Adsorption of Metal Ions from Single and Binary Aqueous Systems on Bio-Nanocomposite, Alginate-Clay
Abstract
1. Introduction
2. Materials and Methods
2.1. Materials and Preparation of Adsorbent
2.2. Batch Adsorption Studies
2.3. Characterization of Bio-Nanocomposite Beads
2.3.1. Morphology Analysis and Specific Surface Area
2.3.2. Elemental Analysis
2.3.3. pH of Point Zero Charge (pHPZC) and Zeta Potential for the Bio-Nanocomposite Beads
2.3.4. XRD Analysis
3. Results and Discussion
3.1. Characterization of Bio-Nanocomposite Beads
3.2. Single Component Systems Adsorption of Heavy Metal Ions by the Bio-Nanocomposite Beads
3.2.1. Determination of m/V Ratio
3.2.2. Effect of Contact Time
3.2.3. Effect of pH Solution
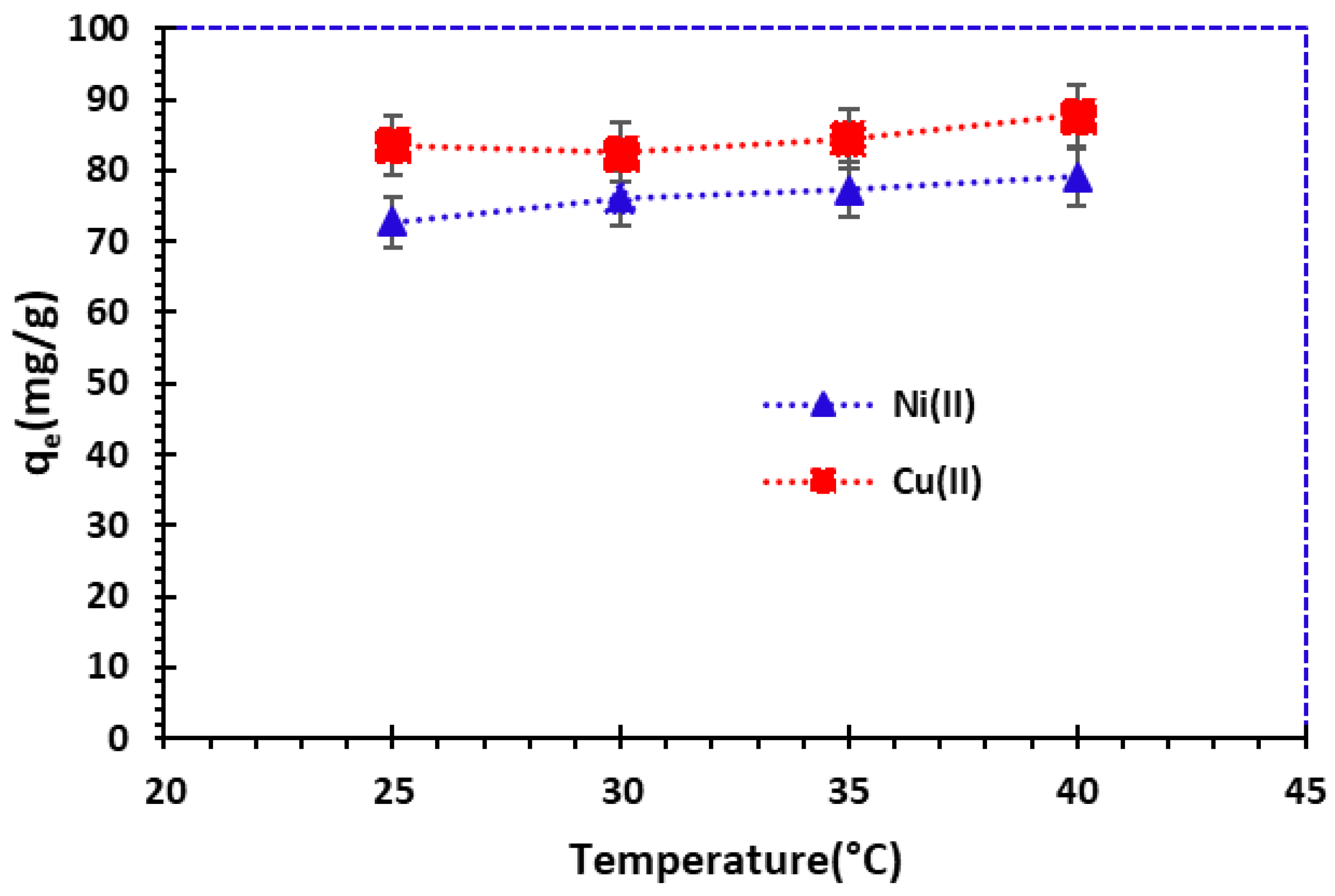
3.2.4. Effect of Temperature
3.3. Adsorption Kinetic Models
- -
- External diffusion, which means the mass transfer of the adsorbate from the bulk solution to the external surface of the adsorbent;
- -
- Internal diffusion of the adsorbate through the pores of the adsorbent;
- -
- The adsorption itself on the active centers of the adsorbent.
