between Interactions. Ind. Eng. Chem. Res. 2017, 56, 10552–10581. [Google Scholar] [CrossRef]
- Singh, D.K.; Gupta, G. van der Waals epitaxy of transition metal dichalcogenides via molecular beam epitaxy: Looking back and moving forward. Mater Adv. 2022, 3, 6142–6156. [Google Scholar] [CrossRef]
- Properties, M. Atomically Thin 2D van der Waals Magnetic Materials: Fabrications, Structure, Magnetic Properties and Applications. Coatings 2022, 12, 122. [Google Scholar] [CrossRef]
- Xing, S.; Zhou, J.; Zhang, X.; Elliott, S.; Sun, Z. Theory, properties and engineering of 2D magnetic materials. Prog. Mater. Sci. 2023, 132, 101036. [Google Scholar] [CrossRef]
- Lungu, I.I.; Grumezescu, A.M.; Fleaca, C. Unexpected ferromagnetism—A review. Appl. Sci. 2021, 11, 6707. [Google Scholar] [CrossRef]
- Liu, Y.; Zeng, C.; Zhong, J.; Ding, J.; Wang, Z.M.; Liu, Z. Spintronics in Two-Dimensional Materials. Nano-Micro Lett. 2020, 12, 93. [Google Scholar] [CrossRef]
- Zhang, C. Topological Spin Textures in Emerging Layered Magnets. Ph.D. Thesis, King Abdullah University of Science and Technology, Thuwal, Saudi Arabia, 2022. [Google Scholar]
- Shao, Z.; Liang, J.; Cui, Q.; Chshiev, M.; Fert, A.; Zhou, T.; Yang, H. Multiferroic materials based on transition-metal dichalcogenides: Potential platform for reversible control of Dzyaloshinskii-Moriya interaction and skyrmion via electric field. Phys. Rev. B 2022, 105, 174404. [Google Scholar] [CrossRef]
- Hasan, M.Z.; Chang, G.; Belopolski, I.; Bian, G.; Xu, S.Y.; Yin, J.X. Weyl, Dirac and high-fold chiral fermions in topological quantum matter. Nat. Rev. Mater. 2021, 6, 784–803. [Google Scholar] [CrossRef]
- Balents, L.; Dean, C.R.; Efetov, D.K.; Young, A.F. Moiré Flat Bands. Nat. Phys. 2020, 16, 725–733. [Google Scholar] [CrossRef]
- Cao, Y.; Fatemi, V.; Demir, A.; Fang, S.; Tomarken, S.L.; Luo, J.Y.; Sanchez-yamagishi, J.D.; Watanabe, K.; Taniguchi, T.; Kaxiras, E.; et al. Correlated insulator behaviour at half-filling in magic-angle graphene superlattices. Nat. Lett. 2018, 556, 80–84. [Google Scholar] [CrossRef]
- Chandrasekar, L.B.; Gnanasekar, K.; Karunakaran, M. Superlattices and Microstructures Spintronics—A mini review. Superlattices Microstruct. 2019, 136, 106322. [Google Scholar] [CrossRef]
- Zhang, B.; Lu, P.; Tabrizian, R.; Feng, P.X.-L.; Wu, Y. 2D Magnetic heterostructures: Spintronics and quantum future. npj Spintron. 2024, 2, 6. [Google Scholar] [CrossRef]
- Yuan, N.F.Q.; Fu, L. Model for the metal-insulator transition in graphene superlattices and beyond. Phys. Rev. B 2018, 98, 079901. [Google Scholar] [CrossRef]
- Tateishi, I.; Könye, V.; Matsuura, H.; Ogata, M. Characteristic singular behaviors of nodal-line materials emerging in orbital magnetic susceptibility and Hall conductivity. Phys. Rev. B 2021, 104, 035113. [Google Scholar] [CrossRef]
- Kerelsky, A. Atomic-Scale Spectroscopic Structure of Tunable Flat Bands, Magnetic Defects and Heterointerfaces in Two-Dimensional Systems. Doctoral Thesis, Columbia University, New York, NY, USA, 2020. [Google Scholar]
