Optimizing the Structure and Performances of Cu-MOF@Ti3C2TX Hybrid Electrodes by Introducing Modulated Ligand
Abstract
1. Introduction
2. Materials and Methods
2.1. Preparation of Samples
2.2. Electrochemical Characterization
3. Results
3.1. Structural Characterization
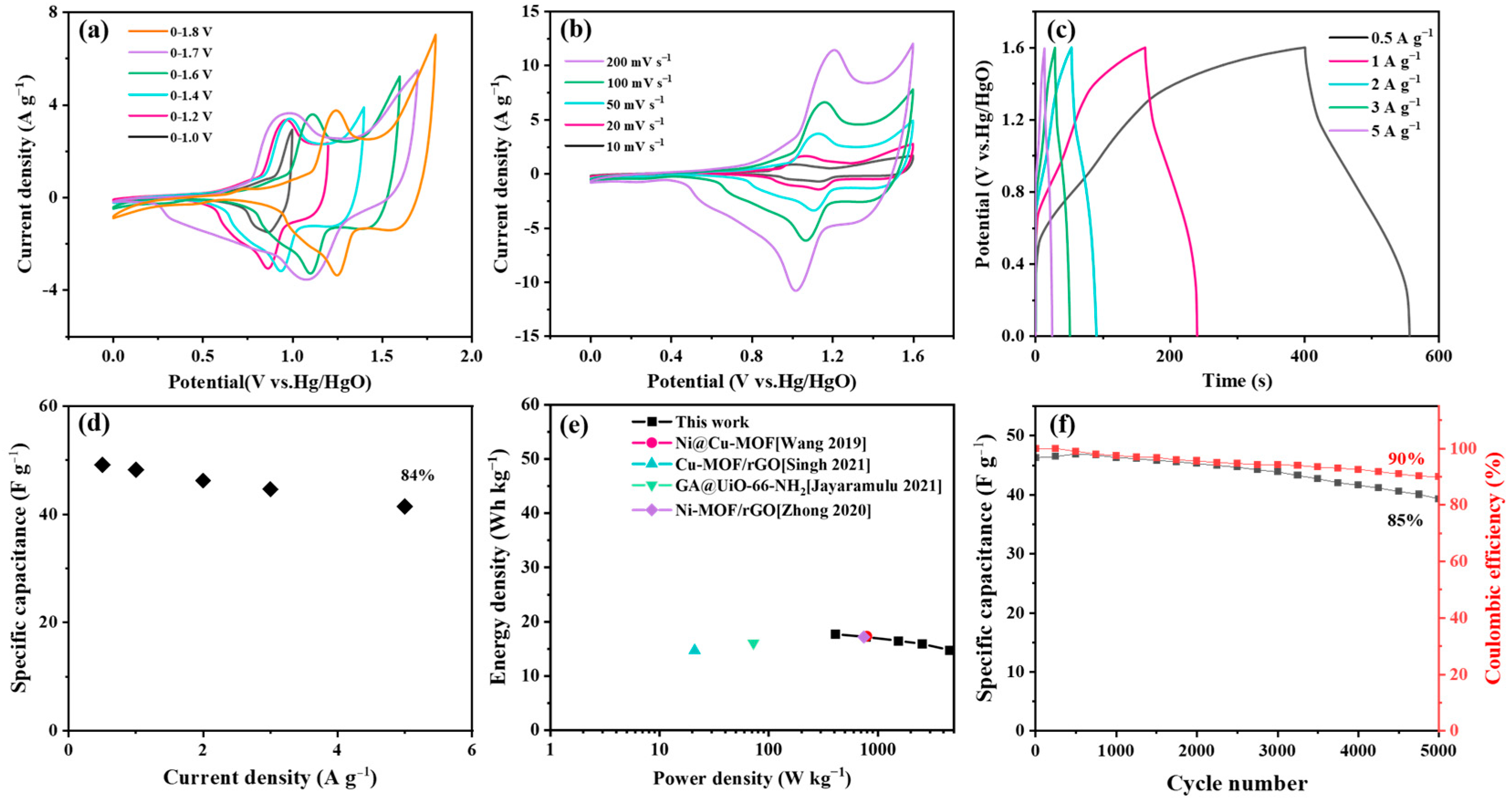
3.2. Electrochemical Performance
3.3. Electrochemical Properties of ASC Device
4. Discussion
5. Conclusions
Supplementary Materials
Author Contributions
Funding
Data Availability Statement
Conflicts of Interest
References
- Du, M.; Li, Q.; Zhao, Y.; Liu, C.-S.; Pang, H. A review of electrochemical energy storage behaviors based on pristine metal–organic frameworks and their composites. Coord. Chem. Rev. 2020, 416, 41. [Google Scholar] [CrossRef]
- Khalil, I.E.; Fonseca, J.; Reithofer, M.R.; Eder, T.; Chin, J.M. Tackling orientation of metal-organic frameworks (MOFs): The quest to enhance MOF performance. Coord. Chem. Rev. 2023, 481, 215043. [Google Scholar] [CrossRef]
- Wang, W.; Chen, D.; Li, F.; Xiao, X.; Xu, Q. Metal-organic-framework-based materials as platforms for energy applications. Chem 2024, 10, 86–133. [Google Scholar] [CrossRef]
- Kang, L.; Liang, Q.; Abdul, Q.; Rashid, A.; Ren, X.; Ma, H. Preparation technology and preservation mechanism of γ-CD-MOFs biaological packaging film loaded with curcumin. Food Chem. 2023, 420, 136142. [Google Scholar] [CrossRef]
- Gan, Z.; Hu, X.; Xu, X.; Zhang, W.; Zou, X.; Shi, J.; Zheng, K.; Arslan, M. A portable test strip based on fluorescent europium-based metal–organic framework for rapid and visual detection of tetracycline in food samples. Food Chem. 2021, 354, 129501. [Google Scholar] [CrossRef]
- Wang, X.; Pan, Y.; Wang, X.; Guo, Y.; Ni, C.; Wu, J.; Hao, C. High performance hybrid supercapacitors assembled with multi-cavity nickel cobalt sulfide hollow microspheres as cathode and porous typha-derived carbon as anode. Ind. Crops Prod. 2022, 189, 115863. [Google Scholar] [CrossRef]
- Marimuthu, M.; Arumugam, S.S.; Sabarinathan, D.; Li, H.; Chen, Q. Metal organic framework based fluorescence sensor for detection of antibiotics. Trends Food Sci. Technol. 2021, 116, 1002–1028. [Google Scholar] [CrossRef]
- Liang, N.; Hu, X.; Zhang, X.; Li, W.; Guo, Z.; Huang, X.; Li, Z.; Zhang, R.; Shen, T.; Zou, X.; et al. Ratiometric Sensing for Ultratrace Tetracycline Using Electrochemically Active Metal–Organic Frameworks as Response Signals. J. Agric. Food Chem. 2023, 71, 7584–7592. [Google Scholar] [CrossRef]
- Chen, X.; Xu, J.; Li, Y.; Zhang, L.; Bi, N.; Gou, J.; Zhu, T.; Jia, L. A novel intelligently integrated MOF-based ratio fluorescence sensor for ultra-sensitive monitoring of TC in water and food samples. Food Chem. 2023, 405, 134899. [Google Scholar] [CrossRef]