3.3.1. Pseudo-First-Order Kinetics Model
3.3.2. Pseudo-Second-Order Kinetics Model
3.3.3. Elovich Kinetic Model
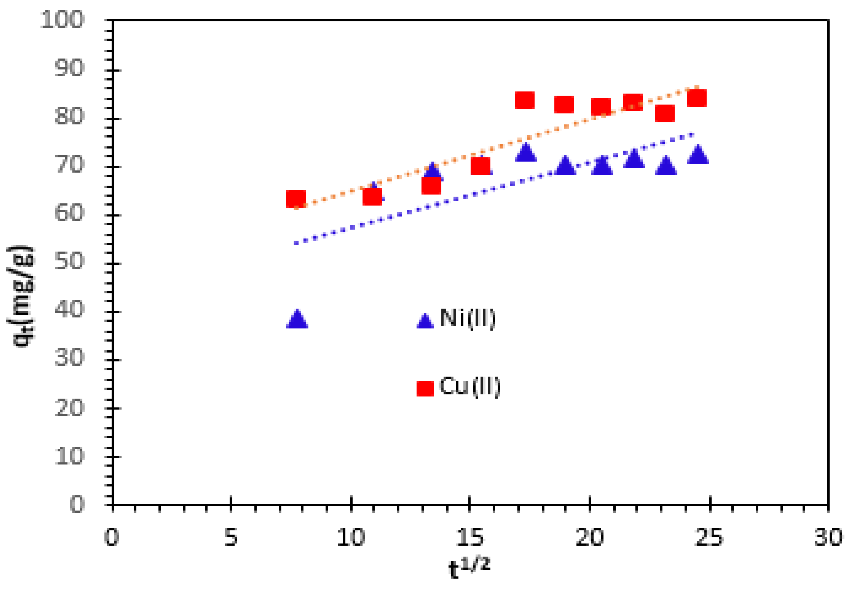
3.3.4. Intra-Particle Diffusion Kinetics Model
3.4. Isotherm Study
3.4.1. Langmuir Adsorption Isotherm
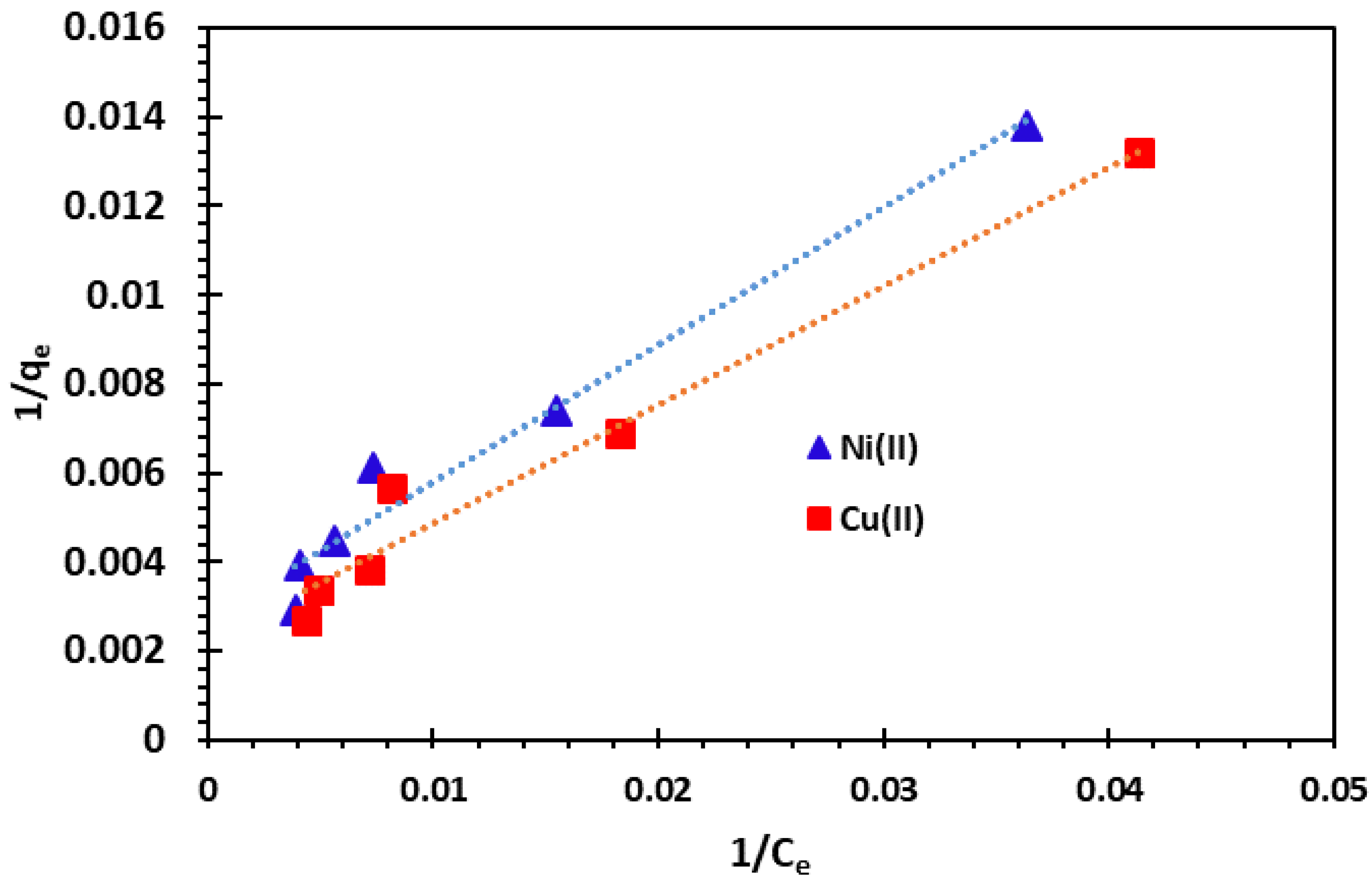
3.4.2. Freundlich Adsorption Isotherm
3.4.3. Temkin Isotherm
