Synergistic Regulation of Solvation Shell and Anode Interface by Bifunctional Additives for Stable Aqueous Zinc-Ion Batteries
Abstract
1. Introduction
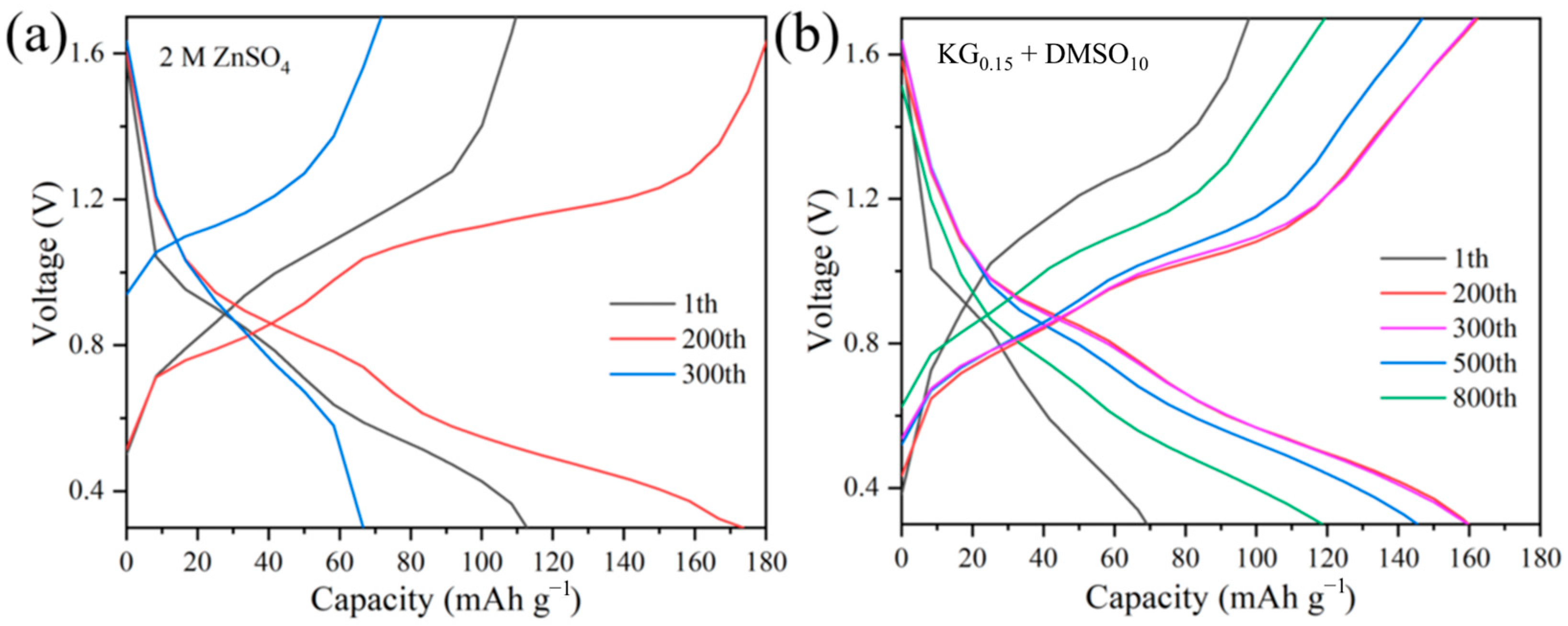
2. Results and Discussion
3. Conclusions
Supplementary Materials
Author Contributions
Funding
Data Availability Statement
Conflicts of Interest
References
- Huang, J.H.; Guo, Z.W.; Ma, Y.Y.; Bin, D.; Wang, Y.G.; Xia, Y.Y. Recent progress of rechargeable batteries using mild aqueous electrolytes. Small Methods 2019, 3, 1800272. [Google Scholar] [CrossRef]
- Guo, S.P.; Liu, Q.B.; Sun, J.; Jin, H.G. A review on the utilization of hybrid renewable energy. Renew. Sustain. Energy Rev. 2018, 91, 1121–1147. [Google Scholar] [CrossRef]
- Cao, L.S.; Li, D.; Pollard, T.; Deng, T.; Zhang, B.; Yang, C.Y.; Chen, L.; Vatamanu, J.; Hu, E.; Hourwitz, M.J.; et al. Fluorinated interphase enables reversible aqueous zinc battery chemistries. Nat. Nanotechnol. 2021, 16, 902–910. [Google Scholar] [CrossRef]
- Zhang, S.G.; Qiu, L.F.; Zheng, Y.; Shi, Q.F.; Zhou, T.F.; Sencadas, V.; Xu, Y.L.; Zhang, S.L.; Zhang, L.H.; Zhang, C.F.; et al. Rational design of core-shell ZnTe@N-doped carbon nanowires for high gravimetric and volumetric alkali metal ion storage. Adv. Funct. Mater. 2021, 31, 2006425. [Google Scholar] [CrossRef]
- Pang, Y.R.; Li, H.; Zhang, S.G.; Ma, Q.W.; Peng, X.; Wang, R.; Zhai, Y.M.; Li, H.B.; Kang, H.W.; Liu, Y.P.; et al. Conjugated porous polyimide poly (2, 6-diaminoanthraquinone) benzamide with good stability and high-performance as a cathode for sodium ion batteries. J. Mater. Chem. A 2022, 10, 1514–1521. [Google Scholar] [CrossRef]
- Jin, Y.; Han, K.S.; Shao, Y.Y.; Sushko, M.L.; Xiao, J.; Pan, H.; Liu, J. Stabilizing zinc anode reactions by polyethylene oxide polymer in mild aqueous electrolytes. Adv. Funct. Mater. 2020, 30, 2003932. [Google Scholar] [CrossRef]
- Zhao, J.W.; Zhang, J.; Yang, W.H.; Chen, B.B.; Zhao, Z.M.; Qiu, H.Y.; Dong, S.M.; Zhou, X.H.; Cui, G.I.; Chen, L.Q. “Water-in-deep eutectic solvent” electrolytes enable zinc metal anodes for rechargeable aqueous batteries. Nano Energy 2019, 57, 625–634. [Google Scholar] [CrossRef]
- Park, J.H.; Wu, C.X.; Sung, S.Y.; Kim, T.W. Ingenious use of natural triboelectrification on the human body for versatile applications in walking energy harvesting and body action monitoring. Nano Energy 2019, 57, 872–878. [Google Scholar] [CrossRef]