- Wang, K.-B.; Xun, Q.; Zhang, Q. Recent progress in metal-organic frameworks as active materials for supercapacitors. EnergyChem 2020, 2, 100025. [Google Scholar] [CrossRef]
- Shao, G.; Yu, R.; Chen, N.; Ye, M.; Liu, X.Y. Stretchable Supercapacitors: From Materials and Structures to Devices. Small Methods 2021, 5, 2000853. [Google Scholar] [CrossRef] [PubMed]
- Linares-Moreau, M.; Brandner, L.A.; Velásquez-Hernández, M.d.J.; Fonseca, J.; Benseghir, Y.; Chin, J.M.; Maspoch, D.; Doonan, C.; Falcaro, P. Fabrication of Oriented Polycrystalline MOF Superstructures. Adv. Mater. 2024, 36, 2309645. [Google Scholar] [CrossRef] [PubMed]
- Wu, C.; Geng, P.; Zhang, G.; Li, X.; Pang, H. Synthesis of Conductive MOFs and Their Electrochemical Application. Small 2024, 20, 2308264. [Google Scholar] [CrossRef]
- Pramanik, B.; Sahoo, R.; Das, M.C. pH-stable MOFs: Design principles and applications. Coord. Chem. Rev. 2023, 493, 215301. [Google Scholar] [CrossRef]
- Zhang, B.; Zhu, Z.; Wang, X.; Liu, X.; Kapteijn, F. Water Adsorption in MOFs: Structures and Applications. Adv. Funct. Mater. 2024, 34, 2304788. [Google Scholar] [CrossRef]
- Wei, D.; Zhang, L.; Wang, Y.; Qiu, S.; Luo, Y.; Zou, Y.; Xu, F.; Sun, L.; Chu, H. Recent progress on construction and applications of metal-organic frameworks-based materials for lithium-ion batteries and supercapacitors. Carbon Neutralization 2024, 3, 396–414. [Google Scholar] [CrossRef]
- Liu, X.; Zhang, Y.; Guo, X.; Pang, H. Electrospun metal–organic framework nanofiber membranes for energy storage and environmental protection. Adv. Fiber Mater. 2022, 4, 1463–1485. [Google Scholar] [CrossRef]
- Sun, R.; Dou, M.; Chen, Z.; Wang, R.; Zheng, X.; Zhang, Y.; Zhou, C.; Menezes, P.W. Engineering strategies of metal-organic frameworks toward advanced batteries. Battery Energy 2023, 2, 20220064. [Google Scholar] [CrossRef]
- Wu, X.-M.; Liu, M.-M.; Guo, H.-X.; Ying, S.-M.; Chen, Z.-X. Polyoxovanadate-based MOFs microsphere constructed from 3-D discrete nano-sheets as supercapacitor. Chin. J. Struct. Chem. 2021, 40, 994–998. [Google Scholar]
- Kumar, Y.A.; Vignesh, S.; Ramachandran, T.; Kumar, K.D.; Al-Sehemi, A.G.; Moniruzzaman, M.; Oh, T.H. Solidifying the future: Metal-organic frameworks in zinc battery development. J. Energy Storage 2024, 97, 112826. [Google Scholar] [CrossRef]
- Huang, M.; Liang, Z.; Huang, J.; Wen, Y.; Zhu, Q.-L.; Wu, X. Introduction of Multicomponent Dyes into 2D MOFs: A Strategy to Fabricate White Light-Emitting MOF Composite Nanosheets. ACS Appl. Mater. Interfaces 2023, 15, 11131–11140. [Google Scholar] [CrossRef] [PubMed]
