Quasi-Bound States in the Continuum-Enabled Wideband Terahertz Molecular Fingerprint Sensing Using Graphene Metasurfaces
Abstract
1. Introduction
2. Structural Design and Method
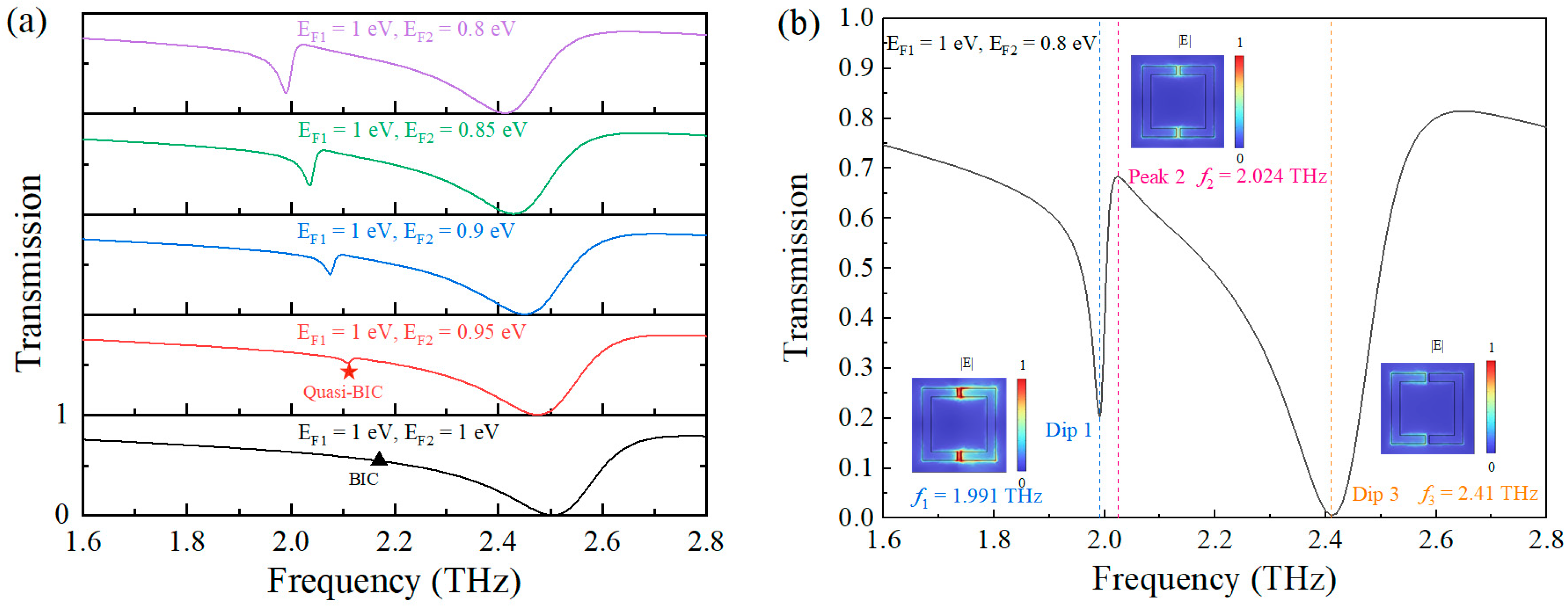
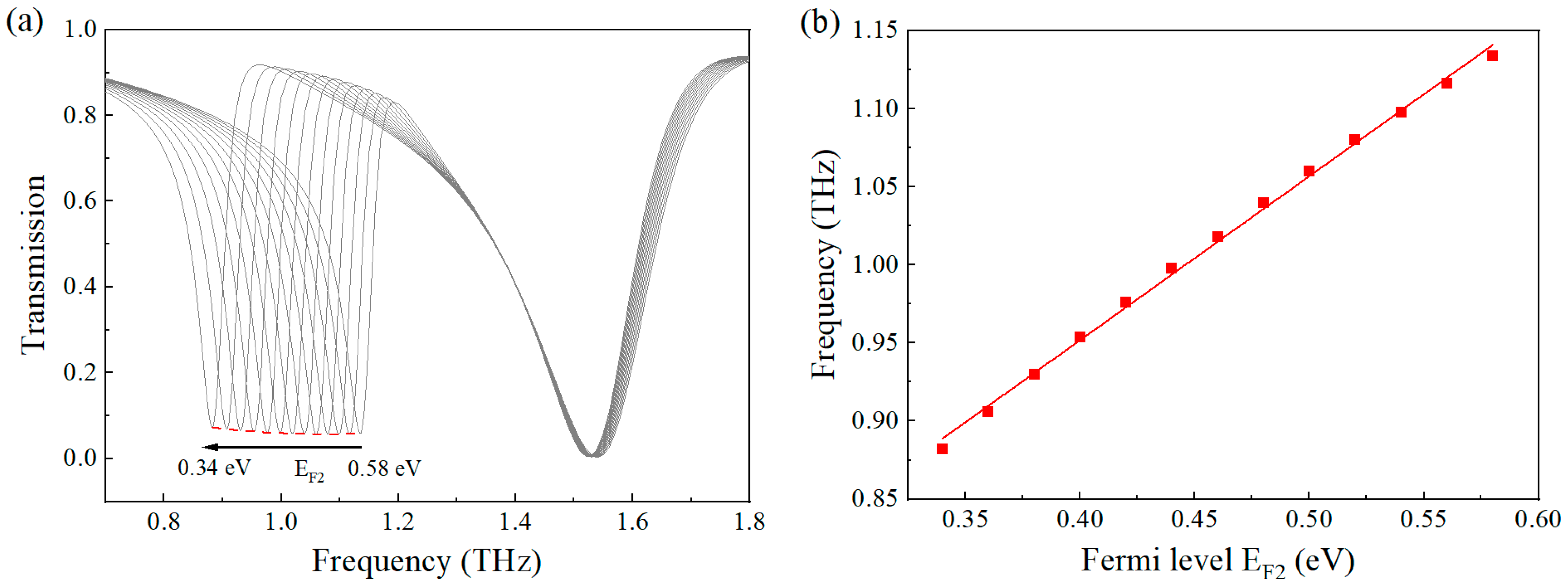
3. Results Analysis and Discussion
4. Conclusions
Author Contributions
Funding
Data Availability Statement
Conflicts of Interest
References
- Lyu, J.; Huang, L.; Chen, L.; Zhu, Y.; Zhuang, S. Review on the terahertz metasensor: From featureless refractive index sensing to molecular identification. Photonics Res. 2024, 12, 194–217. [Google Scholar] [CrossRef]
- Amini, T.; Jahangiri, F.; Ameri, Z.; Hemmatian, M.A. A Review of Feasible Applications of THz Waves in Medical Diagnostics and Treatments. J. Lasers Med. Sci. 2021, 12, e92. [Google Scholar] [CrossRef]
- Wang, P.; Lou, J.; Yu, Y.; Sun, L.; Sun, L.; Fang, G.; Chang, C. An ultra-sensitive metasurface biosensor for instant cancer detection based on terahertz spectra. Nano Res. 2023, 16, 7304–7311. [Google Scholar] [CrossRef]
- Zhao, Z.; Tang, X.; Ji, C.-Y.; Meng, Y.; Liang, X.; Luo, R.; Wang, C.; Wu, Q.; Liu, J.; Dang, C.; et al. Hyperspectral Metachip-Based 3D Spatial Map for Cancer Cell Screening and Quantification. Adv. Mater. 2024, 37, 2412738. [Google Scholar] [CrossRef] [PubMed]
- Galstyan, V.; D’Arco, A.; Di Fabrizio, M.; Poli, N.; Lupi, S.; Comini, E. Detection of volatile organic compounds: From chemical gas sensors to terahertz spectroscopy. Rev. Anal. Chem. 2021, 40, 33–57. [Google Scholar] [CrossRef]
- Moradikouchi, A.; Sparén, A.; Svensson, O.; Folestad, S.; Stake, J.; Rodilla, H. Terahertz frequency-domain sensing combined with quantitative multivariate analysis for pharmaceutical tablet inspection. Int. J. Pharm. 2023, 632, 122545. [Google Scholar] [CrossRef]
- Seo, M.; Park, H.R. Terahertz biochemical molecule-specific sensors. Adv. Opt. Mater. 2020, 8, 1900662. [Google Scholar] [CrossRef]
- Peng, Y.; Huang, J.; Luo, J.; Yang, Z.; Wang, L.; Wu, X.; Zang, X.; Yu, C.; Gu, M.; Hu, Q.; et al. Three-step one-way model in terahertz biomedical detection. PhotoniX 2021, 2, 12. [Google Scholar] [CrossRef]
- Saifullah, Y.; He, Y.; Boag, A.; Yang, G.-M.; Xu, F. Recent Progress in Reconfigurable and Intelligent Metasurfaces: A Comprehensive Review of Tuning Mechanisms, Hardware Designs, and Applications. Adv. Sci. 2022, 9, 2203747. [Google Scholar] [CrossRef]