- Ahn, E.C. 2D materials for spintronic devices. npj 2D Mater. Appl. 2020, 4, 17. [Google Scholar] [CrossRef]
- Akinwande, D.; Huyghebaert, C.; Wang, C.H.; Serna, M.I.; Goossens, S.; Li, L.J.; Wong, H.S.P.; Koppens, F.H.L. Graphene and two-dimensional materials for silicon technology. Nature 2019, 573, 507–518. [Google Scholar] [CrossRef] [PubMed]
- Avsar, A.; Tan, J.Y.; Taychatanapat, T.; Balakrishnan, J.; Koon, G.K.W.; Yeo, Y.; Lahiri, J.; Carvalho, A.; Rodin, A.S.; O’Farrell, E.C.T.; et al. Spin-orbit proximity effect in graphene. Nat. Commun. 2014, 5, 4875. [Google Scholar] [CrossRef]
- Verzhbitskiy, I.A.; Kurebayashi, H.; Cheng, H.; Zhou, J.; Khan, S.; Feng, Y.P.; Eda, G. Controlling the magnetic anisotropy in Cr2Ge2Te6 by electrostatic gating by electrostatic gating. Nat. Electron. 2020, 3, 460–465. [Google Scholar] [CrossRef]
- Park, S.Y.; Kim, D.S.; Liu, Y.; Hwang, J.; Kim, Y.; Kim, W.; Kim, J.; Petrovic, C.; Hwang, C.; Mo, S.; et al. Controlling the Magnetic Anisotropy of the van der Waals Ferromagnet Fe3GeTe2 through Hole Doping. Nano Lett. 2020, 20, 95–100. [Google Scholar] [CrossRef]
- Kim, J.; Kim, K.; Kim, B.; Kang, C.; Shin, D.; Lee, S.; Min, B.; Park, N. Exploitable Magnetic Anisotropy of the Two-Dimensional Magnet. Nano Lett. 2020, 20, 929–935. [Google Scholar] [CrossRef] [PubMed]
- Hou, Y.; Wu, R. Magnetic Anisotropy in 2D van der Waals Magnetic Materials and their Heterostructures: Importance, Mechanisms, and Opportunities. Adv. Funct. Mater 2025, e09453. [Google Scholar] [CrossRef]
- Zhang, G.; Guo, F.; Wu, H.; Wen, X.; Yang, L.; Jin, W.; Zhang, W.; Chang, H. Above-room-temperature strong intrinsic ferromagnetism in 2D van der Waals Fe3GaTe2 with large perpendicular magnetic anisotropy. Nat. Commun. 2022, 13, 5067. [Google Scholar] [CrossRef] [PubMed]
- Review, P. Enhanced magnetoresistance in layered magnetic structures. Phys. Rev. B 1989, 39, 4828–4830. [Google Scholar] [CrossRef]
- Baibich, M.N.; Broto, J.M.; Fert, A.; Van Dau, F.N.; Petroff, F.; Etienne, P.; Creuzet, G.; Friederich, A.; Chazelas, J. Giant Magnetoresistance of (001)Fe/(001)Cr Magnetic Superlattices. Phys. Rev. Lett. 1988, 61, 2472–2475. [Google Scholar] [CrossRef] [PubMed]
- Huang, S.; Zhu, L.; Zhao, Y.; Watanabe, K.; Taniguchi, T.; Xiao, J.; Wang, L.; Mei, J.; Huang, H.; Zhang, F.; et al. Giant magnetoresistance induced by spin- dependent orbital coupling in Fe3GeTe2/graphene heterostructures. Nat. Commun. 2025, 16, 2866. [Google Scholar] [CrossRef]
- Deng, Y.; Yu, Y.; Shi, M.Z.; Guo, Z.; Xu, Z.; Wang, J.; Chen, X.H.; Zhang, Y. Quantum anomalous Hall effect in intrinsic magnetic topological insulator MnBi2Te4. Science 2020, 900, 3–7. [Google Scholar]
- Xu, J.; Phelan, W.A.; Chien, C. Large Anomalous Nernst Effect in a van der Waals Ferromagnet Fe3GeTe2. Nano Lett. 2019, 19, 8250–8254. [Google Scholar] [CrossRef]