- Iqbal, M.Z.; Shaheen, M.; Khan, M.W.; Siddique, S.; Farid, S.; Aftab, S.; Wabaidur, S.M. The rise of 2D conductive metal-organic framework: Cu3(HHTP)2 d-π MOF for integrated battery-supercapacitor hybrids. Mater. Today Sustain. 2023, 22, 100331. [Google Scholar] [CrossRef]
- Li, S.; Zhang, L.; Ye, P.; Zhu, M.; Nie, Y.; Dai, Y.; Yang, F. Construction of Battery-Like Hierarchical MOF@MXene Heterostructures for Hybrid Supercapacitors. Cryst. Growth Des. 2024, 24, 7445–7454. [Google Scholar] [CrossRef]
- Liu, Z.; Chen, J.; Que, M.; Zheng, H.; Yang, L.; Yuan, H.; Ma, Y.; Li, Y.; Yang, X. 2D Ti3C2T MXene/MOFs composites derived CoNi bimetallic nanoparticles for enhanced microwave absorption. Chem. Eng. J. 2022, 450, 138442. [Google Scholar] [CrossRef]
- Hussain, N.; Abbas, Z.; Ansari, S.N.; Kedarnath, G.; Mobin, S.M. Phosphorization Engineering on a MOF-Derived Metal Phosphide Heterostructure (Cu/Cu3P@NC) as an Electrode for Enhanced Supercapacitor Performance. Inorg. Chem. 2023, 62, 17083–17092. [Google Scholar] [CrossRef]
- Wang, X.; Xu, Y.; Li, Y.; Li, Y.; Li, Z.; Zhang, W.; Zou, X.; Shi, J.; Huang, X.; Liu, C.; et al. Rapid detection of cadmium ions in meat by a multi-walled carbon nanotubes enhanced metal-organic framework modified electrochemical sensor. Food Chem. 2021, 357, 129762. [Google Scholar] [CrossRef]
- Liu, S.; Zhang, M.; Chen, Q.; Ouyang, Q. Multifunctional Metal–Organic Frameworks Driven Three-Dimensional Folded Paper-Based Microfluidic Analysis Device for Chlorpyrifos Detection. J. Agric. Food Chem. 2024, 72, 14375–14385. [Google Scholar] [CrossRef]
- Guo, T.; Zhou, D.; Liu, W.; Su, J. Recent advances in all-in-one flexible supercapacitors. Sci. China Mater. 2020, 64, 27–45. [Google Scholar] [CrossRef]
- Li, S.; Cheng, Q.; Ye, P.; Zhang, Y.; Zhang, L.; Liu, F.; Qiu, H.; Qu, X.; Nie, Y. Hierarchical two-dimensional Ti-MOF derived from MXene for hybrid supercapacitor electrodes. Appl. Organomet. Chem. 2024, 38, e7547. [Google Scholar] [CrossRef]
- Ghosh, A.; Fathima Thanutty Kallungal, S.; Ramaprabhu, S. 2D Metal-Organic Frameworks: Properties, Synthesis, and Applications in Electrochemical and Optical Biosensors. Biosensors 2023, 13, 123. [Google Scholar] [CrossRef]
- Zheng, Y.; Sun, F.-Z.; Han, X.; Xu, J.; Bu, X.-H. Recent Progress in 2D Metal-Organic Frameworks for Optical Applications. Adv. Opt. Mater. 2020, 8, 2000110. [Google Scholar] [CrossRef]
- Zhang, H.; Mei, H.; Qin, D.; Li, Z.; Hou, Z.; Lu, X.; Xu, B.; Sun, D. Conversion of Amorphous MOF Microspheres into a Nickel Phosphate Battery-Type Electrode Using the “Anticollapse” Two-Step Strategy. Inorg. Chem. 2021, 60, 17094–17102. [Google Scholar] [CrossRef] [PubMed]