- Liu, S.; Zhang, R.Z.; Mao, J.F.; Zhao, Y.L.; Cai, Q.; Guo, Z.P. From room temperature to harsh temperature applications: Fundamentals and perspectives on electrolytes in zinc metal batteries. Sci. Adv. 2022, 8, eabn5097. [Google Scholar] [CrossRef]
- Liu, C.X.; Xie, X.S.; Lu, B.G.; Zhou, J.; Liang, S.Q. Electrolyte strategies toward better zinc-ion batteries. ACS Energy Lett. 2021, 6, 1015–1033. [Google Scholar] [CrossRef]
- Yang, Q.; Li, Q.; Liu, Z.X.; Wang, D.H.; Guo, Y.; Li, X.L.; Tang, Y.C.; Li, H.F.; Dong, B.B.; Zhi, C.Y. Dendrites in Zn-based batteries. Adv. Mater. 2020, 32, 2001854. [Google Scholar] [CrossRef] [PubMed]
- Zhang, T.S.; Tang, Y.; Guo, S.; Cao, X.X.; Pan, A.Q.; Fang, G.Z.; Zhou, J.; Liang, S.Q. Fundamentals and perspectives in developing zinc-ion battery electrolytes: A comprehensive review. Energy Environ. Sci. 2020, 13, 4625–4665. [Google Scholar] [CrossRef]
- Chen, M.F.; Chen, J.Z.; Zhou, W.J.; Han, X.; Yao, Y.G.; Wong, C.P. Realizing an all-round hydrogel electrolyte toward environmentally adaptive dendrite-free aqueous Zn-MnO2 batteries. Adv. Mater. 2021, 33, 2007559. [Google Scholar]
- Chen, M.F.; Zhou, W.J.; Wang, A.R.; Huang, A.X.; Chen, J.Z.; Xu, J.L.; Wong, C.P. Anti-freezing flexible aqueous Zn-MnO2 batteries working at-35 C enabled by a borax-crosslinked polyvinyl alcohol/glycerol gel electrolyte. J. Mater. Chem. A 2020, 8, 6828–6841. [Google Scholar] [CrossRef]
- Xiang, Z.P.; Li, Y.Y.; Cheng, X.J.; Yang, C.; Wang, K.P.; Zhang, Q.; Wang, L. Lean-water hydrogel electrolyte with improved ion conductivity for dendrite-free zinc-Ion batteries. J. Chem. Eng. 2024, 490, 151524. [Google Scholar] [CrossRef]
- Suo, L.M.; Borodin, O.; Gao, T.; Olguin, M.; Ho, J.; Fan, X.L.; Luo, C.; Wang, C.S.; Xu, K. “Water-in-salt” electrolyte enables high-voltage aqueous lithium-ion chemistries. Science 2015, 350, 938–943. [Google Scholar] [CrossRef]
- Dou, Q.Y.; Lei, S.L.; Wang, D.W.; Zhang, Q.N.; Xiao, D.W.; Guo, H.W.; Wang, A.P.; Yang, H.; Li, Y.G.; Shi, S.Q.; et al. Safe and high-rate supercapacitors based on an “acetonitrile/water in salt” hybrid electrolyte. Energy Environ. Sci. 2018, 11, 3212–3219. [Google Scholar] [CrossRef]
- Gao, Y.; Wang, M.S.; Wang, H.; Li, X.P.; Chu, Y.W.; Tang, Z.C.; Feng, Y.L.; Wang, J.Q.; Pan, Y.; Ma, Z.Y.; et al. Kinetic and thermodynamic synergy of organic small molecular additives enables constructed stable zinc anode. J. Energy Chem. 2023, 84, 62–72. [Google Scholar] [CrossRef]