- Seifert, P.; Sigger, F.; Kiemle, J.; Watanabe, K.; Kastl, C.; Wurstbauer, U.; Holleitner, A. Photo-induced anomalous Hall effect in the type-II Weyl-semimetal WTe2 at room-temperature. arXiv 2018, arXiv:1810.01510. [Google Scholar]
- Qiao, Z.; Yang, S.A.; Feng, W.; Tse, W.-K.; Ding, J.; Yao, Y.; Wang, J.; Niu, Q. Quantum anomalous Hall effect in graphene from Rashba and exchange effects. Phys. Rev. B 2010, 82, 161414. [Google Scholar] [CrossRef]
- Liu, L.; Pai, C.; Li, Y.; Tseng, H.W.; Ralph, D.C.; Buhrman, R.A. Spin-Torque Switching with the Giant Spin Hall Effect of Tantalum. Science 2012, 336, 555–558. [Google Scholar] [CrossRef]
- Manchon, A. Current-induced spin-orbit torques in ferromagnetic and antiferromagnetic systems. Rev. Mod. Phys. 2019, 91, 035004. [Google Scholar] [CrossRef]
- Gupta, V.; Cham, T.M.; Stiehl, G.M.; Bose, A.; Mittelstaedt, J.A.; Kang, K.; Jiang, S.; Mak, K.F.; Shan, J.; Buhrman, R.A.; et al. Manipulation of the van der Waals Magnet Cr2Ge2Te6 by Spin–Orbit Torques. Nano Lett. 2020, 20, 7482–7488. [Google Scholar] [CrossRef]
- Gete, F.F.; Alghamdi, M.; Lohmann, M.; Li, J.; Jothi, P.R.; Shao, Q.; Aldosary, M.; Su, T.; Fokwa, B.P.T.; Shi, J. Highly Efficient Spin—Orbit Torque and Switching of Layered Ferromagnet Fe3GeTe2. Nano Lett. 2019, 19, 4400–4405. [Google Scholar] [CrossRef]
- Macneill, D.; Stiehl, G.M.; Guimaraes, M.H.D.; Buhrman, R.A.; Park, J.; Ralph, D.C. Control of spin–orbit torques through crystal symmetry in WTe2/ferromagnet bilayers. Nature 2017, 13, 300–305. [Google Scholar] [CrossRef]
- Lee, S.; An, S.; Baek, E.; Kim, D.; Cho, J.; You, C.-Y. Electrically switchable ON-OFF spin-orbit torque in gated metallic trilayer. Sci. Adv. 2025, 11, 0457. [Google Scholar] [CrossRef] [PubMed]
- Nogués, J.; Sort, J.; Langlais, V.; Skumryev, V.; Suriñach, S.; Muñoz, J.S.; Baró, M.D. Exchange bias in nanostructures. Phys. Rep. 2005, 422, 65–117. [Google Scholar] [CrossRef]
- Nogués, J.; Schuller, I.K. Exchange bias. J. Magn. Magn. Mater. 1999, 192, 203–232. [Google Scholar] [CrossRef]
- Huang, X.; Zhang, L.; Tong, L.; Li, Z.; Peng, Z.; Branco, D.D.C.; Xu, J.; Han, J. Manipulating exchange bias in 2D magnetic heterojunction for high-performance robust memory applications. Nat. Commun. 2023, 14, 2190. [Google Scholar] [CrossRef] [PubMed]
- Min, T.; Cham, J.; Dorrian, R.J.; Zhang, X.S.; Dismukes, A.H.; Chica, D.G.; May, A.F.; Roy, X.; Muller, D.A.; Ralph, D.C.; et al. Exchange Bias Between van der Waals Materials: Tilted Magnetic States and Field-Free Spin—Orbit-Torque Switching. Adv. Mater. 2024, 36, e2305739. [Google Scholar] [CrossRef]
- Sharma, M.; Avedissian, G.; Skowro, W.; Jo, J.; Chuvilin, A.; Casanova, F.; Gobbi, M.; Hueso, L.E. Gate-Tunable Exchange Bias and Voltage-Controlled Magnetization Switching in a van der Waals Ferromagnet. Adv. Mater. Interfaces 2025, 12, 2400678. [Google Scholar] [CrossRef]
- Fang, J.-Z.; Cui, H.-N.; Wang, S.; Lu, J.-D.; Zhu, G.-Y.; Liu, X.-J.; Qin, M.-S.; Wang, J.-K.; Wu, Z.-N.; Wu, Y.-F.; et al. Exchange bias in the van der Waals heterostructure MnBi2Te4/Cr2Ge2Te6. Phys. Rev. B 2023, 107, L041107. [Google Scholar] [CrossRef]