- Fu, X.J.; Liu, Y.J.; Chen, Q.; Fu, Y.; Cui, T.J. Applications of terahertz spectroscopy in the detection and recognition of substances. Front. Phys. 2022, 10, 869537. [Google Scholar] [CrossRef]
- Liao, J.; Wang, B.; Wang, Z.; Zhu, L. Amino-acid classification based on terahertz absorption spectroscopy with Gaussian process and maximum likelihood. Sens. Actuators B 2023, 388, 133806. [Google Scholar] [CrossRef]
- Liang, C.; Lai, J.; Lou, S.; Hu, Y. Resonant Metasurfaces for Spectroscopic Detection: Physics and Biomedical Applications. Adv. Devices Instrum. 2022, 2022, 9874607. [Google Scholar] [CrossRef]
- Duan, Z.; Hu, F.; Lin, S.; Chen, J.; Zhang, L.; Jiang, M. ZIF-90-Modified Terahertz Metasurface Sensor for Detecting Trace Acetone Gas With High Sensitivity and Specificity. IEEE Sens. J. 2024, 24, 6078–6084. [Google Scholar] [CrossRef]
- Huang, L.; Cao, H.; Chen, L.; Ma, Y.; Yang, Y.; Liu, X.; Wang, W.; Zhu, Y.; Zhuang, S. Terahertz reconfigurable metasensor for specific recognition multiple and mixed chemical substances based on AIT fingerprint enhancement. Talanta 2024, 269, 125481. [Google Scholar] [CrossRef] [PubMed]
- Huang, C.; Liang, L.; Chang, P.; Yao, H.; Yan, X.; Zhang, Y.; Xie, Y. Terahertz Liquid Biosensor Based on A Graphene Metasurface for Ultrasensitive Detection with A Quasi-Bound State in the Continuum. Adv. Mater. 2024, 36, 2310493. [Google Scholar] [CrossRef]
- Hsu, C.W.; Zhen, B.; Stone, A.D.; Joannopoulos, J.D.; Soljačić, M. Bound states in the continuum. Nat. Rev. Mater. 2016, 1, 16048. [Google Scholar] [CrossRef]
- Luo, M.; Zhou, Y.; Zhao, X.; Guo, Z.; Li, Y.; Wang, Q.; Liu, J.; Luo, W.; Shi, Y.; Liu, A.Q.; et al. High-sensitivity optical sensors empowered by quasi-bound states in the continuum in a hybrid metal–dielectric metasurface. ACS Nano 2024, 18, 6477–6486. [Google Scholar] [CrossRef]
- Yu, Y.; Sakanas, A.; Zali, A.R.; Semenova, E.; Yvind, K.; Mørk, J. Ultra-coherent Fano laser based on a bound state in the continuum. Nat. Photonics 2021, 15, 758–764. [Google Scholar] [CrossRef]
- Chen, X.; Fan, W.; Jiang, X.; Yan, H. High-Q Toroidal Dipole Metasurfaces Driven By Bound States in the Continuum for Ultrasensitive Terahertz Sensing. J. Light. Technol. 2022, 40, 2181–2190. [Google Scholar] [CrossRef]
- Liu, B.; Peng, Y.; Jin, Z.; Wu, X.; Gu, H.; Wei, D.; Zhu, Y.; Zhuang, S. Terahertz ultrasensitive biosensor based on wide-area and intense light-matter interaction supported by QBIC. Chem. Eng. J. 2023, 462, 142347. [Google Scholar] [CrossRef]