- Panda, P.K.; Liu, K.-C.; Lin, Y.-C.; Wu, M.-W.; Dash, P.; Hsieh, C.-A.; Mallick, B.C.; Liu, W.-R.; Chang, J.-K.; Hsieh, C.-T. High-entropy carbon nanodots as metal-free electrochemical catalysts for oxygen reduction and oxygen evolution reactions. Emergent Mater. 2025, 1–14. [Google Scholar] [CrossRef]
- Shi, M.; Lei, C.; Wang, H.; Jiang, P.; Xu, C.; Yang, W.; He, X.; Liang, X. Molecule engineering of sugar derivatives as electrolyte additives for deep-reversible Zn metal anode. Angew. Chem. 2024, 136, e202407261. [Google Scholar] [CrossRef]
- Jiang, X.; Zhou, Y.; Wang, Y.; Teng, J.; Wang, K.; Zhang, J.; Li, W.; Liu, G.; Fu, S.; Jia, H. Stabilizing Zinc-Iodine Batteries via Amyloid Fibril-Based Electrolytes: Ion Transport and pH Regulation Through Hierarchical Networks. Adv. Funct. Mater. 2025, 2508900. [Google Scholar] [CrossRef]
- Xu, X.; Song, M.; Li, M.; Xu, Y.; Sun, L.; Shi, L.; Su, Y.; Lai, C.; Wang, C. A novel bifunctional zinc gluconate electrolyte for a stable Zn anode. Chem. Eng. J. 2023, 454, 140364. [Google Scholar] [CrossRef]
- Wu, S.C.; Chen, J.B.; Su, Z.; Guo, H.C.; Zhao, T.W.; Jia, C.; Stansby, J.; Tang, J.Q.; Rawal, A.; Fang, Y.; et al. Molecular crowding electrolytes for stable proton batteries. Small 2022, 18, 2202992. [Google Scholar] [CrossRef] [PubMed]
- Zeng, X.H.; Xie, K.X.; Liu, S.L.; Zhang, S.L.; Hao, J.N.; Liu, J.T.; Pang, W.K.; Liu, J.W.; Rao, P.H.; Wang, Q.H.; et al. Bio-inspired design of an in situ multifunctional polymeric solid-electrolyte interphase for Zn metal anode cycling at 30 mA cm−2 and 30 mA h cm−2. Energy Environ. Sci. 2021, 14, 5947–5957. [Google Scholar] [CrossRef]
- Li, G.P.; Wang, X.L.; Lv, S.H.; Wang, J.X.; Yu, W.S.; Dong, X.T.; Liu, D.T. In situ constructing a film-coated 3D porous Zn anode by iodine etching strategy toward horizontally arranged dendrite-free Zn deposition. Adv. Funct. Mater. 2023, 33, 2208288. [Google Scholar] [CrossRef]
- Kim, M.; Lee, J.; Kim, Y.; Park, Y.; Kim, H.; Choi, J.W. Surface overpotential as a key metric for the discharge–charge reversibility of aqueous zinc-ion batteries. J. Am. Chem. Soc. 2023, 145, 15776–15787. [Google Scholar] [CrossRef] [PubMed]
- Pei, A.; Zheng, G.Y.; Shi, F.F.; Li, Y.Z.; Cui, Y. Nanoscale nucleation and growth of electrodeposited lithium metal. Nano Lett. 2017, 17, 1132–1139. [Google Scholar] [CrossRef]
- Mackinnon, D.J.; Brannen, J.M.; Fenn, P.L. Characterization of impurity effects in zinc electrowinning from industrial acid sulphate electrolyte. J. Appl. Electrochem. 1987, 17, 1129–1143. [Google Scholar] [CrossRef]