- S Yuasa and D D Djayaprawira Giant tunnel magnetoresistance in magnetic tunnel junctions with a crystalline MgO(001) barrier. J. Phys. D Appl. Phys. 2007, 40, 337–354. [CrossRef]
- Jin, W.; Zhang, G.; Wu, H.; Yang, L.; Zhang, W.; Chang, H. Room-Temperature and Tunable Tunneling Magnetoresistance in Fe3GaTe2—Based 2D van der Waals Heterojunctions. ACS Appl. Mater. Interfaces 2023, 15, 36519–36526. [Google Scholar] [CrossRef]
- Pan, H.; An, L.; Wang, N.; Duan, R. Room-temperature tunable tunneling magnetoresistance in Fe3GaTe2/WSe2/Fe3GaTe2 van der Waals heterostructures. InfoMat 2024, 6, e12504. [Google Scholar] [CrossRef]
- Masell, J.; Reeve, R.M.; Kläui, M. Perspective: Magnetic skyrmions—Overview of recent progress in an active research field. J. Appl. Phys. 2021, 124, 240901. [Google Scholar] [CrossRef]
- Deng, Y.; Hu, Y.; Hu, X.; Liu, C.; Qin, M.; Shen, X.; Yu, R.; Zhu, Y.; Fu, X. Room-temperature sub-100 nm Néel-type skyrmions in non-stoichiometric van der Waals ferromagnet Fe3-xGaTe2 with ultrafast laser writability. Nat. Commun. 2024, 15, 1017. [Google Scholar] [CrossRef]
- Te, C.; Saha, R.; Meyerheim, H.L.; Göbel, B.; Mohseni, K.; Antonov, V.; Ernst, A.; Mertig, I.; Parkin, S.S.P.; Knyazev, D.; et al. Observation of Néel-type skyrmions in acentric self-intercalated Cr1+δTe2. Nat. Commun. 2022, 13, 3965. [Google Scholar] [CrossRef]
- Wu, Y.; Zhang, S.; Zhang, J.; Wang, W.; Zhu, Y.L.; Hu, J.; Yin, G.; Wong, K.; Fang, C.; Wan, C.; et al. Néel-type skyrmion in WTe2/Fe3GeTe2 van der Waals heterostructure. Nat. Commun. 2020, 11, 3–8. [Google Scholar] [CrossRef] [PubMed]
- Powalla, L.; Birch, M.T.; Litzius, K.; Wintz, S.; Satheesh, S.; Weigand, M.; Goering, E.; Schütz, G.; Burghard, M. Skyrmion and skyrmionium formation in the two-dimensional magnet Cr2Ge2Te6. Phys. Rev. B 2023, 108, 214417. [Google Scholar] [CrossRef]
- Liu, C.; Jiang, J.; Zhang, C.; Wang, Q.; Zhang, H.; Zheng, D.; Li, Y.; Ma, Y.; Algaidi, H.; Gao, X.; et al. Controllable Skyrmionic Phase Transition between Néel Skyrmions and Bloch Skyrmionic Bubbles in van der Waals Ferromagnet Fe3-δGeTe2. Adv. Sci. 2023, 10, e2303443. [Google Scholar] [CrossRef] [PubMed]
- Jiang, W.; Zhang, X.; Yu, G.; Zhang, W.; Wang, X.; Benjamin Jungfleisch, M.; Pearson, J.E.; Cheng, X.; Heinonen, O.; Wang, K.L.; et al. Direct observation of the skyrmion Hall effect. Nat. Phys. 2017, 13, 162–169. [Google Scholar] [CrossRef]
- Kato, Y.D.; Okamura, Y.; Hirschberger, M.; Tokura, Y.; Takahashi, Y. Topological magneto-optical effect from skyrmion lattice. Nat. Commun. 2023, 14, 5416. [Google Scholar] [CrossRef]





| Materials | Electronic Structure | SOC Strength & Orbital Contributions | Magnetic Ordering & Easy Axis | Carrier Mobility (cm2/V·s) | Electrical Tunability | Interface Quality & Confinement | Ref. |
|---|---|---|---|---|---|---|---|