- Liu, W.; Zhou, X.; Zou, S.; Hu, Z.; Shen, Y.; Cai, M.; Lin, D.; Zhou, J.; Deng, X.; Guo, T.; et al. High-sensitivity polarization-independent terahertz Taichi-like micro-ring sensors based on toroidal dipole resonance for concentration detection of Aβ protein. Nanophotonics 2023, 12, 1177–1187. [Google Scholar] [CrossRef]
- Wang, D.; Luo, S.; Xu, K.-D. A Flexible Terahertz Metamaterial Sensor for Pesticide Sensing and Detection. ACS Appl. Mater. Interfaces 2024, 16, 27969–27978. [Google Scholar] [CrossRef]
- Ding, S.; Ou, J.Y.; Du, L.; Zhu, L.; Zhu, J. Enhancing ultra-wideband THz fingerprint sensing of unpatterned 2D carbon-based nanomaterials. Carbon 2021, 179, 666–676. [Google Scholar] [CrossRef]
- Chen, X.; Zhang, Y.; Cai, G.; Zhuo, J.; Lai, K.; Ye, L. All-dielectric metasurfaces with high Q-factor Fano resonances enabling multi-scenario sensing. Nanophotonics 2022, 11, 4537–4549. [Google Scholar] [CrossRef] [PubMed]
- Liu, X.Y.; Chen, W.; Ma, Y.J.; Xie, Y.N.; Zhou, J.; Zhu, L.G.; Xu, Y.D.; Zhu, J.F. Enhancing THz fingerprint detection on the planar surface of an inverted dielectric metagrating. Photonics Res. 2022, 10, 2836–2845. [Google Scholar] [CrossRef]
- Xie, Y.; Liu, X.; Zhou, J.; Zhang, H.; Lin, J.-Y.; Chen, W.; Zhu, L.-G.; Meng, K.; Liu, Q.H.; Zhu, J. Enhancing trace terahertz fingerprint sensing by the lossy silicon metagrating with a gold mirror. IEEE Trans. Microw. Theory Tech. 2024, 72, 2368–2377. [Google Scholar] [CrossRef]
- Li, C.; Xiang, X.; Wang, P.; Teng, Y.; Chen, H.; Li, W.; Yang, S.; Chen, B.; Zhang, C.; Wu, J.; et al. Imaging-based terahertz pixelated metamaterials for molecular fingerprint sensing. Opt. Express 2024, 32, 27473–27481. [Google Scholar] [CrossRef]
- Leitis, A.; Tittl, A.; Liu, M.; Lee, B.H.; Gu, M.B.; Kivshar, Y.S.; Altug, H. Angle-multiplexed all-dielectric metasurfaces for broadband molecular fingerprint retrieval. Sci. Adv. 2019, 5, eaaw2871. [Google Scholar] [CrossRef]
- Leitis, A.; Tittl, A.; Liu, M.; Yesilkoy, F.; Choi, D.-Y.; Neshev, D.N.; Kivshar, Y.S.; Altug, H. All-dielectric Metasurfaces for Infrared Absorption Spectroscopy Applications. In Proceedings of the 2019 Conference on Lasers and Electro-Optics (CLEO), San Jose, CA, USA, 5–10 May 2019; pp. 1–2. [Google Scholar]
- Zhu, J.; Jiang, S.; Xie, Y.; Li, F.; Du, L.; Meng, K.; Zhu, L.; Zhou, J. Enhancing terahertz molecular fingerprint detection by a dielectric metagrating. Opt. Lett. 2020, 45, 2335–2338. [Google Scholar] [CrossRef]
