Preparation and Performance Study of Uniform Silver–Graphene Composite Coatings via Zeta Potential Regulation and Electrodeposition Process Optimization
Abstract
1. Introduction
2. Materials and Methods
2.1. Material Characterization and Pretreatment
2.1.1. Material Properties
2.1.2. Preprocessing
2.2. Preparation of Coating
2.3. Characterization and Testing Methods
2.3.1. Characterization Methods
2.3.2. Test Methods
3. Results and Discussion
3.1. Modulation of Zeta Potential in Silver-Plated Liquid Systems
3.2. Optimization of Coating Preparation Process
3.3. Coating Properties
3.3.1. Microscopic Morphology of Coatings
3.3.2. Characterization of Graphene in Coatings
3.3.3. Coating Mechanical Properties and Grain Size
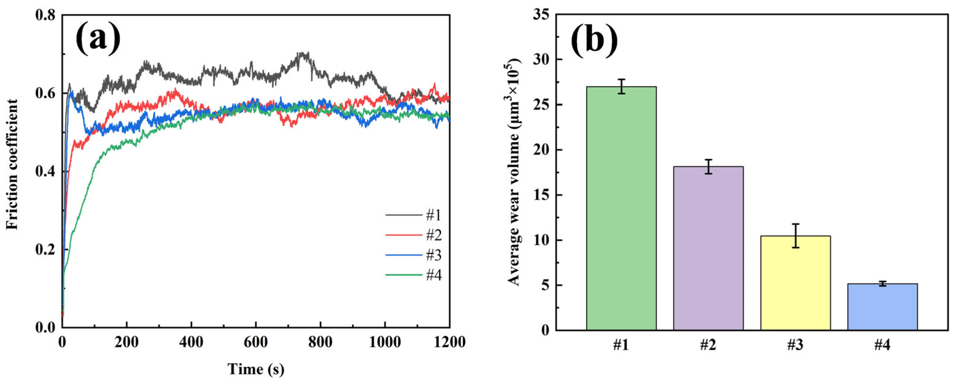
3.3.4. Tribological Properties of Coatings
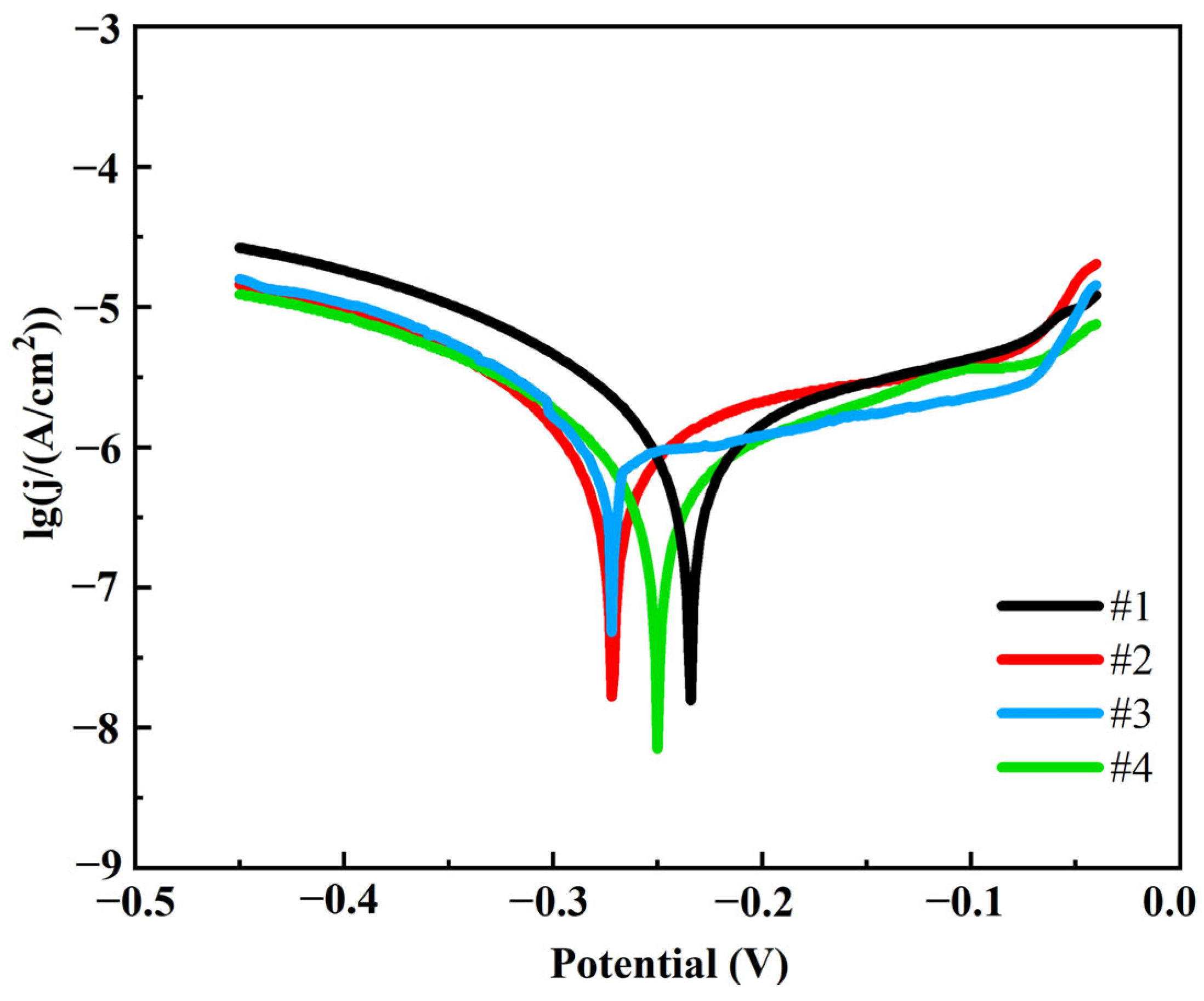
3.3.5. Corrosion Resistance of Coatings
3.3.6. Electrical Contact Life of Coatings
4. Conclusions
- (1)
- In the study of regulating the ζ value in silver plating solutions, the introduction of oxygen-containing functional groups onto the surface of covalently modified graphene (GO) significantly increased the |ζ| value of the silver plating solution, thereby significantly improving the dispersion stability of G.
- (2)