| CrI3 | Insulating Eg ~ 1.2 eV | Moderate λ ~ 100–150 meV d orbital (Cr 3d) | FM (TC ~ 61 K bulk, ~45 K monolayer) Easy axis: out-of-plane (c-axis) layer-dependent AFM/FM | Not applicable (insulating ground state) | High: Electrostatic gating controls magnetic order; ionic liquid gating effective | Excellent: Atomically sharp vdW interfaces; strong quantum confinement; air-sensitive | [10,56,71] |
| CrBr3 | Insulating Eg ~ 1.7 eV | Moderate λ ~ 80–120 meV d-orbital (Cr 3d) | FM (TC ~ 34 K monolayer) Easy axis: Out-of-plane interlayer FM coupling | Not applicable (insulating) | High: Gate-tunable magnetism; pressure-sensitive | Excellent: Clean vdW interfaces; 2D Ising behavior; highly air-sensitive | [77,78] |
| CGT | Semiconducting Eg ~ 0.7 eV | Moderate-Strong λ ~ 150–200 meV Cr 3d + Te 5p hybridization | FM (TC ~ 61 K bulk) Easy axis: Out-of-plane Robust FM down to monolayer | ~10−2–100 (hole-doped) | Moderate: Electrostatic doping; strain engineering; magnetic proximity effects | Very Good: Stable vdW interfaces; Moderate air stability; Good for heterostructures | [9,32] |
| F3GT | Metallic Itinerant ferromagnet | Moderate λ ~ 100 meV Fe 3d dominant | FM (TC ~ 230 K bulk, ~130 K monolayer) Easy axis: out-of-plane strong perpendicular anisotropy | ~102–103 (metallic transport) | Very High: Ionic gating → TC > 300 K; gate-controlled anomalous Hall; proton intercalation | Good: Metallic contacts favorable; some oxidation sensitivity; excellent for spintronics | [24,29] |
| F5GT | Metallic Itinerant ferromagnet Higher Fe content | Moderate λ ~ 100–120 meV Fe 3d (enhanced) | FM (TC ~ 310 K bulk, ~270–310 K flake) Easy axis: Out-of-plane Higher TC than F3GT More robust FM | ~102–103 (metallic, high conductivity) | Very High: Electrostatic gating; enhanced magnetic hardness; stable FM ordering; better than F3GT | Very Good: Improved air stability vs F3GT; stronger magnetic signals; ideal for RT devices; better device integration | [37,79] |
| Graphene | Semi-metallic Zero-gap semiconductor Dirac fermions | Intrinsically Weak λ ~ 10–50 μeV (pristine) Can be enhanced by proximity C 2p orbitals | Non-magnetic (But: Proximity-induced magnetism possible) Spin transport medium Long spin diffusion length | Ultra-high: ~104–106 (Highest in 2D materials) Ballistic transport | Exceptional: Electrostatic doping (ambipolar); Chemical functionalization; Proximity effects; Twist-angle engineering | Excellent: Perfect vdW interface; atomically thin; transparent electrode; spin transport channel; critical for heterostructures | [80,81,82] |
| Mn3Si2Te6 | Semiconductor | Strong λ ~ 150–250 meV Mn 3d + Te 5p hybridization | FM (TC ~ 78 K bulk) Easy axis: In-plane FM due to Mn1 sublattice AFM (Mn1-Mn2 coupling) | Low: ~101–102 Exhibits colossal MR in nanoflakes | Very High: Gate-tunable colossal magnetoresistance; Ultra-low current modulation (~5 A/cm2); Sensitive to direct currents; Magnetic proximity effects | Very Good: Clean vdW interfaces; Mechanical exfoliation possible; Platform for chiral orbital moments and spin-torque phenomena | [66,67,83] |