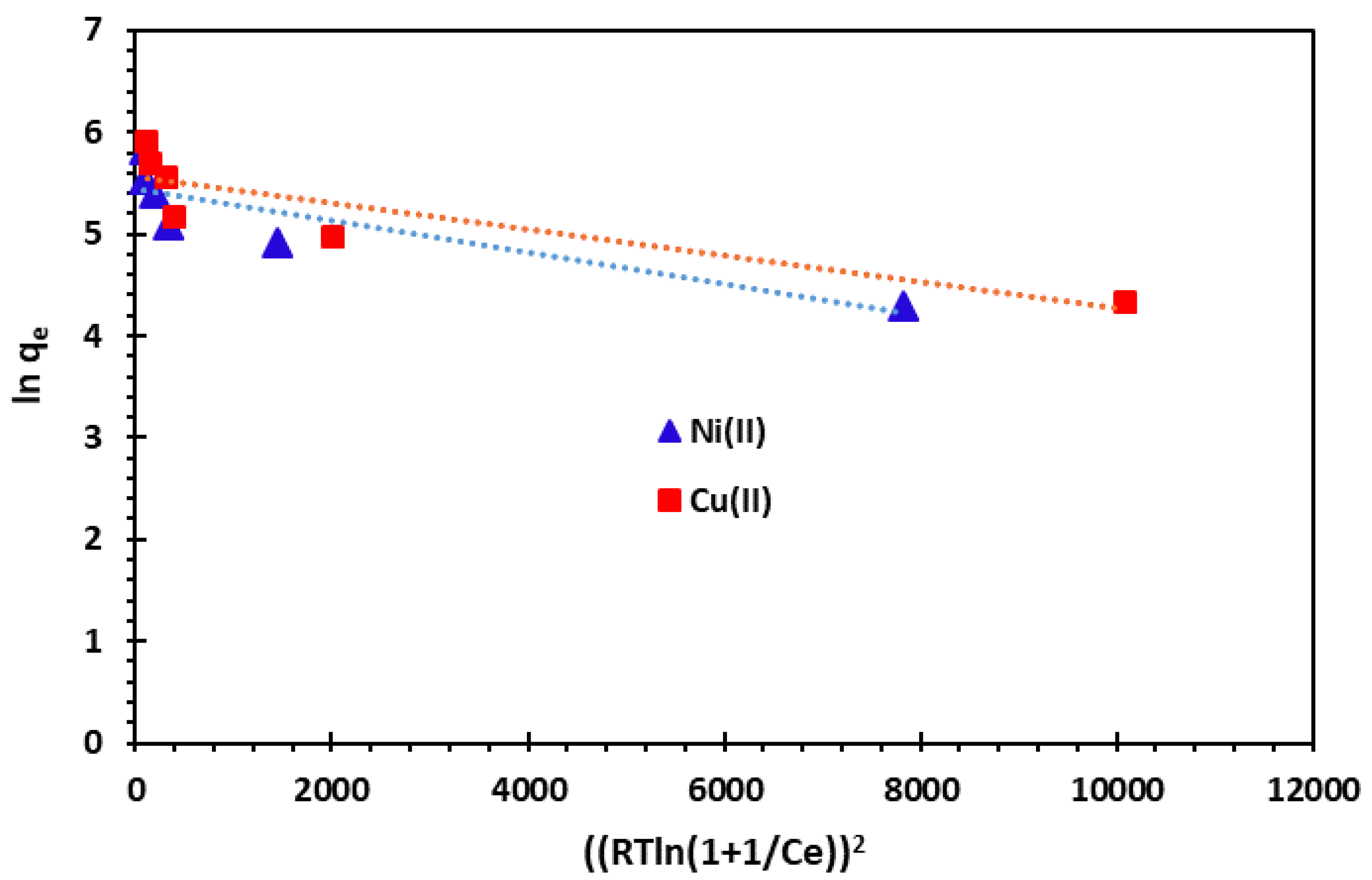
3.4.4. Dubinin-Radushkevich (D-R) Isotherm
3.5. Thermodynamic Study
3.6. Binary Component Systems Adsorption
- qL, mix/ qL, single > 1: adsorption is promoted by the presence of other ions;
- qL, mix/ qL, single ˂ 1: adsorption is suppressed by other ions;
- qL, mix/ qL, single = 1: there is no visible net interaction.