- The dispersion of G in the composite coating was further regulated by optimizing the electrodeposition process parameters. The optimal process parameters were determined through a comprehensive analysis of the orthogonal and single-factor experiment: the concentration of GO is 0.75 g/L, the average forward current density is 0.45 A/dm2, the average negative current density is 0.08 A/dm2, the forward duty cycle is 67.5%, and the negative duty cycle is 32.5%.
- (3)
- In the performance study of Ag-G composite coatings, covalently modified graphene (GO) was combined with a double-pulse process to reduce GO to G under the action of a strongly alkaline plating solution and a bi-directional electric field, which was uniformly distributed in the coating. Microstructural analysis showed that the coating surface was dense and smooth with a grain size of 19.4 nm, and the G was uniformly distributed with low defect density. Mechanical property tests showed that the microhardness of the coating was 144.1 HV0.2, which was 56.6% higher than that of the pure Ag coating. Tribological performance studies showed that the coating exhibited the lowest coefficient of friction and wear under both dry and current-carrying friction conditions. Corrosion resistance tests showed that the corrosion current density and corrosion rate of the coating were reduced by 45.5% compared to the pure Ag coating, respectively. In the electrical contact life test, the contact resistance of the coating was stabilized within 50 mΩ after 80,000 cycles, showing excellent stability and durability.