- Shi, B.; Zhang, X.; Li, W.; Liang, N.; Hu, X.; Xiao, J.; Wang, D.; Zou, X.; Shi, J. An intrinsic dual-emitting fluorescence sensing toward tetracycline with self-calibration model based on luminescent lanthanide-functionalized metal-organic frameworks. Food Chem. 2023, 400, 133995. [Google Scholar] [CrossRef]
- Odarczenko, M.; Thakare, D.; Li, W.; Venkateswaran, S.P.; Sottos, N.R.; White, S.R. Sunlight-Activated Self-Healing Polymer Coatings. Adv. Eng. Mater. 2020, 22, 1901223. [Google Scholar] [CrossRef]
- Platonova, E.O.; Vlasov, E.; Pavlov, A.A.; Kireynov, A.; Nelyub, V.A.; Polezhaev, A.V. Self-healing polyurethane based on a difuranic monomer from biorenewable source. J. Appl. Polym. Sci. 2019, 136, 47869. [Google Scholar] [CrossRef]
- Chang, K.; Jia, H.; Gu, S.-Y. A transparent, highly stretchable, self-healing polyurethane based on disulfide bonds. Eur. Polym. J. 2019, 112, 822–831. [Google Scholar] [CrossRef]
- Guo, M.; Pitet, L.M.; Wyss, H.M.; Vos, M.; Dankers, P.Y.W.; Meijer, E.W. Tough Stimuli-Responsive Supramolecular Hydrogels with Hydrogen-Bonding Network Junctions. J. Am. Chem. Soc. 2014, 136, 6969–6977. [Google Scholar] [CrossRef]
- Li, G.; Li, S.; Ahmed, J.; Tian, W.; Li, L. Flexible perovskite photodetector with room-temperature self-healing capability without external trigger. InfoMat 2024, 6, e12594. [Google Scholar] [CrossRef]
- Liu, H.; Huang, H.; Wu, X.; Peng, H.; Li, Z.; Hu, J.; Yu, Q. Effects of external multi-ions and wet-dry cycles in a marine environment on autogenous self-healing of cracks in cement paste. Cem. Concr. Res. 2019, 120, 198–206. [Google Scholar] [CrossRef]
- Guo, M.; Li, W.; Han, N.; Wang, J.; Su, J.; Li, J.; Zhang, X. Novel Dual-Component Microencapsulated Hydrophobic Amine and Microencapsulated Isocyanate Used for Self-Healing Anti-Corrosion Coating. Polymers 2018, 10, 319. [Google Scholar] [CrossRef]
- Li, H.; Xin, L.; Gao, J.; Shao, Y.; Zhang, Z.; Ren, L. Underwater Bionic Self-Healing Superhydrophobic Coating with the Synergetic Effect Of Hydrogen Bonds and Self-Formed Bubbles. Small 2024, 20, 2309012. [Google Scholar] [CrossRef]
- Das, M.; Baran Bhattacharya, A.; Rahman Parathodika, A.; Naskar, K. Room temperature Self-healable and extremely stretchable elastomer with improved mechanical Properties: Exploring a simplistic Metal-Ligand interaction. Eur. Polym. J. 2022, 174, 111341. [Google Scholar] [CrossRef]
- Rahimpour, S.; Luo, L.; Teimuri-Mofrad, R. Preparation of ferrocenyl-furan modified graphene oxide via Diels-Alder click reaction and using of its polypyrrole nanocomposites as supercapacitor electrode material. Electrochim. Acta 2022, 416, 140285. [Google Scholar] [CrossRef]
- Sun, Z.; Zhang, J.; Ye, F.; Wang, W.; Wang, G.; Zhang, Z.; Li, S.; Zhou, Y.; Cai, J. Vulcanization treatment: An effective way to improve the electrochemical cycle stability of polyaniline in supercapacitors. J. Power Sources 2019, 443, 227246. [Google Scholar] [CrossRef]