3.7. Adsorption Mechanisms
3.8. Comparison with Previous Literature Data
4. Conclusions
Author Contributions
Funding
Data Availability Statement
Acknowledgments
Conflicts of Interest
References
- Mashkoor, F.; Nasar, A.; Inamuddin. Carbon nanotube-based adsorbents for the removal of dyes from waters: A review. Environ. Chem. Lett. 2020, 18, 605–629. [Google Scholar] [CrossRef]
- Boukarma, L.; Aziam, R.; Abali, M.; Carja, G.; Soudani, A.; Zerbet, M.; Sinan, F.; Chiban, M. Algal biomass valorization for the removal of heavy metal ions. In Inorganic-Organic Composites for Water and Wastewater Treatment. Environmental Footprints and Eco-design of Products and Processes; Lichtfouse, E., Muthu, S.S., Khadir, A., Eds.; Springer: Singapore, 2022; pp. 267–302. [Google Scholar]
- Tchounwou, P.B.; Yedjou, C.G.; Patlolla, A.K.; Sutton, D.J. Molecular, Clinical and Environmental Toxicology. Experientia Supplementum; Luch, A., Ed.; Springer: Basel, Switzerland, 2012; Volume 101, pp. 133–164. [Google Scholar]
- Valavanidis, A.; Vlachogianni, T. Metal Pollution in Ecosystems. Ecotoxicology Studies and Risk Assessment in the Marine Environment; Dept. of Chemistry, University of Athens University Campus: Zografou, Greece, 2010; p. 15784. [Google Scholar]
- Bailey, S.E.; Olin, T.J.; Bricka, R.M.; Adrian, D.D. A review of potentially low-cost sorbents for heavy metals. Water Res. 1999, 33, 2469–2479. [Google Scholar] [CrossRef]
- Valko, M.M.H.C.M.; Morris, H.; Cronin, M.T.D. Metals, toxicity and oxidative stress. Curr. Med. Chem. 2005, 12, 1161–1208. [Google Scholar] [CrossRef] [PubMed]
- Singh, S.; Wasewar, K.L.; Kansal, S.K. Low-cost adsorbents for removal of inorganic impurities from wastewater. In Inorganic Pollutants in Water; Devi, P., Singh, P., Kansal, S.K., Eds.; Elsevier: Amsterdam, The Netherlands, 2022; pp. 173–203. [Google Scholar]
- Cho, H.J.; Baek, K.; Jeon, J.K.; Park, S.H.; Suh, D.J.; Park, Y.K. Removal characteristics of copper by marine macro-algae-derived chars. Chem. Eng. J. 2013, 217, 205–211. [Google Scholar] [CrossRef]
- Lucaci, A.R.; Bulgariu, D.; Popescu, M.C.; Bulgariu, L. Adsorption of Cu (II) ions on adsorbent materials obtained from marine red algae Callithamnion corymbosum sp. Water 2020, 12, 372. [Google Scholar] [CrossRef]
- Kadirvelu, K.; Faur-Brasquet, C.; Cloirec, P.L. Removal of Cu (II), Pb (II), and Ni (II) by adsorption onto activated carbon cloths. Langmuir 2000, 16, 8404–8409. [Google Scholar] [CrossRef]
- Chiban, M.; Soudani, A.; Sinan, F.; Tahrouch, S.; Persin, M. Characterization and application of dried plants to re move heavy metals, nitrate, and niphate ions from industrial wastewaters. Clean–Soil Air Water 2011, 39, 376–383. [Google Scholar] [CrossRef]
- Srivastava, V.; Weng, C.H.; Singh, V.K.; Sharma, Y.C. Adsorption of nickel ions from aqueous solutions by nano alumina: Kinetic, mass transfer, and equilibrium studies. J. Chem. Eng. Data 2011, 56, 1414–1422. [Google Scholar] [CrossRef]
- Srivastava, V.C.; Mall, I.D.; Mishra, I.M. Competitive adsorption of cadmium (II) and nickel (II) metal ions from aqueous solution onto rice husk ash. Chem. Eng. Process. Process Intensif. 2009, 48, 370–379. [Google Scholar] [CrossRef]
- Hannachi, Y.; Shapovalov, N.A.; Hannachi, A. Adsorption of nickel from aqueous solution by the use of low-cost adsorbents. Korean J. Chem. Eng. 2010, 27, 152–158. [Google Scholar] [CrossRef]
- Rao, M.; Parwate, A.V.; Bhole, A.G. Removal of Cr6+ and Ni2+ from aqueous solution using bagasse and fly ash. Waste Manag. 2002, 22, 821–830. [Google Scholar] [CrossRef] [PubMed]
- Sharma, Y.C.; Upadhyay, S.N. Removal of a cationic dye from wastewaters by adsorption on activated carbon developed from coconut coir. Energy Fuels 2009, 23, 2983–2988. [Google Scholar] [CrossRef]
- Sharma, Y.C.; Srivastava, V.; Upadhyay, S.N.; Weng, C.H. Alumina nanoparticles for the removal of Ni (II) from aqueous solutions. Ind. Eng. Chem. Res. 2008, 47, 8095–8100. [Google Scholar] [CrossRef]
- Rajaniemi, K.; Hu, T.; Nurmesniemi, E.T.; Tuomikoski, S.; Lassi, U. Phosphate and ammonium removal from water through electrochemical and chemical precipitation of struvite. Processes 2021, 9, 150. [Google Scholar] [CrossRef]