| CrSBr | Semiconducting Eg ~ 1.5 eV Excitonic insulator | Weak-Moderate λ ~ 50–80 meV Cr 3d | A-type AFM (TN ~ 132 K) Easy axis: In-plane (a-axis) FM layers, AFM stacking Air-stable! | Not well characterized (semiconducting) | Moderate: Magnetic field control; Optical control of magnetism; Excitonic effects | Excellent: Air-stable. Unique for practical devices; Sharp optical transitions; Good for optoelectronics | [84,85,86] |
| CrTe2 | Metallic Semi-metallic Itinerant ferromagnet | Moderate-Strong λ ~ 120–180 meV Cr 3d + Te 5p hybridization | FM (TC ~ 310 K bulk, TC ~ 200–300 K thickness-dependent) Easy axis: Out-of-plane Self-intercalation effects | ~102–103 (metallic, anisotropic) | Very High: Electrostatic gating; Self-intercalation tuning; Defect engineering; Gate-controlled TC | Good: vdW interfaces; Thickness-dependent properties; Air-sensitive; Excellent for RT spintronics | [41,43,50] |
| FePS3 | Insulating Eg ~ 1.5 eV Mott insulator | Weak-Moderate λ ~ 30–60 meV Fe 3d (S/P 3p screening) | AFM (TN ~ 123 K bulk, ~118 K monolayer) Easy axis: In-plane Zigzag-type AFM Strong magnetoelastic coupling | Not applicable (insulating ground state) | Moderate: Magnetic field switching; Optical control (photoexcitation); Pressure-induced transitions; Electrostatic limited | Very Good: Relatively air-stable; Clean vdW interfaces; Strong magneto-optical effects; Good for 2D magnon studies | [87,88] |
Disclaimer/Publisher’s Note: The statements, opinions and data contained in all publications are solely those of the individual author(s) and contributor(s) and not of MDPI and/or the editor(s). MDPI and/or the editor(s) disclaim responsibility for any injury to people or property resulting from any ideas, methods, instructions or products referred to in the content. |
© 2025 by the author. Licensee MDPI, Basel, Switzerland. This article is an open access article distributed under the terms and conditions of the Creative Commons Attribution (CC BY) license (https://creativecommons.org/licenses/by/4.0/).
Share and Cite
Algarni, M. Recent Advances in Magnetic Two-Dimensional van der Waals Heterostructures: Synthesis, Properties, and Spintronic Applications: A Review. Nanomaterials 2025, 15, 1569. https://doi.org/10.3390/nano15201569
Algarni M. Recent Advances in Magnetic Two-Dimensional van der Waals Heterostructures: Synthesis, Properties, and Spintronic Applications: A Review. Nanomaterials. 2025; 15(20):1569. https://doi.org/10.3390/nano15201569
Chicago/Turabian StyleAlgarni, Meri. 2025. "Recent Advances in Magnetic Two-Dimensional van der Waals Heterostructures: Synthesis, Properties, and Spintronic Applications: A Review" Nanomaterials 15, no. 20: 1569. https://doi.org/10.3390/nano15201569
APA StyleAlgarni, M. (2025). Recent Advances in Magnetic Two-Dimensional van der Waals Heterostructures: Synthesis, Properties, and Spintronic Applications: A Review. Nanomaterials, 15(20), 1569. https://doi.org/10.3390/nano15201569

