Preparation of Ag-Decorated TiO2 Composite Materials and Study on Photocatalytic Performance
Abstract
1. Introduction
2. Experimental Part
2.1. Materials
2.2. Materials Preparation
2.3. Performance Characterization
2.4. Minimum Inhibitory Concentration Test (MIC)
2.5. Photocatalytic Degradation Experiment
2.6. Photothermal Imaging Thermal Test
3. Results and Discussion
4. Conclusions
Supplementary Materials
Author Contributions
Funding
Data Availability Statement
Acknowledgments
Conflicts of Interest
Correction Statement
References
- Zarzzeka, C.; Goldoni, J.; Oliveira, J.R.P.; Lenzi, G.G.; Bagatini, M.D.; Colpini, L.M.S. Photocatalytic Action of Ag/TiO2 Nanoparticles to Emerging Pollutants Degradation: A Comprehensive Review. Sustain. Chem. Environ. 2024, 8, 100177. [Google Scholar] [CrossRef]
- Fu, Y.; Xu, W.Q.; Zhao, Q.; Ran, R.; Li, J.; Jin, Y. Preparation of Silver-Doped Titanium Dioxide/Activated Carbon Composites and Their Photocatalytic Properties. Inorg. Salt Ind. 2022, 54, 117–122. [Google Scholar]
- Zhu, X.D.; Wang, C.Q.; Lei, J.H.; Pei, L.; Zhu, R.; Feng, W.; Kong, Q. UV and Simulated Sunlight Photocatalytic Properties of Anatase Silver-Doped Titanium Dioxide. Mater. Eng. 2020, 48, 59–64. [Google Scholar]
- Podelinska, A.; Neilande, E.; Pankratova, V.; Serga, V.; Bandarenka, H.; Burko, A.; Piskunov, S.; Pankratov, V.A.; Sarakovskis, A.; Popov, A.I.; et al. Structural and Spectroscopic Characterization of TiO2 Nanocrystalline Materials Synthesized by Different Methods. Nanomaterials 2025, 15, 498. [Google Scholar] [CrossRef] [PubMed]
- Khalaf, G.R.; Abbas, K.N.; Abbas, A.M. Effect of Solvent Polarity on the Physical Properties and Antibacterial and Antifungal Activity of TiO2 and Ag/TiO2 Nanoparticles. Braz. J. Phys. 2024, 54, 75. [Google Scholar] [CrossRef]
- Missier, M.S.; Ramakrishnan, M.; Veerasankar, S.; Dhanalakshmi, C.; Ponniah, H.; Rajeshkumar, S. Antibacterial Properties of Lemon Juice-Mediated Zinc Oxide Nanoparticle and Titanium Dioxide Nanoparticle. J. Pharm. Bioallied Sci. 2024, 16 (Suppl. S5), S4421–S4425. [Google Scholar] [CrossRef]
- Wu, S.B.; Wang, J.G.; Xie, Z.Z.; Du, C. Self-Doping Synthesis of Nano-TiO2 with Outstanding Antibacterial Properties under Visible Light. Heliyon 2024, 10, e32356. [Google Scholar] [CrossRef]
- Del Sole, R.; Porto, C.L.; Comparelli, R.; Curri, M.L.; Barucca, G.; Nocito, F.; Bianco, M.; Cataldi, T.R.I.; Fracassi, F.; Milella, A.; et al. Plasma Deposition of Hybrid Nanocomposite Coatings from Aerosol Containing TiO2 and AgNO3. Appl. Surf. Sci. 2025, 709, 163793. [Google Scholar] [CrossRef]