- Vikrant, K.; Kim, K.H.; Ok, Y.S.; Tsang, D.C.; Tsang, Y.F.; Giri, B.S.; Singh, R.S. Engineered/designer biochar for the removal of phosphate in water and wastewater. Sci. Total Environ. 2018, 616, 1242–1260. [Google Scholar] [CrossRef] [PubMed]
- Sun, J.; Gao, A.; Wang, X.; Xu, X.; Song, J. Removal of phosphorus from wastewater by different morphological alumina. Molecules 2020, 25, 3092. [Google Scholar] [CrossRef] [PubMed]
- Aziam, R.; Chiban, M.; Eddaoudi, H.; Soudani, A.; Zerbet, M.; Sinan, F. Kinetic modeling, equilibrium isotherm and thermodynamic studies on a batch adsorption of anionic dye onto eco-friendly dried Carpobrotus edulis plant. Eur. Phys. J. Spec. Top. 2017, 226, 977–992. [Google Scholar] [CrossRef]
- Bhadoria, R.; Singh, B.K.; Tomar, R. Sorption of toxic metals on sodium aluminosilicate (NAS). Desalination 2010, 254, 192–200. [Google Scholar] [CrossRef]
- Filice, S.; Scuderi, V.; Zimbone, M.; Libertino, S.; La Piana, L.; Farina, R.A.; Scalese, S. Sulfonated Pentablock Copolymer with Graphene Oxide for Co2+ Ions Removal: Efficiency, Interaction Mechanisms and Secondary Reaction Products. Coatings 2023, 13, 1715. [Google Scholar] [CrossRef]
- Filice, S.; Scuderi, V.; Libertino, S.; Zimbone, M.; Galati, C.; Spinella, N.; Gradon, L.; Falqui, L.; Scalese, S. Sulfonated pentablock copolymer coating of polypropylene filters for dye and metal ions effective removal by integrated adsorption and filtration process. Int. J. Mol. Sci. 2022, 23, 11777. [Google Scholar] [CrossRef]
- Singh, B.K.; Bhadauria, J.; Tomar, R.; Tomar, B.S. Effect of humic acid on sorption of trace metal ions by sodium aluminosilicate. Desalination 2011, 268, 189–194. [Google Scholar] [CrossRef]
- Topare, N.S.; Wadgaonkar, V.S. A review on application of low-cost adsorbents for heavy metals removal from wastewater. Mater. Today Proc. 2023, 77, 8–18. [Google Scholar] [CrossRef]
- Rao, T.P.; Kala, R.; Daniel, S. Metal ion-imprinted polymers—novel materials for selective recognition of inorganics. Anal. Chim. Acta 2006, 578, 105–116. [Google Scholar] [CrossRef] [PubMed]
- Camel, V. Solid phase extraction of trace elements. Spectrochim. Acta Part B At. Spectrosc. 2003, 58, 1177–1233. [Google Scholar] [CrossRef]
- Navarro, R.R.; Sumi, K.; Matsumura, M. Improved metal affinity of chelating adsorbents through graft polymerization. Water Res. 1999, 33, 2037–2044. [Google Scholar] [CrossRef]
- Lagadic, I.L.; Mitchell, M.K.; Payne, B.D. Highly effective adsorption of heavy metal ions by a thiol-functionalized magnesium phyllosilicate clay. Environ. Sci. Technol. 2001, 35, 984–990. [Google Scholar] [CrossRef] [PubMed]
- Yantasee, W.; Warner, C.L.; Sangvanich, T.; Addleman, R.S.; Carter, T.G.; Wiacek, R.J.; Fryxell, G.E.; Timchalk, C.; Warner, M.G. Removal of heavy metals from aqueous systems with thiol functionalized superparamagnetic nanoparticles. Environ. Sci. Technol. 2007, 41, 5114–5119. [Google Scholar] [CrossRef]
- Liu, J.F.; Zhao, Z.S.; Jiang, G.B. Coating Fe3O4 magnetic nanoparticles with humic acid for high efficient removal of heavy metals in water. Environ. Sci. Technol. 2008, 42, 6949–6954. [Google Scholar] [CrossRef]
- Mercier, L.; Pinnavaia, T.J. A functionalized porous clay heterostructure for heavy metal ion (Hg2+) trapping. Microporous Mesoporous Mater. 1998, 20, 101–106. [Google Scholar] [CrossRef]
- Dal Bosco, S.M.; Jimenez, R.S.; Carvalho, W.A. Removal of toxic metals from wastewater by Brazilian natural scolecite. J. Colloid Interface Sci. 2005, 281, 424–431. [Google Scholar] [CrossRef]
- Filice, S.; Bongiorno, C.; Libertino, S.; Compagnini, G.; Gradon, L.; Iannazzo, D.; La Magna, A.; Scalese, S. Structural characterization and adsorption properties of dunino raw halloysite mineral for dye removal from water. Materials 2021, 14, 3676. [Google Scholar] [CrossRef] [PubMed]
- Filice, S.; Bongiorno, C.; Libertino, S.; Gradon, L.; Iannazzo, D.; Scalese, S. Photo-Fenton Degradation of Methyl Orange with Dunino Halloysite as a Source of Iron. Catalysts 2022, 12, 257. [Google Scholar] [CrossRef]
- Aziam, R.; Stefan, D.S.; Aboussabek, A.; Chiban, M.; Croitoru, A.M. Alginate-Moroccan Clay, New Bio-Nanocomposite for Removal of H2PO4−, HPO42−, and NO3− Ions from Aqueous Solutions. Polymers 2023, 15, 4666. [Google Scholar] [CrossRef] [PubMed]