Author Contributions
Funding
Data Availability Statement
Conflicts of Interest
References
- Grieseler, R.; Camargo, M.K.; Hopfeld, M.; Schmidt, U.; Bund, A.; Schaaf, P. Copper-MAX-phase composite coatings obtained by electro-co-deposition: A promising material for electrical contacts. Surf. Coat. Technol. 2017, 321, 219–228. [Google Scholar] [CrossRef]
- Rodrigues, R.; Du, Y.; Antoniazzi, A.; Cairoli, P. A review of solid-state circuit breakers. IEEE Trans. Power Electron. 2021, 36, 364–377. [Google Scholar] [CrossRef]
- Liu, Z.J.; Wang, L. Electrical life assessment of the low-voltage circuit breaker (LVCB) considering arc voltage. Energies. 2022, 15, 3070. [Google Scholar] [CrossRef]
- Yuan, X.B.; Fu, F.F.; He, R.T. Graphene-enhanced silver composites for electrical contacts: A review. J. Mater. Sci. 2024, 59, 3762–3779. [Google Scholar] [CrossRef]
- Zhao, D.S.; Zhang, S.M.; Duan, L.H.; Wang, Y.T.; Jiang, D.S.; Liu, W.B.; Zhang, B.S.; Yang, H. Effects of Ag on electrical properties of Ag/Ni/p-GaN ohmic contact. Chin. Phys. Lett. 2007, 24, 1741–1744. [Google Scholar] [CrossRef]
- Pompanon, F.; Fouvry, S.; Alquier, O. Influence of humidity on the endurance of silver-plated electrical contacts subjected to fretting wear. Surf. Coat. Technol. 2018, 354, 246–256. [Google Scholar] [CrossRef]
- Park, Y.W.; Joo, H.G.; Lee, K.Y. Effect of intermittent fretting on corrosion behavior in electrical contact. Wear 2010, 268, 353–360. [Google Scholar] [CrossRef]
- Li, H.Y.; Wang, X.H.; Liang, Y.; Fei, Y.; Zhang, H. Effect of electrical contact mode on the arc-erosion behavior of titanium diboride-nickel co-reinforced and nickel-enhanced silver-based electrical contact materials. J. Electron. Mater. 2022, 51, 1137–1147. [Google Scholar] [CrossRef]
- He, D.H.; Manory, R. A novel electrical contact material with improved self-lubrication for railway current collectors. Wear 2001, 249, 626–636. [Google Scholar] [CrossRef]
- Huang, S.Y.; Feng, Y.; Ding, K.; Qian, G.; Liu, H.J.; Wang, Y. Friction and wear properties of Cu-based self-lubricating composites in air and vacuum conditions. Acta. Metall. Sin. 2012, 25, 391–400. [Google Scholar] [CrossRef]
- Liu, Y.; Senturk, B.S.; Mantese, J.V.; Aindow, M.; Alpay, S.P. Electrical and tribological properties of a Ni–18%Ru alloy for contact applications. J. Mater. Sci. 2011, 46, 6563–6570. [Google Scholar] [CrossRef]
- Wang, J.; Feng, Y.; Li, S.; Lin, S. Influence of graphite content on sliding wear characteristics of CNTs-Ag-G electrical contact materials. Trans. Nonferrous Met. Soc. China 2009, 19, 113–118. [Google Scholar] [CrossRef]
- Rasuli, H.; Rasuli, R. Nanoparticle-decorated graphene/graphene oxide: Synthesis, properties and applications. J. Mater. Sci. 2023, 58, 2971–2992. [Google Scholar] [CrossRef]
- Zhao, P. Experimental studies on the mechanics of graphene: A review. Acta Mech. Solida Sin. 2025, 38, 195–217. [Google Scholar] [CrossRef]
- Jiang, Z.Q.; Wu, J.H.; Yu, L.G.; Bi, J.L.; Wang, Y.D.; Hu, X.Y.; Zhang, Y.J.; Li, W.H. Two-dimensional nanomaterials as lubricant additives: The state-of-the-art and future prospects. J. Mater. Chem. C 2025, 13, 4327–4373. [Google Scholar] [CrossRef]