- Sun, L.; Xu, L.; Wang, J.; Jiao, Y.; Ma, Z.; Ma, Z.; Chang, C.; Yang, X.; Wang, R. A pixelated frequency-agile metasurface for broadband terahertz molecular fingerprint sensing. Nanoscale 2022, 14, 9681–9685. [Google Scholar] [CrossRef]
- Lyu, J.; Shen, S.; Chen, L.; Zhu, Y.; Zhuang, S. Correction: Frequency selective fingerprint sensor: The Terahertz unity platform for broadband chiral enantiomers multiplexed signals and narrowband molecular AIT enhancement. PhotoniX 2023, 4, 31. [Google Scholar] [CrossRef]
- Zhao, R.; Niu, Q.; Zou, Y.; Cui, B.; Yang, Y. A terahertz metasurface biosensor based on electromagnetically induced transparency for fingerprint trace detection. J. Mater. Chem. C 2024, 12, 6106–6113. [Google Scholar] [CrossRef]
- García de Abajo, F.J. Graphene Plasmonics: Challenges and Opportunities. ACS Photonics 2014, 1, 135–152. [Google Scholar] [CrossRef]
- Ju, L.; Geng, B.; Horng, J.; Girit, C.; Martin, M.; Hao, Z.; Bechtel, H.A.; Liang, X.; Zettl, A.; Shen, Y.R.; et al. Graphene plasmonics for tunable terahertz metamaterials. Nat. Nanotechnol. 2011, 6, 630–634. [Google Scholar] [CrossRef] [PubMed]
- Dudek, M.; Kowerdziej, R.; Pianelli, A.; Parka, J. Graphene-based tunable hyperbolic microcavity. Sci. Rep. 2021, 11, 74. [Google Scholar] [CrossRef] [PubMed]
- Rahad, R.; Mohsin, A.S.M.; Bhuian, M.B.H.; Rahman, M.M. Graphene-Metamaterial Based Tunable Broadband Polarization Insensitive Absorber for Terahertz Antenna Design. IEEE Access 2024, 12, 48654–48667. [Google Scholar] [CrossRef]
- Yang, M.; Yao, H.; Lu, Y.; Li, P.; Du, B.; Ma, Q.; Liu, D.; Zhang, T.; Fang, J.; Wang, T.; et al. Graphene-integrated toroidal resonance metasurfaces used for picogram-level detection of chlorothalonil in the terahertz region. Opt. Express 2022, 30, 34034–34042. [Google Scholar] [CrossRef]
- Sajeev, V.; Rane, S.; Ghosh, D.; Acharyya, N.; Roy Choudhury, P.; Mukherjee, A.; Roy Chowdhury, D. Terahertz sensing of reduced graphene oxide nanosheets using sub-wavelength dipole cavities. Sci. Rep. 2023, 13, 12374. [Google Scholar] [CrossRef]
- Haghverdi, A.B.; Khani, A.A.M.; Rezaei, I.; Aghaee, T.; Biabanifard, S. Graphene ribbons based THz toxic gas sensing. Sens. Bio-Sens. Res. 2024, 45, 100672. [Google Scholar] [CrossRef]
- Hanson, G.W. Dyadic Green’s functions and guided surface waves for a surface conductivity model of graphene. J. Appl. Phys. 2008, 103, 064302. [Google Scholar] [CrossRef]
