Colossal Magnetoresistance in Layered Diluted Magnetic Semiconductor Rb(Zn,Li,Mn)4As3 Single Crystals
Abstract
1. Introduction
2. Materials and Methods
3. Results
3.1. Crystal Structure
3.2. Magnetic Properties
3.3. Magnetic Critical Behaviors
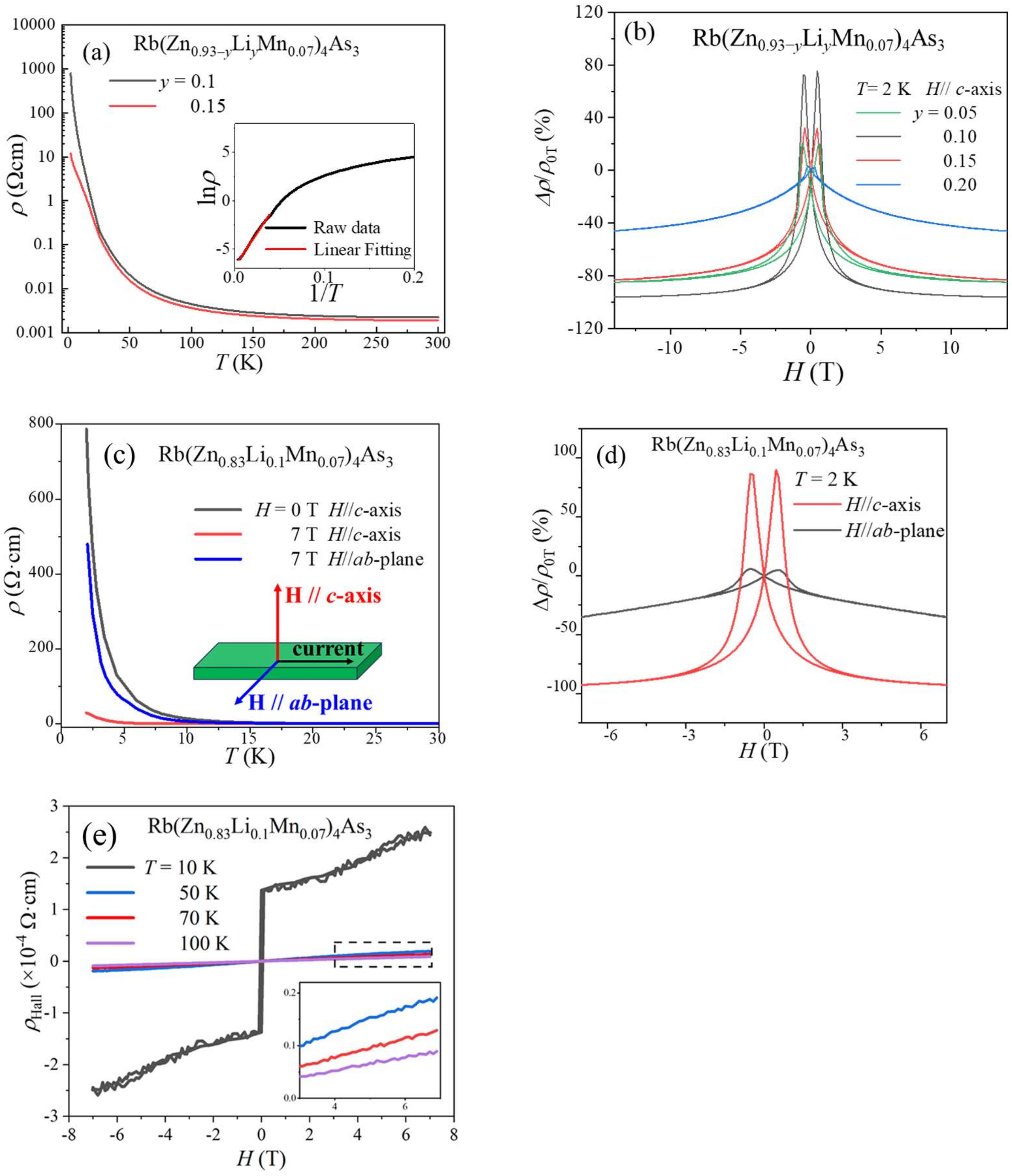
3.4. Magnetoresistance and Hall Effect
4. Conclusions
Author Contributions
Funding
Data Availability Statement
Conflicts of Interest
References
- Dietl, T. A ten-year perspective on dilute magnetic semiconductors and oxides. Nat. Mater. 2010, 9, 965. [Google Scholar] [CrossRef] [PubMed]
- Furdyna, J.K. Diluted magnetic semiconductors. J. Appl. Phys. 1988, 64, R29. [Google Scholar] [CrossRef]
- Hirohata, A.; Sukegawa, H.; Yanagihara, H.; Zutic, I.; Seki, T.; Mizukami, S.; Swaminathan, R. Roadmap for Emerging Materials for Spintronic Device Applications. IEEE Trans. Magn. 2015, 51, 0800511. [Google Scholar] [CrossRef]
- Dietl, T.; Ohno, H. Dilute ferromagnetic semiconductors: Physics and spintronic structures. Rev. Mod. Phys. 2014, 86, 187–251. [Google Scholar] [CrossRef]
- Zhao, X.; Dong, J.; Fu, L.; Gu, Y.; Zhang, R.; Yang, Q.; Xie, L.; Tang, Y.; Ning, F. (Ba1−xNax)F(Zn1−xMnx)Sb: A novel fluoride-antimonide magnetic semiconductor with decoupled charge and spin doping. J. Semicond. 2022, 43, 112501. [Google Scholar] [CrossRef]
- Saito, H.; Yuasa, S.; Ando, K. Origin of the tunnel anisotropic magnetoresistance in Ga1-xMnxAs/ZnSe/Ga1-xMnxAs magnetic tunnel junctions of II-VI/III-V heterostructures. Phys. Rev. Lett. 2005, 95, 086604. [Google Scholar] [CrossRef] [PubMed]
- Liu, X.; Riney, L.; Guerra, J.; Powers, W.; Wang, J.; Furdyna, J.K.; Assaf, B.A. Colossal negative magnetoresistance from hopping in insulating ferromagnetic semiconductors. J. Semicond. 2022, 43, 112502. [Google Scholar] [CrossRef]