- Nieto, A.; Bisht, A.; Lahiri, D.; Zhang, C.; Agarwal, A. Graphene reinforced metal and ceramic matrix composites: A review. Int. Mater. Rev. 2017, 62, 241–302. [Google Scholar] [CrossRef]
- Tian, W.M.; Li, S.M.; Wang, B.; Chen, X.; Liu, J.H.; Yu, M. Graphene-reinforced aluminum matrix composites prepared by spark plasma sintering. Int. J. Miner. Metall. Mater. 2016, 23, 723–729. [Google Scholar] [CrossRef]
- Bastwros, M.; Kim, G.Y.; Zhu, C.; Zhang, K.; Wang, S.R.; Tang, X.D.; Wang, X.W. Effect of ball milling on graphene reinforced Al6061 composite fabricated by semi-solid sintering. Compos. Part B 2014, 60, 111–118. [Google Scholar] [CrossRef]
- Das, A.; Harimkar, S.P. Effect of graphene nanoplate and silicon carbide nanoparticle reinforcement on mechanical and tribological properties of spark plasma sintered magnesium matrix composites. J. Mater. Sci. Technol. 2014, 30, 1059–1070. [Google Scholar] [CrossRef]
- Selvam, M.; Saminathan, K.; Siva, P.; Saha, P.; Rajendran, V. Corrosion behavior of Mg/graphene composite in aqueous electrolyte. Mater. Chem. Phys. 2016, 172, 129–136. [Google Scholar] [CrossRef]
- Lv, R.C.; Guo, H.C.; Kang, L.; Bashir, A.; Ren, L.C.; Niu, H.Y.; Bai, S.L. Thermally conductive and electrically insulating epoxy composites filled with network-like alumina in situ coated graphene. Nanomaterials 2023, 13, 2243. [Google Scholar] [CrossRef]
- Jagannadham, K. Electrical conductivity of copper-graphene composite films synthesized by electrochemical deposition with exfoliated graphene platelets. J. Vac. Sci. Technol. B 2012, 30, 03D109. [Google Scholar] [CrossRef]
- Yang, S.; Gao, X.; Li, W.T.; Dai, Y.J.; Zhang, J.H.; Zhang, X.H.; Yue, H.Y. Effects of the graphene content on mechanical properties and corrosion resistance of aluminum matrix composite. J. Mater. Res. Technol. 2024, 28, 1900–1906. [Google Scholar] [CrossRef]
- Mao, F.; Wiklund, U.; Andersson, A.M.; Jansson, U. Graphene as a lubricant on Ag for electrical contact applications. J. Mater. Sci. 2015, 50, 6518–6525. [Google Scholar] [CrossRef]
- Lv, W.Y.; Zheng, K.Q.; Zhang, Z.G. Performance studies of Ag, Ag-graphite, and Ag-graphene coatings on Cu substrate for high-voltage isolation switch. Mater. Corros. 2018, 69, 1847–1853. [Google Scholar] [CrossRef]
- Khobragade, N.; Sikdar, K.; Kumar, B.; Bera, S.; Roy, D. Mechanical and electrical properties of copper-graphene nanocomposite fabricated by high pressure torsion. J. Alloys Compd. 2019, 776, 123–132. [Google Scholar] [CrossRef]
- Shang, W.; Li, J.P.; Baboukani, A.R.; Wen, Y.Q.; Kong, D.; Peng, N.; Jiang, J.Q. Study on the relationship between graphene dispersion and corrosion resistance of graphene composite film. Appl. Surf. Sci. 2020, 511, 145518. [Google Scholar] [CrossRef]
- Ranjan, R.; Bajpai, V. Graphene-based metal matrix nanocomposites: Recent development and challenges. J. Compos. Mater. 2021, 55, 2369–2413. [Google Scholar] [CrossRef]