- Mou, N.; Sun, S.; Dong, H.; Dong, S.; He, Q.; Zhou, L.; Zhang, L. Hybridization-induced broadband terahertz wave absorption with graphene metasurfaces. Opt. Express 2018, 26, 11728–11736. [Google Scholar] [CrossRef]
- Hwang, E.H.; Adam, S.; Sarma, S.D. Carrier Transport in Two-Dimensional Graphene Layers. Phys. Rev. Lett. 2007, 98, 186806. [Google Scholar] [CrossRef] [PubMed]
- Guo, W.; Zhang, M.; Xue, Z.; Chu, P.K.; Mei, Y.; Tian, Z.; Di, Z. Extremely High Intrinsic Carrier Mobility and Quantum Hall Effect Of Single Crystalline Graphene Grown on Ge(110). Adv. Mater. Interfaces 2023, 10, 2300482. [Google Scholar] [CrossRef]
- Sensale-Rodriguez, B.; Yan, R.; Kelly, M.M.; Fang, T.; Tahy, K.; Hwang, W.S.; Jena, D.; Liu, L.; Xing, H.G. Broadband graphene terahertz modulators enabled by intraband transitions. Nat. Commun. 2012, 3, 780. [Google Scholar] [CrossRef] [PubMed]
- Liu, B.; Peng, Y.; Hao, Y.; Zhu, Y.; Chang, S.; Zhuang, S. Ultra-wideband terahertz fingerprint enhancement sensing and inversion model supported by single-pixel reconfigurable graphene metasurface. PhotoniX 2024, 5, 10. [Google Scholar] [CrossRef]
- Pura, J.L.; Deop-Ruano, J.R.; Abujetas, D.R.; Giannini, V.; Manjavacas, A.; Sánchez-Gil, J.A. Tunable bound states in the continuum in active metasurfaces of graphene disk dimers. Nanophotonics 2023, 12, 4453–4460. [Google Scholar] [CrossRef]
- Roy, S.; Mondal, S.; Debnath, K. Symmetric Bound States in the Continuum in an All Graphene Metasurface—Design and Sensor Applications. IEEE Sens. J. 2023, 23, 8352–8359. [Google Scholar] [CrossRef]
- Mousavi, S.H.; Kholmanov, I.; Alici, K.B.; Purtseladze, D.; Arju, N.; Tatar, K.; Fozdar, D.Y.; Suk, J.W.; Hao, Y.; Khanikaev, A.B.; et al. Inductive Tuning of Fano-Resonant Metasurfaces Using Plasmonic Response of Graphene in the Mid-Infrared. Nano Lett. 2013, 13, 1111–1117. [Google Scholar] [CrossRef]
- Chen, X.; Fan, W.; Song, C. Multiple plasmonic resonance excitations on graphene metamaterials for ultrasensitive terahertz sensing. Carbon 2018, 133, 416–422. [Google Scholar] [CrossRef]
- Haghighat, M.; Darcie, T.; Smith, L. On chip glucose sensing using guided waves at terahertz frequencies. Sci. Rep. 2024, 14, 30279. [Google Scholar] [CrossRef]
- Roggenbuck, A.; Schmitz, H.; Deninger, A.; Mayorga, I.C.; Hemberger, J.; Güsten, R.; Grüninger, M. Coherent broadband continuous-wave terahertz spectroscopy on solid-state samples. New J. Phys. 2010, 12, 043017. [Google Scholar] [CrossRef]