- Wang, P.; Wang, Z.; Zhang, X.; Liao, Y.; Duan, W.; Yue, Y.; Zhang, Y. Stretchable Superhydrophobic Supercapacitor with Excellent Self-Healing Ability. Energy Fuels 2023, 37, 5567–5576. [Google Scholar] [CrossRef]
- Tee, B.C.K.; Wang, C.; Allen, R.; Bao, Z. An electrically and mechanically self-healing composite with pressure- and flexion-sensitive properties for electronic skin applications. Nat. Nanotechnol. 2012, 7, 825–832. [Google Scholar] [CrossRef]
- Nakahata, M.; Takashima, Y.; Yamaguchi, H.; Harada, A. Redox-responsive self-healing materials formed from host–guest polymers. Nat. Commun. 2011, 2, 511. [Google Scholar] [CrossRef] [PubMed]
- Hang, X.; Xue, Y.; Cheng, Y.; Du, M.; Du, L.; Pang, H. From Co-MOF to CoNi-MOF to Ni-MOF: A Facile Synthesis of 1D Micro-/Nanomaterials. Inorg. Chem. 2021, 60, 13168–13176. [Google Scholar] [CrossRef]
- Mashkoor, F.; Lee, S.J.; Yi, H.; Noh, S.M.; Jeong, C. Self-Healing Materials for Electronics Applications. Int. J. Mol. Sci. 2022, 23, 622. [Google Scholar] [CrossRef]
- Mathis, T.S.; Kurra, N.; Wang, X.; Pinto, D.; Simon, P.; Gogotsi, Y. Energy Storage Data Reporting in Perspective—Guidelines for Interpreting the Performance of Electrochemical Energy Storage Systems. Adv. Energy Mater. 2019, 9, 1902007. [Google Scholar] [CrossRef]
- Sun, J.; Liu, Y.; Wu, G.; Zhang, Y.; Zhang, R.; Li, X.J. A Fusion Parameter Method for Classifying Freshness of Fish Based on Electrochemical Impedance Spectroscopy. J. Food Qual. 2021, 2021, 6664291. [Google Scholar] [CrossRef]
- Li, Y.; Meng, S.; Dong, N.; Wei, Y.; Wang, Y.; Li, X.; Liu, D.; You, T. Space-Confined Electrochemical Aptasensing with Conductive Hydrogels for Enhanced Applicability to Aflatoxin B1 Detection. J. Agric. Food Chem. 2023, 71, 14806–14813. [Google Scholar] [CrossRef] [PubMed]
- Liu, S.; Meng, S.; Wang, M.; Li, W.; Dong, N.; Liu, D.; Li, Y.; You, T. In-depth interpretation of aptamer-based sensing on electrode: Dual-mode electrochemical-photoelectrochemical sensor for the ratiometric detection of patulin. Food Chem. 2023, 410, 135450. [Google Scholar] [CrossRef] [PubMed]
- Poonam; Sharma, K.; Arora, A.; Tripathi, S.K. Review of supercapacitors: Materials and devices. J. Energy Storage 2019, 21, 801–825. [Google Scholar] [CrossRef]
- Bi, S.; Banda, H.; Chen, M.; Niu, L.; Chen, M.; Wu, T.; Wang, J.; Wang, R.; Feng, J.; Chen, T.; et al. Molecular understanding of charge storage and charging dynamics in supercapacitors with MOF electrodes and ionic liquid electrolytes. Nat. Mater. 2020, 19, 552–558. [Google Scholar] [CrossRef]