- Barrak, I.; Ayouch, I.; Kassab, Z.; El Achaby, M.; Barhoun, A.; Draoui, K. Sodium alginate encapsulated Moroccan clay as eco-friendly and efficient adsorbent for copper ions from aqueous medium. Mater. Today Proc. 2022, 51, 2040–2046. [Google Scholar] [CrossRef]
- Zhao, J.; Dang, Z.; Muddassir, M.; Raza, S.; Zhong, A.; Wang, X.; Jin, J. A new Cd(II)-based coordination polymer for efficient photocatalytic removal of organic dyes. Molecules 2023, 28, 6848. [Google Scholar] [CrossRef] [PubMed]
- Sarin, V.; Pant, K. Removal of chromium from industrial waste by using eucalyptus bark. Bioresour. Technol. 2006, 97, 15–20. [Google Scholar] [CrossRef] [PubMed]
- Gupta, S.S.; Bhattacharyya, K.G. Removal of Cd (II) from aqueous solution by kaolinite, montmorillonite and their poly (oxo zirconium) and tetrabutylammonium derivatives. J. Hazard. Mater. 2006, 128, 247–257. [Google Scholar] [CrossRef]
- Aboussabek, A.; Aziam, R.; El Qdhy, S.; Boukarma, L.; Zerbet, M.; Sinan, F.; Chiban, M. Synthesis and characterization of hybrid clay@ Fe3O4 for acid blue113 sequestration using a fixed-bed adsorption column. Int. J. Environ. Sci. Technol. 2023, 21, 4171–4186. [Google Scholar] [CrossRef]
- Banerjee, S.; Chattopadhyaya, M.C. Adsorption characteristics for the removal of a toxic dye, tartrazine from aqueous solutions by a low cost agricultural by-product. Arab. J. Chem. 2017, 10, S1629–S1638. [Google Scholar] [CrossRef]
- Wang, L.; Sun, W.; Hu, Y.H.; Xu, L.H. Adsorption mechanism of mixed anionic/cationic collectors in Muscovite–Quartz flotation system. Miner. Eng. 2014, 64, 44–50. [Google Scholar] [CrossRef]
- Bao, T.; Damtie, M.M.; Hosseinzadeh, A.; Frost, R.L.; Yu, Z.M.; Jin, J.; Wu, K. Catalytic degradation of P-chlorophenol by muscovite-supported nano zero valent iron composite: Synthesis, characterization, and mechanism studies. Appl. Clay Sci. 2020, 195, 105735. [Google Scholar] [CrossRef]
- Kausar, A.; Rehman, S.U.; Khalid, F.; Bonilla-Petriciolet, A.; Mendoza-Castillo, D.I.; Bhatti, H.N.; Ibrahim, S.M.; Iqbal, M. Cellulose, clay and sodium alginate composites for the removal of methylene blue dye: Experimental and DFT studies. Int. J. Biol. Macromol. 2022, 209, 576–585. [Google Scholar] [CrossRef]
- Benhima, H.; Chiban, M.; Sinan, F.; Seta, P.; Persin, M. Removal of lead and cadmium ions from aqueous solution by adsorption onto micro-particles of dry plants. Colloids Surf. B 2008, 61, 10–16. [Google Scholar] [CrossRef] [PubMed]
- Veli, S.; Alyüz, B. Adsorption of copper and zinc from aqueous solutions by using natural clay. J. Hazard. Mater. 2007, 149, 226–233. [Google Scholar] [CrossRef] [PubMed]
- Aziam, R.; Aboussabek, A.; Nouaa, S.; Boukarma, L.; Abali, M.H.; Eddaoudi, E.H.; Zerbet, M.; Chiban, M. Competitive adsorption of acid blue 113 and Congo red dyes from binary system with Moroccan prickly pear cactus peel (MPPCP) as natural adsorbent: Kinetic, isotherm, and thermodynamic studies. J. Iran. Chem. Soc. 2023, 21, 227–238. [Google Scholar] [CrossRef]
- Karthikeyan, P.; Meenakshi, S. Development of sodium alginate@ ZnFe-LDHs functionalized beads: Adsorption properties and mechanistic behaviour of phosphate and nitrate ions from the aqueous environment. Environ. Chem. Ecotoxicol. 2021, 3, 42–50. [Google Scholar] [CrossRef]
- Nouaa, S.; Aziam, R.; Benhiti, R.; Carja, G.; Iaich, S.; Zerbet, M.; Chiban, M. Synthesis of LDH/alginate composite beads as a potential adsorbent for phosphate removal: Kinetic and equilibrium studies. Chem. Pap. 2023, 77, 6689–6705. [Google Scholar] [CrossRef]
- Stefan, D.S.; Meghea, I. Mechanism of simultaneous removal of Ca2+, Ni2+, Pb2+ and Al3+ ions from aqueous solutions using Purolite® S930 ion exchange resin. C. R. Chim. 2014, 17, 496–502. [Google Scholar] [CrossRef]
- Alothman, Z.A.; Bahkali, A.H.; Khiyami, M.A.; Alfadul, S.M.; Wabaidur, S.M.; Alam, M.; Alfarhan, B.Z. Low cost biosorbents from fungi for heavy metals removal from wastewater. Sep. Sci. Technol. 2020, 55, 1766–1775. [Google Scholar] [CrossRef]
- Akram, M.; Xu, X.; Gao, B.; Wang, S.; Khan, R.; Yue, Q.; Duan, P.; Dan, H.; Pan, J. Highly efficient removal of phosphate from aqueous media by pomegranate peel co-doping with ferric chloride and lanthanum hydroxide nanoparticles. J. Clean. Prod. 2021, 292, 125311. [Google Scholar] [CrossRef]