- Cong, S.R.; Li, X.Y.; You, J.Q.; Wang, L.; Cai, J.; Wang, X. Structural Regulation and Photocatalytic Antibacterial Performance of TiO2, Carbon Dots and Their Nanocomposites: A Review. J. Colloid Interface Sci. 2025, 700, 138482. [Google Scholar] [CrossRef]
- Lei, Y. Research Progress of Nanosilver Composite Antimicrobial Materials. China Metal Bull. 2020, 8, 140–141. [Google Scholar]
- Van Viet, P.; Phan, B.T.; Mott, D.; Maenosono, S.; Sang, T.T.; Thi, C.M.; Van Hieu, L. Silver Nanoparticle Loaded TiO2 Nanotubes with High Photocatalytic and Antibacterial Activity Synthesized by Photoreduction Method. J. Photochem. Photobiol. A-Chem. 2018, 352, 106–112. [Google Scholar] [CrossRef]
- Karthikeyan, K.T.; Nithya, A.; Jothivenkatachalam, K. Photocatalytic and Antimicrobial Activities of Chitosan-TiO2 Nanocomposite. Int. J. Biol. Macromol. 2017, 104, 1762–1773. [Google Scholar] [CrossRef]
- Zhao, W.; Duan, J.; Ji, B.; Ma, L.; Yang, Z. Novel Formation of Large Area N-TiO2/Graphene Layered Materials and Enhanced Photocatalytic Degradation of Antibiotics. J. Environ. Chem. Eng. 2020, 8, 102206. [Google Scholar] [CrossRef]
- Kanakaraju, D.; Kutiang, F.D.; Lim, Y.C.; Goh, P.S. Recent Progress of Ag/TiO2 Photocatalyst for Wastewater Treatment: Doping, Co-Doping, and Green Materials Functionalization. Appl. Mater. Today 2022, 27, 1101500. [Google Scholar] [CrossRef]
- Lithi, I.J.; Ahmed Nakib, K.I.; Chowdhury, A.M.S.; Sahadat Hossain, M. A Review on the Green Synthesis of Metal (Ag, Cu, and Au) and Metal Oxide (ZnO, MgO, Co3O4, and TiO2) Nanoparticles Using Plant Extracts for Developing Antimicrobial Properties. Nanoscale Adv. 2025, 7, 2446–2473. [Google Scholar] [CrossRef] [PubMed]
- Song, H.Z.; Lin, Q.B.; Huang, C.X.; Hu, C. Effect of Surface Modification of Nano-Silver-Loaded Titanium Dioxide on The Properties of HDPE Sheets. J. Mater. Sci. Eng. 2019, 37, 934–940. [Google Scholar]
- Soni, V.; Singh, A.N.; Singh, P.; Gupta, A. Photocatalytic Dye-Degradation Activity of Nano-Crystalline Ti1−xMxO2−δ (M = Ag, Pd, Fe, Ni and x = 0, 0.01) for Water Pollution Abatement. RSC Adv. 2022, 12, 18794–18805. [Google Scholar] [CrossRef]
- Chang, L.H.; Cho, C.P. Enhanced Photocatalytic Characteristics by Ag-Sensitized TiO2 Photocatalysts with Mixed Phases. Mater. Chem. Phys. 2019, 229, 683–693. [Google Scholar] [CrossRef]
- Wang, Y.; Li, Y.N.; Sun, Y.N.; Liu, J.J. Preparation of Hydrophilic TiO2 Nano-Arrays and Their Antibacterial Properties. J. Inn. Mong. Univ. 2022, 53, 166–171. [Google Scholar]