- Acharya, D.; Pathak, I.; Dahal, B.; Lohani, P.C.; Bhattarai, R.M.; Muthurasu, A.; Kim, T.; Ko, T.H.; Chhetri, K.; Kim, H.Y. Immoderate nanoarchitectures of bimetallic MOF derived Ni–Fe–O/NPC on porous carbon nanofibers as freestanding electrode for asymmetric supercapacitors. Carbon 2023, 201, 12–23. [Google Scholar] [CrossRef]
- Kim, M.; Xin, R.; Earnshaw, J.; Tang, J.; Hill, J.P.; Ashok, A.; Nanjundan, A.K.; Kim, J.; Young, C.; Sugahara, Y.; et al. MOF-derived nanoporous carbons with diverse tunable nanoarchitectures. Nat. Protoc. 2022, 17, 2990–3027. [Google Scholar] [CrossRef]
- Wang, C.; Kim, J.; Tang, J.; Kim, M.; Lim, H.; Malgras, V.; You, J.; Xu, Q.; Li, J.; Yamauchi, Y. New strategies for novel MOF-derived carbon materials based on nanoarchitectures. Chem 2020, 6, 19–40. [Google Scholar] [CrossRef]
- Zheng, S.; Sun, Y.; Xue, H.; Braunstein, P.; Huang, W.; Pang, H. Dual-ligand and hard-soft-acid-base strategies to optimize metal-organic framework nanocrystals for stable electrochemical cycling performance. Natl. Sci. Rev. 2022, 9, nwab197. [Google Scholar] [CrossRef]
- Zhao, L.; Yang, J.; Gong, M.; Li, K.; Gu, J. Specific Screening of Prostate Cancer Individuals Using an Enzyme-Assisted Substrate Sensing Platform Based on Hierarchical MOFs with Tunable Mesopore Size. J. Am. Chem. Soc. 2021, 143, 15145–15151. [Google Scholar] [CrossRef]
- Wang, S.; Wang, J.; Zeng, M.; Yang, J.; Hu, N.; Su, Y.; Zhou, Z.; Pang, H.; Yang, Z. Synthesis of nickel-metal organic framework nanoplates with pyridine modulation and application to supercapacitors. J. Energy Storage 2021, 38, 102528. [Google Scholar] [CrossRef]
- Li, Z.-X.; Yang, B.-L.; Zou, K.-Y.; Kong, L.; Yue, M.-L.; Duan, H.-H. Novel porous carbon nanosheet derived from a 2D Cu-MOF: Ultrahigh porosity and excellent performances in the supercapacitor cell. Carbon 2019, 144, 540–548. [Google Scholar] [CrossRef]
- Otun, K.O.; Zong, S.; Hildebrandt, D.; Liu, X. Self-assembled Zn-functionalized Ni-MOF as an efficient electrode for electrochemical energy storage. J. Phys. Chem. Solids 2022, 167, 110779. [Google Scholar] [CrossRef]
- Jo, Y.H.; Zhou, B.; Jiang, K.; Li, S.; Zuo, C.; Gan, H.; He, D.; Zhou, X.; Xue, Z. Self-healing and shape-memory solid polymer electrolytes with high mechanical strength facilitated by a poly (vinyl alcohol) matrix. Polym. Chem. 2019, 10, 6561–6569. [Google Scholar] [CrossRef]
- Saraf, M.; Rajak, R.; Mobin, S.M. A fascinating multitasking Cu-MOF/rGO hybrid for high performance supercapacitors and highly sensitive and selective electrochemical nitrite sensors. J. Mater. Chem. A 2016, 4, 16432–16445. [Google Scholar] [CrossRef]