- Zhong, Y.; Du, L.; Liu, Q.; Zhu, L.; Meng, K.; Zou, Y.; Zhang, B. Ultrasensitive specific sensor based on all-dielectric metasurfaces in the terahertz range. RSC Adv. 2020, 10, 33018–33025. [Google Scholar] [CrossRef]
- Zhu, J.; Li, X.; Yan, D.; Zhang, L. Parameter Multiplexing-Based Terahertz Enhanced Absorption Spectra Using Ultrathin Metal Groove Array. Plasmonics 2024, 19, 3359–3366. [Google Scholar] [CrossRef]








| Ref. | Unit Structure | Analyte | Multiplexing Method | Working Band | Enhance Factor |
|---|---|---|---|---|---|
| [30] | Dielectric metagrating | α-Lactose | Incident angle | THz | ~9 times |
| [24] | Dielectric square nanodisks | Protein A/G | Incident angle | Mid infrared | ~10 times |
| [32] | Metal crossed-slot | α-Lactose | Geometry | THz | ~10 times |
| [31] | Graphene/metal C-shape | Glucose | Geometry/graphene Fermi level | THz | ~5 times |
| [54] | Metal groove array | α-Lactose | Geometry | THz | ~120 times |
| This work | Graphene spit ring | α-Lactose/tyrosine | Graphene Fermi level | THz | ~763/~548 times |
Disclaimer/Publisher’s Note: The statements, opinions and data contained in all publications are solely those of the individual author(s) and contributor(s) and not of MDPI and/or the editor(s). MDPI and/or the editor(s) disclaim responsibility for any injury to people or property resulting from any ideas, methods, instructions or products referred to in the content. |
© 2025 by the authors. Licensee MDPI, Basel, Switzerland. This article is an open access article distributed under the terms and conditions of the Creative Commons Attribution (CC BY) license (https://creativecommons.org/licenses/by/4.0/).
Share and Cite
Zhao, J.; Wang, J. Quasi-Bound States in the Continuum-Enabled Wideband Terahertz Molecular Fingerprint Sensing Using Graphene Metasurfaces. Nanomaterials 2025, 15, 1178. https://doi.org/10.3390/nano15151178
Zhao J, Wang J. Quasi-Bound States in the Continuum-Enabled Wideband Terahertz Molecular Fingerprint Sensing Using Graphene Metasurfaces. Nanomaterials. 2025; 15(15):1178. https://doi.org/10.3390/nano15151178
Chicago/Turabian StyleZhao, Jing, and Jiaxian Wang. 2025. "Quasi-Bound States in the Continuum-Enabled Wideband Terahertz Molecular Fingerprint Sensing Using Graphene Metasurfaces" Nanomaterials 15, no. 15: 1178. https://doi.org/10.3390/nano15151178
APA StyleZhao, J., & Wang, J. (2025). Quasi-Bound States in the Continuum-Enabled Wideband Terahertz Molecular Fingerprint Sensing Using Graphene Metasurfaces. Nanomaterials, 15(15), 1178. https://doi.org/10.3390/nano15151178