- Gao, J.W.; Zhou, M.; Cheng, G.Q.; Tang, M.F.; Sun, L.Y.; Chen, Y.; Luo, C.G. Multilayer coatings of periodically co-deposited graphene and ag substrate: Improving the electrified friction interface by modifying the strength-ductility combination. Surf. Coat. Technol. 2024, 482, 130667. [Google Scholar] [CrossRef]
- Walsh, F.C.; Wang, S.C.; Zhou, N. The electrodeposition of composite coatings: Diversity, applications and challenges. Curr. Opin. Electrochem. 2020, 20, 8–19. [Google Scholar] [CrossRef]
- Rydzek, G.; Polavarapu, P.; Rios, C.; Tisserant, J.N.; Voegel, J.C.; Senger, B.; Lavalle, P.; Frisch, B.; Schaaf, P.; Boulmedais, F. Morphogen-driven self-construction of covalent films built from polyelectrolytes and homobifunctional spacers: Buildup and pH response. Soft Matter 2012, 8, 10336–10343. [Google Scholar] [CrossRef]
- Shi, Y.; Villani, E.; Chen, Y.; Zhou, Y.; Chen, Z.; Hussain, A.; Xu, G.; Inagi, S. High-throughput electrosynthesis of gradient polypyrrole film using a single-electrode electrochemical system. Anal. Chem. 2023, 95, 1532–1540. [Google Scholar] [CrossRef]
- Rajeshwar, K.; Vali, A.; Rawat, A.; Myung, N. Tuning interfacial chemistry to direct the electrosynthesis of metal oxide semiconductors. Acc. Chem. Res. 2023, 56, 994–1003. [Google Scholar] [CrossRef] [PubMed]
- Nguyen, N.; Dubernet, M.; Matsui, Y.; Wilmet, M.; Shirahata, N.; Rydzek, G.; Dumait, N.; Amela-Cortes, M.; Renaud, A.; Cordier, S. Transparent functional nanocomposite films based on octahedral metal clusters: Synthesis by electrophoretic deposition process and characterization. R. Soc. Open Sci. 2019, 6, 181647. [Google Scholar] [CrossRef] [PubMed]
- Sharma, S.K.; Gajević, S.; Sharma, L.K.; Mohan, D.G.; Sharma, Y.; Radojković, M.; Stojanović, B. Significance of the powder metallurgy approach and its processing parameters on the mechanical behavior of magnesium-based materials. Nanomaterials 2025, 15, 92. [Google Scholar] [CrossRef] [PubMed]
- Badran, A.H.; Alamro, T.; Bazuhair, R.W.; El-Mawla, A.A.G.; El-Adben, S.Z.; Fouly, A. Investigation of the mechanical behavior of synthesized Al6061/TiO2 microcomposites using an innovative stir casting method. Nanomaterials 2022, 12, 1646. [Google Scholar] [CrossRef]
- Nan, H.Y.; Ni, Z.H.; Wang, J.; Zafar, Z.; Shi, Z.X.; Wang, Y.Y. The thermal stability of graphene in air investigated by Raman spectroscopy. J. Raman Spectrosc. 2013, 44, 1018–1021. [Google Scholar] [CrossRef]
- Sun, L.Y.; Chen, X.; Zhou, M.; Gao, J.W.; Luo, C.G.; Li, X.; You, S.L.; Wang, M.Y.; Cheng, G.Q. Optimization of cyanide-free composite electrodeposition based on π-π interactions preparation of silver-graphene composite coatings for electrical contact materials. Nanomaterials 2024, 14, 1349. [Google Scholar] [CrossRef]
- Zhan, K.; Li, F.J.; Liu, J.N.; Cao, J.M.; Wang, Z.; Zhao, B. Preparation and mechanism of Cu-GO laminated composite films with high thermal conductivity by intermediate nickel and silver layers via electrodeposition and ultrasonic spraying method. Surf. Coat. Technol. 2023, 472, 129960. [Google Scholar] [CrossRef]
- Datta, M.; Landolt, D. Fundamental aspects and applications of electrochemical microfabrication. Electrochim. Acta 2000, 45, 2535–2558. [Google Scholar] [CrossRef]