- Tripathy, B.C.; Das, S.C.; Hefter, G.T.; Singh, P. Zinc electrowinning from acidic sulfate solutions: Part I: Effects of sodium lauryl sulfate. J. Appl. Electrochem. 1997, 27, 673–678. [Google Scholar] [CrossRef]
- Zhang, Q.; Hua, Y.X. Effects of 1-butyl-3-methylimidazolium hydrogen sulfate-[BMIM] HSO4 on zinc electrodeposition from acidic sulfate electrolyte. J. Appl. Electrochem. 2009, 39, 261–267. [Google Scholar] [CrossRef]
- Mackinnon, D.J.; Morrison, R.M.; Mouland, J.E.; Warren, P.E. The effects of antimony and glue on zinc electrowinning from Kidd Creek electrolyte. J. Appl. Electrochem. 1990, 20, 728–736. [Google Scholar] [CrossRef]
- Garcia, G.; Ventosa, E.; Schuhmann, W. Complete prevention of dendrite formation in Zn metal anodes by means of pulsed charging protocols. ACS Appl. Mater. Int. 2017, 9, 18691–18698. [Google Scholar] [CrossRef]
- Li, C.P.; Xie, X.S.; Liu, H.; Wang, P.J.; Deng, C.B.; Lu, B.G.; Zhou, J.; Liang, S.Q. Integrated ‘all-in-one’ strategy to stabilize zinc anodes for high-performance zinc-ion batteries. Natl. Sci. Rev. 2022, 9, nwab177. [Google Scholar] [CrossRef]
- Qin, R.Z.; Wang, Y.T.; Zhang, M.Z.; Wang, Y.; Ding, S.X.; Song, A.Y.; Yi, H.C.; Yang, L.Y.; Song, Y.L.; Cui, Y.H.; et al. Tuning Zn2+ coordination environment to suppress dendrite formation for high-performance Zn-ion batteries. Nano Energy 2021, 80, 105478. [Google Scholar] [CrossRef]
- Xu, J.; Lv, W.L.; Yang, W.; Jin, Y.; Jin, Q.Z.; Sun, B.; Zhang, Z.L.; Wang, T.Y.; Zheng, L.F.; Shi, X.L.; et al. In situ construction of protective films on Zn metal anodes via natural protein additives enabling high-performance zinc ion batteries. ACS Nano 2022, 16, 11392–11404. [Google Scholar] [CrossRef]
- Qin, H.Y.; Kuang, W.; Hu, N.; Zhong, X.M.; Huang, D.; Shen, F.; Wei, Z.W.; Huang, J.X.; He, H.B. Building metal-molecule interface towards stable and reversible Zn metal anodes for aqueous rechargeable zinc batteries. Adv. Funct. Mater. 2022, 32, 2206695. [Google Scholar] [CrossRef]
- Cui, J.; Liu, X.Y.; Xie, Y.H.; Wu, K.; Wang, Y.Q.; Liu, Y.Y.; Zhang, J.J.; Yi, J.; Xia, Y.Y. Improved electrochemical reversibility of Zn plating/stripping: A promising approach to suppress water-induced issues through the formation of H-bonding. Mater. Today Energy 2020, 18, 100563. [Google Scholar] [CrossRef]
- Zhang, H.W.; Zhong, Y.; Li, J.B.; Liao, Y.Q.; Zeng, J.L.; Shen, Y.; Yuan, L.X.; Li, Z.; Huang, Y.H. Inducing the preferential growth of Zn (002) plane for long cycle aqueous Zn-Ion batteries. Adv. Energy Mater. 2023, 13, 2203254. [Google Scholar] [CrossRef]