- Uthiravel, V.; Narayanamurthi, K.; Raja, V.; Anandhabasker, S.; Kuppusamy, K. Green Synthesis and Characterization of TiO2 and Ag-Doped TiO2 Nanoparticles for Photocatalytic and Antimicrobial Applications. Inorg. Chem. Commun. 2024, 170, 113327. [Google Scholar] [CrossRef]
- Liu, L.; Xue, Z.K.; Gao, T.; Zhao, Q.; Sun, Y.; Wu, Y. Photocatalytic Degradation Performance of Ag-Modified Flexible TiO2 Nanofiber Film. Opt. Mater. 2025, 160, 116720. [Google Scholar] [CrossRef]
- Chakhtouna, H.; Benzeid, H.; Zari, N.; Bouhfid, R. Recent Progress on Ag/TiO2 Photocatalysts: Photocatalytic and Bactericidal Behaviors. Environ. Sci. Pollut. Res. 2021, 28, 44638–44666. [Google Scholar] [CrossRef] [PubMed]
- Khan, G.R.; Malik, S.I. Ag-Enriched TiO2 Nanocoating Apposite for Self-Sanitizing/Self-Sterilizing/Self-Disinfecting of Glass Surfaces. Mater. Chem. Phys. 2022, 282, 125803. [Google Scholar] [CrossRef] [PubMed]
- Habib, Z.; Khan, S.J.; Ahmad, N.M.; Shahzad, H.M.A.; Jamal, Y.; Hashmi, I. Antibacterial Behaviour of Surface Modified Composite Polyamide Nanofiltration (Nf) Membrane By Immobilizing Ag-Doped TiO2 Nanoparticles. Environ. Technol. 2020, 41, 3657–3669. [Google Scholar] [CrossRef]
- Cinelli, G.; Cuomo, F.; Ambrosone, L.; Colella, M.; Ceglie, A.; Venditti, F.; Lopez, F. Photocatalytic degradation of a model textile dye using Carbon-doped titanium dioxide and visible light. J. Water Process Eng. 2017, 20, 71–77. [Google Scholar] [CrossRef]
- Sun, R.Y. Preparation of Ag Synergistic Non-Metal Doped Titanium Dioxide Photocatalytic Material and Its Performance. Master’s Thesis, Bohai University, Jinzhou, China, 2023. [Google Scholar]
- Petica, A.; Florea, A.; Gaidau, C.; Balan, D.; Anicai, L. Synthesis and characterization of silver-titania nanocomposites prepared by electrochemical method with enhanced photocatalytic characteristics, antifungal and antimicrobial activity. J. Mater. Res. Technol. 2019, 8, 41–53. [Google Scholar] [CrossRef]
- Jiang, J.H.; Yang, Y.L.; Fan, L.; Zhu, Y.; Du, J. Preparation of Antimicrobial Peptide Micelles by One-Step Acidification and Study of Their Antimicrobial Properties. J. Polym. Sci. 2021, 52, 1559–1567. [Google Scholar]
- Das, T.K.; Ganguly, S.; Remanan, S.; Das, N.C. Temperature-Dependent Study of Catalytic Ag Nanoparticles Entrapped Resin Nanocomposite towards Reduction of 4-Nitrophenol. Chemistryselect 2019, 4, 3665–3671. [Google Scholar]
- Dong, X.; Ye, J.; Chen, Y.; Tanziela, T.; Jiang, H.; Wang, X. Intelligent peptide-nanorods against drug-resistant bacterial infection and promote wound healing by mild-temperature photothermal therapy. Chem. Eng. J. 2022, 432, 134061. [Google Scholar] [CrossRef]