- Wang, J.Q.; Lei, W.N.; Deng, Y.; Xue, Z.M.; Qian, H.F.; Liu, W.Q.; Li, X.P. Effect of current density on microstructure and corrosion resistance of Ni-graphene oxide composite coating electrodeposited under supercritical carbon dioxide. Surf. Coat. Technol. 2019, 358, 765–774. [Google Scholar] [CrossRef]
- Fan, X.B.; Peng, W.C.; Li, Y.; Li, X.; Wang, S.L.; Zhang, G.L.; Zhang, F.B. Deoxygenation of exfoliated graphite oxide under alkaline conditions: A green route to graphene preparation. Adv. Mater. 2008, 20, 4490–4493. [Google Scholar] [CrossRef]













| Composition and Conditions | #1 | #2 | #3 | #4 |
|---|---|---|---|---|
| Common Components and Parameters | AgNO3: 45 g/L, C6H5NO2: 100 g/L, CH3COONH4: 76 g/L, K2CO3: 72 g/L, KOH: 45 g/L, NH3·H2O: 32 mL/L; Temperature: 30 ± 1 °C, pH: 9.5–10.5, Electrolyte agitation: 260 rpm, Deposition thickness: 15 ± 2 μm. | |||
| C12H25NaO4S (g/L) | / | 0.030 | / | / |
| C18H29NaO3S (g/L) | / | 0.038 | / | / |
| (C6H9NO)n (g/L) | / | 0.023 | / | / |
| Graphene (g/L) | / | 0.75 | / | / |
| Graphene oxide (g/L) | / | / | 0.75 | 0.75 |
| Forward average current density (A/dm2) | 0.26 | 0.26 | 0.26 | 0.45 |
| Negative average current density (A/dm2) | / | / | / | 0.08 |
| Forward duty cycle (%) | / | / | / | 67.5 |
| Negative duty cycle (%) | / | / | / | 32.5 |
| Group | SDS (wt%) | SDBS (wt%) | PVP (wt%) | |ζ| (mV) |
|---|---|---|---|---|
| 1 | 3 | 3 | 3 | 12.38 |
| 2 | 3 | 4 | 4 | 8.52 |
| 3 | 3 | 5 | 5 | 3.72 |
| 4 | 4 | 3 | 4 | 12.52 |
| 5 | 4 | 4 | 5 | 6.83 |
| 6 | 4 | 5 | 3 | 17.29 |
| 7 | 5 | 3 | 5 | 7.78 |
| 8 | 5 | 4 | 3 | 11.27 |
| 9 | 5 | 5 | 4 | 6.32 |
| Range analysis | ||||
| n1 | 8.21 | 10.89 | 13.65 | / |
| n1 | 12.21 | 8.87 | 9.12 | / |
| n1 | 8.46 | 9.11 | 6.11 | / |
| R | 4.00 | 2.02 | 7.50 | / |
| Priority | PVP > SDS > SDBS | |||
| Optimal level | 4 | 3 | 3 | 10.61 |
| Group | CGO (g/L) | Jf (A/dm2) | Jr (A/dm2) | Df (%) | Dr (%) | HV (HV0.2) | COF |
|---|---|---|---|---|---|---|---|
| 1 | 0.5 | 0.20 | 0.04 | 65.0 | 30.0 | 122.963 | 0.557 |
| 2 | 0.5 | 0.30 | 0.06 | 70.0 | 35.0 | 126.275 | 0.532 |
| 3 | 0.5 | 0.40 | 0.08 | 75.0 | 40.0 | 131.275 | 0.520 |
| 4 | 0.5 | 0.50 | 0.10 | 80.0 | 45.0 | 128.175 | 0.584 |
| 5 | 1.0 | 0.20 | 0.06 | 75.0 | 45.0 | 127.100 | 0.573 |
| 6 | 1.0 | 0.30 | 0.04 | 80.0 | 40.0 | 134.438 | 0.532 |
| 7 | 1.0 | 0.40 | 0.10 | 65.0 | 35.0 | 127.650 | 0.567 |
| 8 | 1.0 | 0.50 | 0.08 | 70.0 | 30.0 | 141.813 | 0.510 |
| 9 | 1.5 | 0.20 | 0.08 | 80.0 | 35.0 | 122.250 | 0.572 |
| 10 | 1.5 | 0.30 | 0.10 | 75.0 | 30.0 | 124.500 | 0.565 |
| 11 | 1.5 | 0.40 | 0.04 | 70.0 | 45.0 | 130.213 | 0.577 |
| 12 | 1.5 | 0.50 | 0.06 | 65.0 | 40.0 | 139.113 | 0.532 |
| 13 | 2.0 | 0.20 | 0.10 | 70.0 | 40.0 | 116.500 | 0.600 |
| 14 | 2.0 | 0.30 | 0.08 | 65.0 | 45.0 | 128.025 | 0.580 |
| 15 | 2.0 | 0.40 | 0.06 | 80.0 | 30.0 | 129.688 | 0.534 |
| 16 | 2.0 | 0.50 | 0.04 | 75.0 | 35.0 | 134.338 | 0.527 |
| HV range analysis | |||||||
| n1 | 127.172 | 122.203 | 130.488 | 129.438 | 129.741 | / | / |