- Xu, D.; Chen, B.; Ren, X.; Han, C.; Chang, Z.; Pan, A.; Zhou, H. Selectively etching-off the highly reactive (002) Zn facet enables highly efficient aqueous zinc-metal batteries. Energy Environ. Sci. 2024, 17, 642–654. [Google Scholar] [CrossRef]
- Yu, W.; Li, Q.; Xiao, W.; Wang, J.; Dong, B.; Chai, Y.; Wu, Z.; Wang, L. Unique CoP Microflower Decorated with Phosphorous-Enriched PtP2 onto Nickel Foam with Interfacial Electronic Interactions to Boost Alkaline Water-Splitting. Adv. Funct. Mater. 2024, 34, 2313935. [Google Scholar] [CrossRef]
- Wang, X.; Peng, H.; Zheng, H.; Liu, Z.; Sun, K.; Ma, G.; Lei, Z. Weak solvation effects and molecular-rich layers induced water-poor Helmholtz layers boost highly stable Zn anode. Energy Storage Mater. 2024, 73, 103856. [Google Scholar] [CrossRef]
- Sun, P.; Ma, L.; Zhou, W.; Qiu, M.; Wang, Z.; Chao, D.; Mai, W. Simultaneous regulation on solvation shell and electrode interface for dendrite-free Zn ion batteries achieved by a low-cost glucose additive. Angew. Chem. 2021, 133, 18395–18403. [Google Scholar] [CrossRef]
- Babij, N.R.; McCusker, E.O.; Whiteker, G.T.; Canturk, B.; Choy, N.; Creemer, L.C.; De Amicis, C.V.; Hewlett, N.M.; Johnson, P.L.; Knobelsdorf, J.A.; et al. NMR chemical shifts of trace impurities: Industrially preferred solvents used in process and green chemistry. Org. Process Res. Dev. 2016, 20, 661–667. [Google Scholar] [CrossRef]
- Huang, C.; Zhao, X.; Liu, S.; Hao, Y.; Tang, Q.; Hu, A.; Liu, Z.; Chen, X. Stabilizing zinc anodes by regulating the electrical double layer with saccharin anions. Adv. Mater. 2021, 33, 2100445. [Google Scholar] [CrossRef]
- Liu, Z.; Wang, R.; Gao, Y.; Zhang, S.; Wan, J.; Mao, J.; Zhang, L.; Li, H.; Hao, J.; Li, G.; et al. Low-cost multi-function electrolyte additive enabling highly stable interfacial chemical environment for highly reversible aqueous zinc ion batteries. Adv. Funct. Mater. 2023, 33, 2308463. [Google Scholar] [CrossRef]
- Ren, H.; Li, S.; Wang, B.; Zhang, Y.; Wang, T.; Lv, Q.; Zhang, X.; Wang, L.; Han, X.; Jin, F.; et al. Molecular-crowding effect mimicking cold-resistant plants to stabilize the zinc anode with wider service temperature range. Adv. Mater. 2023, 35, 2208237. [Google Scholar] [CrossRef] [PubMed]
- Zhao, R.; Wang, H.; Du, H.; Yang, Y.; Gao, Z.; Qie, L.; Huang, Y. Lanthanum nitrate as aqueous electrolyte additive for favourable zinc metal electrodeposition. Nat. Commun. 2022, 13, 3252. [Google Scholar] [CrossRef]