- Sabzehmeidani, M.M.; Mahnaee, S.; Ghaedi, M.; Heidari, H.; Roy, V.A. Carbon based materials: A review of adsorbents for inorganic and organic compounds. Mater. Adv. 2021, 2, 598–627. [Google Scholar] [CrossRef]
- Photiou, P.; Koutsokeras, L.; Constantinides, G.; Koutinas, M.; Vyrides, I. Phosphate removal from synthetic and real wastewater using thermally treated seagrass residues of Posidonia oceanica. J. Clean. Prod. 2021, 278, 123294. [Google Scholar] [CrossRef]
- Wang, A.; Zhou, K.; Liu, X.; Liu, F.; Zhang, C.; Chen, Q. Granular tri-metal oxide adsorbent for fluoride uptake: Adsorption kinetic and equilibrium studies. J. Colloid Interface Sci. 2017, 505, 947–955. [Google Scholar] [CrossRef] [PubMed]
- Wu, C.; Li, L.; Zhou, H.; Ai, J.; Zhang, H.; Tao, J.; Wang, D.; Zhang, W. Effects of chemical modification on physicochemical properties and adsorption behavior of sludge-based activated carbon. J. Environ. Sci. 2021, 100, 340–352. [Google Scholar] [CrossRef] [PubMed]
- Benjelloun, M.; Miyah, Y.; Evrendilek, G.A.; Zerrouq, F.; Lairini, S. Recent advances in adsorption kinetic models: Their application to dye types. Arab. J. Chem. 2021, 14, 103031. [Google Scholar] [CrossRef]
- Shokoohi, R.; Farji, H.; Ghiasian, S.A.; Faradmal, J.; Azizi, S.; Salari, M. Evaluation of ability of aspergillus terreus fungi in removal of Cadmium from Aquatic Solutions: Isotherm and kinetic studies. J. Res. Environ. Health 2017, 3, 126–135. [Google Scholar]
- Kalam, S.; Abu-Khamsin, S.A.; Kamal, M.S.; Patil, S. Surfactant adsorption isotherms: A review. ACS Omega 2021, 6, 32342–32348. [Google Scholar] [CrossRef] [PubMed]
- Ahmadou, F.; Abahdou, F.Z.; Slimani, R.; El Hajjaji, S. Methylen blue removal by adsorption on Moringa oleifera pods powder and Moringa oleifera kernels powder: Kinetic, isotherm and thermodynamic studies. Moroc. J. Chem. 2023, 11, 11. [Google Scholar]
- Elsherif, K.M.; El-Dali, A.; Ewlad-Ahmed, A.M.; Treban, A.A.; Alqadhi, H.; Alkarewi, S. Kinetics and isotherms studies of safranin adsorption onto two surfaces prepared from orange peels. Moroc. J. Chem. 2022, 10, 10–14. [Google Scholar]
- Nguyen, V.T.; Nguyen, T.A.; Tran, T.H.; Le, T.N.; Nguyen, N.H. Batch and column adsorption of reactive dye by eggshell powder–chitosan gel core-shell material. Moroc. J. Chem. 2021, 9, 9–11. [Google Scholar]
- Bonetto, L.R.; Ferrarini, F.; De Marco, C.; Crespo, J.S.; Guégan, R.; Giovanela, M. Removal of methyl violet 2B dye from aqueous solution using a magnetic composite as an adsorbent. Water Process. Eng. 2015, 6, 11–20. [Google Scholar] [CrossRef]
- Debnath, S.; Das, R. Strong adsorption of CV dye by Ni ferrite nanoparticles for waste water purification: Fits well the pseudo second order kinetic and Freundlich isotherm model. Ceram. Int. 2023, 49, 16199–16215. [Google Scholar] [CrossRef]
- Gunasekar, V.; Ponnusami, V. Kinetics, equilibrium, and thermodynamic studies on adsorption of methylene blue by carbonized plant leaf powder. J. Chem. 2013, 415280. [Google Scholar] [CrossRef]
- Farch, S.; Yahoum, M.M.; Toumi, S.; Tahraoui, H.; Lefnaoui, S.; Kebir, M.; Zamouche, M.; Amrane, A.; Zhang, J.; Hadadi, A.; et al. Application of Walnut Shell Biowaste as an Inexpensive Adsorbent for Methylene Blue Dye: Isotherms, Kinetics, Thermodynamics, and Modeling. Separations 2023, 10, 60. [Google Scholar] [CrossRef]
- Chiban, M.; Soudani, A.; Sinan, F.; Persin, M. Single, binary and multi-component adsorption of some anions and heavy metals on environmentally friendly Carpobrotus edulis plant. Colloids Surf. B Biointerfaces 2011, 82, 267–276. [Google Scholar] [CrossRef] [PubMed]
- Grover, A.; Mohiuddin, I.; Malik, A.K.; Aulakh, J.S.; Vikrant, K.; Kim, K.H.; Brown, R.J. Magnesium/aluminum layered double hydroxides intercalated with starch for effective adsorptive removal of anionic dyes. J. Hazard. Mater. 2022, 424, 127454. [Google Scholar] [CrossRef] [PubMed]
- Gao, X.; Guo, C.; Hao, J.; Zhao, Z.; Long, H.; Li, M. Adsorption of heavy metal ions by sodium alginate based adsorbent-a review and new perspectives. Int. J. Biol. Macromol. 2020, 164, 4423–4434. [Google Scholar] [CrossRef] [PubMed]
- Tan, W.S.; Ting, A.S.Y. Alginate-immobilized bentonite clay: Adsorption efficacy and reusability for Cu (II) removal from aqueous solution. Bioresour. Technol. 2014, 160, 115–118. [Google Scholar] [CrossRef]