| n2 | 132.750 | 128.310 | 130.544 | 128.700 | 127.628 | / | / |
| n3 | 129.019 | 129.707 | 130.841 | 129.303 | 130.332 | / | / |
| n4 | 127.138 | 135.860 | 124.206 | 128.638 | 128.378 | / | / |
| R | 5.612 | 13.657 | 6.635 | 0.800 | 2.704 | / | / |
| Priority | Jf > Jr > CGO > Dr > Df | ||||||
| Optimal level | 1.0 | 0.50 | 0.08 | 65.0 | 40.0 | 142.775 | 0.506 |
| COF range analysis | |||||||
| n1 | 0.548 | 0.576 | 0.548 | 0.559 | 0.542 | / | / |
| n2 | 0.546 | 0.552 | 0.543 | 0.555 | 0.550 | / | / |
| n3 | 0.562 | 0.550 | 0.546 | 0.546 | 0.546 | / | / |
| n4 | 0.560 | 0.538 | 0.579 | 0.556 | 0.579 | / | / |
| R | 0.016 | 0.038 | 0.036 | 0.013 | 0.037 | / | / |
| Priority | Jf > Dr > Jr > CGO > Df | ||||||
| Optimal level | 1.0 | 0.50 | 0.06 | 75.0 | 30.0 | 136.288 | 0.541 |
| Coating | 2θ (°) | β (°) | D (nm) |
|---|---|---|---|
| 1 | 38.276 | 0.259 | 32.1 |
| 2 | 38.289 | 0.332 | 25.1 |
| 3 | 38.383 | 0.358 | 23.3 |
| 4 | 38.300 | 0.429 | 19.4 |
| Coating | Ecorr (V) | Icorr (μA∙cm−2) | ba (V∙dec−1) | bc (V∙dec−1) | CR (mm∙year−1) |
|---|---|---|---|---|---|
| 1 | −0.2281 | 1.4250 | 3.7780 | −7.1965 | 0.04795 |
| 2 | −0.2674 | 1.3351 | 2.8988 | −6.7222 | 0.04492 |
| 3 | −0.2322 | 0.9521 | 3.1855 | −6.5103 | 0.03203 |
| 4 | −0.2359 | 0.7771 | 5.0600 | −6.7887 | 0.02614 |
Disclaimer/Publisher’s Note: The statements, opinions and data contained in all publications are solely those of the individual author(s) and contributor(s) and not of MDPI and/or the editor(s). MDPI and/or the editor(s) disclaim responsibility for any injury to people or property resulting from any ideas, methods, instructions or products referred to in the content. |
© 2025 by the authors. Licensee MDPI, Basel, Switzerland. This article is an open access article distributed under the terms and conditions of the Creative Commons Attribution (CC BY) license (https://creativecommons.org/licenses/by/4.0/).
Share and Cite
Sun, L.; Zhang, H.; Li, X.; Zhang, D.; Chen, Y.; Su, T.; Zhou, M. Preparation and Performance Study of Uniform Silver–Graphene Composite Coatings via Zeta Potential Regulation and Electrodeposition Process Optimization. Nanomaterials 2025, 15, 1523. https://doi.org/10.3390/nano15191523
Sun L, Zhang H, Li X, Zhang D, Chen Y, Su T, Zhou M. Preparation and Performance Study of Uniform Silver–Graphene Composite Coatings via Zeta Potential Regulation and Electrodeposition Process Optimization. Nanomaterials. 2025; 15(19):1523. https://doi.org/10.3390/nano15191523
Chicago/Turabian StyleSun, Luyi, Hongrui Zhang, Xiao Li, Dancong Zhang, Yuxin Chen, Taiyu Su, and Ming Zhou. 2025. "Preparation and Performance Study of Uniform Silver–Graphene Composite Coatings via Zeta Potential Regulation and Electrodeposition Process Optimization" Nanomaterials 15, no. 19: 1523. https://doi.org/10.3390/nano15191523
APA StyleSun, L., Zhang, H., Li, X., Zhang, D., Chen, Y., Su, T., & Zhou, M. (2025). Preparation and Performance Study of Uniform Silver–Graphene Composite Coatings via Zeta Potential Regulation and Electrodeposition Process Optimization. Nanomaterials, 15(19), 1523. https://doi.org/10.3390/nano15191523