- Qiu, M.; Sun, P.; Wang, Y.; Ma, L.; Zhi, C.; Mai, W. Anion-trap engineering toward remarkable crystallographic reorientation and efficient cation migration of Zn ion batteries. Angew. Chem. Int. Ed. 2022, 61, e202210979. [Google Scholar] [CrossRef]
- Wang, Y.; Mo, L.E.; Zhang, X.; Ren, Y.; Wei, T.; Li, Z.; Huang, Y.; Zhang, H.; Cao, G.; Hu, L. Facet-termination promoted uniform Zn (100) deposition for high-stable zinc-ion batteries. Adv. Energy Mater. 2023, 13, 2301517. [Google Scholar] [CrossRef]
- Han, D.; Wang, Z.; Lu, H.; Li, H.; Cui, C.; Zhang, Z.; Sun, R.; Geng, C.; Liang, Q.; Guo, X.; et al. A self-regulated interface toward highly reversible aqueous zinc batteries. Adv. Energy Mater. 2022, 12, 2102982. [Google Scholar] [CrossRef]
- Zhao, Z.; Zhao, J.; Hu, Z.; Li, J.; Li, J.; Zhang, Y.; Wang, C.; Cui, G. Long-life and deeply rechargeable aqueous Zn anodes enabled by a multifunctional brightener-inspired interphase. Energy Environ. Sci. 2019, 12, 1938–1949. [Google Scholar] [CrossRef]
- Fu, N.; Hu, J.-P.; Wei, X.; Wu, X.-W.; Zhao, Q.-Y.; Xiao, Y.; Wang, S.-H.; Wang, X.-F. Regulating Desolvation and Directional Ion Flux by an Ion-Capturing Carboxyl-Functionalized Separator for Stable Aqueous Zinc Batteries. Nano Lett. 2025, 25, 11347–11355. [Google Scholar] [CrossRef]
- Wang, P.; Xie, X.; Xing, Z.; Chen, X.; Fang, G.; Lu, B.; Zhou, J.; Liang, S.; Fan, H.J. Mechanistic insights of Mg2+-electrolyte additive for high-energy and long-life zinc-ion hybrid capacitors. Adv. Energy Mater. 2021, 11, 2101158. [Google Scholar] [CrossRef]
- Kundu, D.; Adams, B.D.; Duffort, V.; Vajargah, S.H.; Nazar, L.F. A high-capacity and long-life aqueous rechargeable zinc battery using a metal oxide intercalation cathode. Nat. Energy 2016, 1, 16119. [Google Scholar] [CrossRef]
- Wan, F.; Zhang, L.L.; Dai, X.; Wang, X.Y.; Niu, Z.Q.; Chen, J. Aqueous rechargeable zinc/sodium vanadate batteries with enhanced performance from simultaneous insertion of dual carriers. Nat. Commun. 2018, 9, 1656. [Google Scholar] [CrossRef]
- Zhang, Y.; Wan, F.; Huang, S.; Wang, S.; Niu, Z.Q.; Chen, J. A chemically self-charging aqueous zinc-ion battery. Nat. Commun. 2020, 11, 2199. [Google Scholar] [CrossRef]
- Zhao, D.; Wang, X.; Zhang, W.; Zhang, Y.; Lei, Y.; Huang, X.; Zhu, Q.; Liu, J. Unlocking the capacity of vanadium oxide by atomically thin graphene-analogous V2O5· nH2O in aqueous zinc-ion batteries. Adv. Funct. Mater. 2023, 33, 2211412. [Google Scholar] [CrossRef]