- Hussain, I.; Kathiresan, M.; Singh, K.; Kalidasan, B.; Mendhe, A.C.; Islam, M.N.; Meng, K.; Aslam, M.K.; Hanif, M.B.; Al Zoubi, W.; et al. Interface and surface engineering of MXenes and COFs for energy storage and conversion. InfoMat 2025, e70011. [Google Scholar] [CrossRef]
- Wang, J.; Du, C.F.; Xue, Y.; Tan, X.; Kang, J.; Gao, Y.; Yu, H.; Yan, Q. MXenes as a versatile platform for reactive surface modification and superior sodium-ion storages. Exploration 2021, 1, 20210024. [Google Scholar] [CrossRef]
- Nguyen, D.K.; Schepisi, I.M.; Amir, F.Z. Extraordinary cycling stability of Ni3(HITP)2 supercapacitors fabricated by electrophoretic deposition: Cycling at 100,000 cycles. Chem. Eng. J. 2019, 378, 122150. [Google Scholar] [CrossRef]
- Li, W.-H.; Ding, K.; Tian, H.-R.; Yao, M.-S.; Nath, B.; Deng, W.-H.; Wang, Y.; Xu, G. Conductive Metal–Organic Framework Nanowire Array Electrodes for High-Performance Solid-State Supercapacitors. Adv. Funct. Mater. 2017, 27, 1702067. [Google Scholar] [CrossRef]
- Zhang, X.; Qu, N.; Yang, S.; Lei, D.; Liu, A.; Zhou, Q. Cobalt induced growth of hollow MOF spheres for high performance supercapacitors. Mater. Chem. Front. 2021, 5, 482–491. [Google Scholar] [CrossRef]
- Wang, Y.; Liu, Y.; Wang, H.; Liu, W.; Li, Y.; Zhang, J.; Hou, H.; Yang, J. Ultrathin NiCo-MOF Nanosheets for High-Performance Supercapacitor Electrodes. ACS Appl. Energy Mater. 2019, 2, 2063–2071. [Google Scholar] [CrossRef]
- Wang, Y.; Nie, S.; Liu, Y.; Yan, W.; Lin, S.; Cheng, G.; Yang, H.; Luo, J. Room-Temperature Fabrication of a Nickel-Functionalized Copper Metal–Organic Framework (Ni@Cu-MOF) as a New Pseudocapacitive Material for Asymmetric Supercapacitors. Polymers 2019, 11, 821. [Google Scholar] [CrossRef] [PubMed]
- Singh, M.K.; Gupta, A.K.; Krishnan, S.; Guha, N.; Marimuthu, S.; Rai, D.K. A new hierarchically porous Cu-MOF composited with rGO as an efficient hybrid supercapacitor electrode material. J. Energy Storage 2021, 43, 103301. [Google Scholar] [CrossRef]
- Jayaramulu, K.; Horn, M.; Schneemann, A.; Saini, H.; Bakandritsos, A.; Ranc, V.; Petr, M.; Stavila, V.; Narayana, C.; Scheibe, B.; et al. Covalent Graphene-MOF Hybrids for High-Performance Asymmetric Supercapacitors. Adv. Mater. 2021, 33, 2004560. [Google Scholar] [CrossRef] [PubMed]
- Zhong, Y.; Cao, X.; Ying, L.; Cui, L.; Barrow, C.; Yang, W.; Liu, J. Homogeneous nickel metal-organic framework microspheres on reduced graphene oxide as novel electrode material for supercapacitors with outstanding performance. J. Colloid Interface Sci. 2020, 561, 265–274. [Google Scholar] [CrossRef]
- Ren, Y.-F.; He, Z.-L.; Zhao, H.-Z.; Zhu, T. Fabrication of MOF-derived mixed metal oxides with carbon residues for pseudocapacitors with long cycle life. Rare Met. 2022, 41, 830–835. [Google Scholar] [CrossRef]