- Futalan, C.M.; Kan, C.C.; Dalida, M.L.; Hsien, K.J.; Pascua, C.; Wan, M.W. Comparative and competitive adsorption of copper, lead, and nickel using chitosan immobilized on bentonite. Carbohydr. Polym. 2011, 83, 528–536. [Google Scholar] [CrossRef]




















| Elements | Atomic Percentage (%) |
|---|---|
| C | 33.83 |
| O | 54.04 |
| Na | 0.76 |
| Mg | 0.46 |
| Al | 3.55 |
| Si | 5.45 |
| Ca | 1.00 |
| S | 0.14 |
| K | 0.29 |
| Ti | 0.23 |
| Kinetics Model | Parameters | Metal Ions | |
|---|---|---|---|
| Ni2+ | Cu2+ | ||
| Pseudo- first-order model | qe, Exp (mg/g) | 72.82 | 83.30 |
| K1 (min−1) | 0.0059 | 0.0027 | |
| qe, Theo (mg/g) | 20.46 | 2.55 | |
| R2 | 0.737 | 0.469 | |
| Pseudo-second-order model | qe, Exp (mg/g) | 72.82 | 83.30 |
| K2 (g.mg−1. min−1) | 4.5 × 10−4 | 2.5 × 10−4 | |
| qe, Theo (mg/g) | 75.75 | 90.09 | |
| R2 | 0.994 | 0.992 | |
| Elovich model | qe, Exp (mg/g) | 72.82 | 83.30 |
| α | 14.64 | 38.94 | |
| β | 0.087 | 0.090 | |
| R2 | 0.679 | 0.806 | |
| Intra-particle diffusion | KInt (mg.g−1. min−1/2) | 1.48 | 1.35 |
| CI | 50.028 | 43.52 | |
| R2 | 0.815 | 0.530 | |
| Dimensionless Constant | Metal Ions | |
|---|---|---|
| Ni2+ | Cu2+ | |
| RL | 0.160 | 0.168 |
| Model | Parameters | Metal Ions | |
|---|---|---|---|
| Ni2+ | Cu2+ | ||
| Langmuir | qL (mg/g) | 370.37 | 454.54 |
| KL (L/mg) | 0.0087 | 0.0082 | |
| R2 | 0.970 | 0.970 | |
| Freundlich | 1/n | 0.608 | 0.650 |
| KF (mg/g) | 9.706 | 9.728 | |
| R2 | 0.946 | 0.950 | |
| Temkin | KT (L/mg) | 0.062 | 0.066 |
| bT (J/mol) | 24.94 | 21.33 | |
| R² | 0.829 | 0.865 | |
| D-R | KD (mol2/J) | 2 × 10−4 | 10−4 |
| qm (mg/g) | 229.63 | 258.60 | |
| E (J/mol) | 50 | 70.71 | |
| R² | 0.756 | 0.771 | |
| Ion | ∆G° (kJ/mol) | ∆H° (kJ/mol) | ∆S° (J/K/mol) | |||
|---|---|---|---|---|---|---|
| 298 K | 303 K | 308 K | 313 K | |||
| Ni2+ | −12.52 | −13.18 | −13.56 | −14.06 | 17.178 | 99.83 |
| Cu2+ | −14.33 | −14.71 | −15.69 | −16.71 | 33.89 | 161.15 |
| System | Freundlich Parameters | Langmuir Parameters | |||||
|---|---|---|---|---|---|---|---|
| 1/n | (mg/g) | ||||||
| Ni2+ Cu2+ | 0.507 | 19.53 | 0.823 | 357.14 | 0.0015 | 0.892 | 0.96 |
| 0.655 | 9.09 | 0.853 | 370.37 | 0.010 | 0.902 | 0.81 | |
| Adsorbent | Metal Ion | C0 (mg/L) | qe, Theo (mg/g) | Reference |
|---|---|---|---|---|
| Alginate immobilized bentonite | Cu2+ | 100 100 100 | 60.24 | [72] |
| Sodium alginate encapsulated Moroccan clay | Cu2+ | 62.620 | [38] | |
| Moroccan clay | 35.530 | |||
| Chitosan immobilized on bentonite | Pb2+ | 200 | 28.65 | [73] |
| Cu2+ | 20.28 | |||
| Ni2+ | 11.83 | |||
| Alginate-Moroccan clay bio-nanocomposite | Cu2+ | 100 | 90.09 | This study |
| Ni2+ | 75.75 |
Disclaimer/Publisher’s Note: The statements, opinions and data contained in all publications are solely those of the individual author(s) and contributor(s) and not of MDPI and/or the editor(s). MDPI and/or the editor(s) disclaim responsibility for any injury to people or property resulting from any ideas, methods, instructions or products referred to in the content. |
© 2024 by the authors. Licensee MDPI, Basel, Switzerland. This article is an open access article distributed under the terms and conditions of the Creative Commons Attribution (CC BY) license (https://creativecommons.org/licenses/by/4.0/).
Share and Cite
Aziam, R.; Stefan, D.S.; Nouaa, S.; Chiban, M.; Boșomoiu, M. Adsorption of Metal Ions from Single and Binary Aqueous Systems on Bio-Nanocomposite, Alginate-Clay. Nanomaterials 2024, 14, 362. https://doi.org/10.3390/nano14040362
Aziam R, Stefan DS, Nouaa S, Chiban M, Boșomoiu M. Adsorption of Metal Ions from Single and Binary Aqueous Systems on Bio-Nanocomposite, Alginate-Clay. Nanomaterials. 2024; 14(4):362. https://doi.org/10.3390/nano14040362
Chicago/Turabian StyleAziam, Rachid, Daniela Simina Stefan, Safa Nouaa, Mohamed Chiban, and Magdalena Boșomoiu. 2024. "Adsorption of Metal Ions from Single and Binary Aqueous Systems on Bio-Nanocomposite, Alginate-Clay" Nanomaterials 14, no. 4: 362. https://doi.org/10.3390/nano14040362
APA StyleAziam, R., Stefan, D. S., Nouaa, S., Chiban, M., & Boșomoiu, M. (2024). Adsorption of Metal Ions from Single and Binary Aqueous Systems on Bio-Nanocomposite, Alginate-Clay. Nanomaterials, 14(4), 362. https://doi.org/10.3390/nano14040362