- Zhu, B.B.; Zhang, W.; Zhang, Z.J.; Zhang, J.; Imran, Z.; Zhang, D. Composite Study of Titanium Dioxide (B)/Glass Fibre Cloth With Photothermal Enhanced Photocatalytic Properties. J. Inorg. Mater. 2019, 34, 961–966. [Google Scholar]
- Ivanova, T.; Harizanova, A.; Koutzarova, T.; Closset, R. Crystallization and Optical Behaviour of Nanocomposite Sol-Gel TiO2: Ag Films. Molecules 2024, 29, 5156. [Google Scholar] [CrossRef]





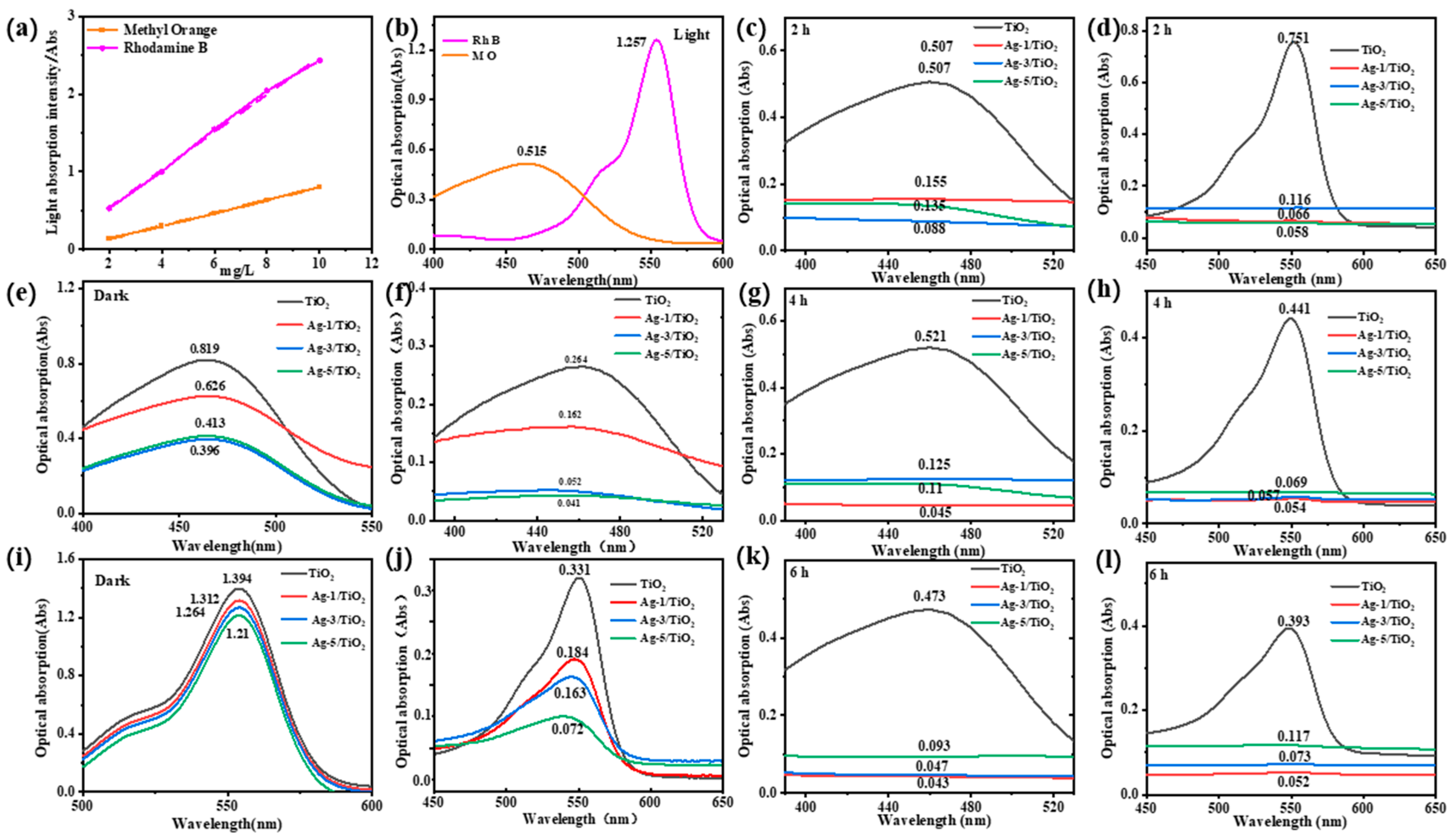
| Time | Sample Name | Rh B Degradation Rate (%) | M O Degradation Rate (%) |
|---|---|---|---|
| 2 h | TiO2 | 60.27 | - |
| Ag-1/TiO2 | 87.85 | 59.32 | |
| Ag-3/TiO2 | 93.10 | 76.90 | |
| Ag-5/TiO2 | 89.42 | 65.57 | |
| 4 h | TiO2 | 61.17 | - |
| Ag-1/TiO2 | 90.20 | 86.81 | |
| Ag-3/TiO2 | 96.47 | 88.19 | |
| Ag-5/TiO2 | 91.38 | 81.13 | |
| 6 h | TiO2 | 62.93 | - |
| Ag-1/TiO2 | 96.31 | 87.66 | |
| Ag-3/TiO2 | 96.63 | 88.71 | |
| Ag-5/TiO2 | 92.71 | 85.59 |
| Culture | Sample Name | MIC (μg/mL) |
|---|---|---|
| E. coli | TiO2 | 0 |
| Ag-1/TiO2 | 250 | |
| Ag-3/TiO2 | 125 | |
| Ag-5/TiO2 | 62.5 | |
| S. aureus | TiO2 | 0 |
| Ag-1/TiO2 | 500 | |
| Ag-3/TiO2 | 125 | |
| Ag-5/TiO2 | 62.5 |
Disclaimer/Publisher’s Note: The statements, opinions and data contained in all publications are solely those of the individual author(s) and contributor(s) and not of MDPI and/or the editor(s). MDPI and/or the editor(s) disclaim responsibility for any injury to people or property resulting from any ideas, methods, instructions or products referred to in the content. |
© 2025 by the authors. Licensee MDPI, Basel, Switzerland. This article is an open access article distributed under the terms and conditions of the Creative Commons Attribution (CC BY) license (https://creativecommons.org/licenses/by/4.0/).
Share and Cite
Dou, H.; Wang, J.; Zhao, Y.; Liu, J.; Li, Y. Preparation of Ag-Decorated TiO2 Composite Materials and Study on Photocatalytic Performance. Nanomaterials 2025, 15, 1383. https://doi.org/10.3390/nano15181383
Dou H, Wang J, Zhao Y, Liu J, Li Y. Preparation of Ag-Decorated TiO2 Composite Materials and Study on Photocatalytic Performance. Nanomaterials. 2025; 15(18):1383. https://doi.org/10.3390/nano15181383
Chicago/Turabian StyleDou, Hongfei, Jie Wang, Yan Zhao, Junjie Liu, and Yannan Li. 2025. "Preparation of Ag-Decorated TiO2 Composite Materials and Study on Photocatalytic Performance" Nanomaterials 15, no. 18: 1383. https://doi.org/10.3390/nano15181383
APA StyleDou, H., Wang, J., Zhao, Y., Liu, J., & Li, Y. (2025). Preparation of Ag-Decorated TiO2 Composite Materials and Study on Photocatalytic Performance. Nanomaterials, 15(18), 1383. https://doi.org/10.3390/nano15181383