- Yu, X.; Chen, M.; Wang, J.; Li, S.; Zhang, H.; Zhao, Q.; Luo, H.; Deng, Y.; Liang, H.; Zhou, J.; et al. Deciphering multi-dimensional interfacial mechanisms via organic cosolvent engineering for sustainable zinc metal batteries. Nat. Commun. 2025, 16, 3820. [Google Scholar] [CrossRef] [PubMed]











| Additive | System | Current Density (mA cm−2) | Areal Capacity (mAh cm−2) | Cycle Life (h) | Coulombic Efficiency (%) | Ref. |
|---|---|---|---|---|---|---|
| Lactobionic acid (LA) | Zn||Zn/Zn||Cu | 5/10 | 5/10 | >1080/500 | -/99.89 | [20] |
| Protein-based AF | Zn||Zn | 1/5 | 1/5 | 2500/500 | -/99.7 | [21] |
| Zinc formate | Zn||Zn/Zn||VO2 | 5/- | 1/- | >2400/- | -/98.1 | [18] |
| Zinc gluconate | Zn||Zn/Zn||Cu | 0.1/- | 0.1/- | >400/- | -/>95 | [22] |
| KG0.15 + DMSO10 (this work) | Zn||Zn/Zn||Cu | 1 | 1 | >1800 | >96 | - |
Disclaimer/Publisher’s Note: The statements, opinions and data contained in all publications are solely those of the individual author(s) and contributor(s) and not of MDPI and/or the editor(s). MDPI and/or the editor(s) disclaim responsibility for any injury to people or property resulting from any ideas, methods, instructions or products referred to in the content. |
© 2025 by the authors. Licensee MDPI, Basel, Switzerland. This article is an open access article distributed under the terms and conditions of the Creative Commons Attribution (CC BY) license (https://creativecommons.org/licenses/by/4.0/).
Share and Cite
Zhang, L.; Chen, D.; Zhao, C.; Tian, H.; Li, G.; He, X.; Xia, G.; Luo, Y.; Yang, D. Synergistic Regulation of Solvation Shell and Anode Interface by Bifunctional Additives for Stable Aqueous Zinc-Ion Batteries. Nanomaterials 2025, 15, 1482. https://doi.org/10.3390/nano15191482
Zhang L, Chen D, Zhao C, Tian H, Li G, He X, Xia G, Luo Y, Yang D. Synergistic Regulation of Solvation Shell and Anode Interface by Bifunctional Additives for Stable Aqueous Zinc-Ion Batteries. Nanomaterials. 2025; 15(19):1482. https://doi.org/10.3390/nano15191482
Chicago/Turabian StyleZhang, Luo, Die Chen, Chenxia Zhao, Haibo Tian, Gaoda Li, Xiaohong He, Gengpei Xia, Yafan Luo, and Dingyu Yang. 2025. "Synergistic Regulation of Solvation Shell and Anode Interface by Bifunctional Additives for Stable Aqueous Zinc-Ion Batteries" Nanomaterials 15, no. 19: 1482. https://doi.org/10.3390/nano15191482
APA StyleZhang, L., Chen, D., Zhao, C., Tian, H., Li, G., He, X., Xia, G., Luo, Y., & Yang, D. (2025). Synergistic Regulation of Solvation Shell and Anode Interface by Bifunctional Additives for Stable Aqueous Zinc-Ion Batteries. Nanomaterials, 15(19), 1482. https://doi.org/10.3390/nano15191482