- Han, Y.; Hou, X.-Y.; Wang, X.; Fu, F.; Tang, L.; Wang, J.-J. A Capacity Supercapacitor Electrode Material of Ni-MOF with High Surface Area and Porosity. Chin. J. Struct. Chem. 2019, 38, 1779–1786. [Google Scholar]
- Kim, M.; Nara, H.; Asakura, Y.; Hamada, T.; Yan, P.; Earnshaw, J.; An, M.; Eguchi, M.; Yamauchi, Y. End-to-End Pierced Carbon Nanosheets with Meso-Holes. Adv. Sci. 2025, 12, 2409546. [Google Scholar] [CrossRef]









| Electrode Materials | Electrolyte | Cyclic Stability | Ref. |
|---|---|---|---|
| Ni3(HITP)2 | 0.5 M Na2SO4 | 84% (after 10,000 cycles 0.1 mA cm−2) | [68] |
| Cu-CAT NWAs | 3 M KCl | 80% (after 5000 cycles 0.5 A g−1) | [69] |
| Ni/Co-BTC (2:1) | 6 M KOH | 60% (after 3000 cycles 5.0 A g−1) | [70] |
| NiCo-MOF | 2 M KOH | 76.3% (after 5000 cycles 5.0 A g−1) | [71] |
| Ni@Cu-MOF | 6 M KOH | 63% (after 5000 cycles 1.0 A g−1) | [72] |
| Cu-MOF/rGO | 1 M Na2SO4 | 83.3% (after 4000 cycles 10 A g−1) | [73] |
| Cu-MOF@Ti3C2TX-20%DAP-UPy | 1 M KOH | 91.1% (after 5000 cycles 1.0 A g−1) | This work |
Disclaimer/Publisher’s Note: The statements, opinions and data contained in all publications are solely those of the individual author(s) and contributor(s) and not of MDPI and/or the editor(s). MDPI and/or the editor(s) disclaim responsibility for any injury to people or property resulting from any ideas, methods, instructions or products referred to in the content. |
© 2025 by the authors. Licensee MDPI, Basel, Switzerland. This article is an open access article distributed under the terms and conditions of the Creative Commons Attribution (CC BY) license (https://creativecommons.org/licenses/by/4.0/).
Share and Cite
Li, S.; Qu, X.; Liu, F.; Ye, P.; Yang, B.; Cheng, Q.; Yang, M.; Nie, Y.; Zhu, M. Optimizing the Structure and Performances of Cu-MOF@Ti3C2TX Hybrid Electrodes by Introducing Modulated Ligand. Nanomaterials 2025, 15, 864. https://doi.org/10.3390/nano15110864
Li S, Qu X, Liu F, Ye P, Yang B, Cheng Q, Yang M, Nie Y, Zhu M. Optimizing the Structure and Performances of Cu-MOF@Ti3C2TX Hybrid Electrodes by Introducing Modulated Ligand. Nanomaterials. 2025; 15(11):864. https://doi.org/10.3390/nano15110864
Chicago/Turabian StyleLi, Sumin, Xiaokun Qu, Feng Liu, Pingwei Ye, Bo Yang, Qiang Cheng, Mengkun Yang, Yijing Nie, and Maiyong Zhu. 2025. "Optimizing the Structure and Performances of Cu-MOF@Ti3C2TX Hybrid Electrodes by Introducing Modulated Ligand" Nanomaterials 15, no. 11: 864. https://doi.org/10.3390/nano15110864
APA StyleLi, S., Qu, X., Liu, F., Ye, P., Yang, B., Cheng, Q., Yang, M., Nie, Y., & Zhu, M. (2025). Optimizing the Structure and Performances of Cu-MOF@Ti3C2TX Hybrid Electrodes by Introducing Modulated Ligand. Nanomaterials, 15(11), 864. https://doi.org/10.3390/nano15110864