- Žutić, I.; Zhou, T. Tailoring Magnetism in Semiconductors. Sci. China-Phys. Mech. Astron. 2018, 61, 067031. [Google Scholar] [CrossRef]
- Chougule, B.K.; Begum, S. Reference Module in Materials Science and Materials Engineering; Elsevier: Amsterdam, The Netherlands, 2008; pp. 1–2. [Google Scholar]
- Mathieu, R.; Akahoshi, D.; Asamitsu, A.; Tomioka, Y.; Tokura, Y. Colossal magnetoresistance without phase separation: Disorder-induced spin glass state and nanometer scale orbital-charge correlation in half doped manganites. Phys. Rev. Lett. 2004, 93, 227202. [Google Scholar] [CrossRef]
- Ali, M.N.; Xiong, J.; Flynn, S.; Tao, J.; Gibson, Q.D.; Schoop, L.M.; Liang, T.; Haldolaarachchige, N.; Hirschberger, M.; Ong, N.P.; et al. Large, non-saturating magnetoresistance in WTe2. Nature 2014, 514, 205–208. [Google Scholar] [CrossRef]
- Csontos, M.; Wojtowicz, T.; Liu, X.; Dobrowolska, M.; Janko, B.; Furdyna, J.K.; Mihaly, G. Magnetic scattering of spin polarized carriers in (In, Mn)Sb dilute magnetic semiconductor. Phys. Rev. Lett. 2005, 95, 227203. [Google Scholar] [CrossRef]
- Ohno, H. Properties of ferromagnetic III-V semiconductors. J. Magn. Magn. Mater. 1999, 200, 20. [Google Scholar] [CrossRef]
- Glasbrenner, J.K.; Zutic, I.; Mazin, I.I. Theory of Mn-doped II-II-V semiconductors. Phys. Rev. B 2014, 90, 140403. [Google Scholar] [CrossRef]
- Mašek, J.; Kudrnovský, J.; Máca, F.; Gallagher, B.; Campion, R.; Gregory, D.; Jungwirth, T. Dilute Moment n-Type Ferromagnetic Semiconductor Li(Zn,Mn)As. Phys. Rev. Lett. 2007, 98, 067202. [Google Scholar] [CrossRef] [PubMed]
- Ohno, H. Making Nonmagnetic Semiconductors Ferromagnetic. Science 1998, 281, 6. [Google Scholar] [CrossRef] [PubMed]
- Deng, Z.; Jin, C.Q.; Liu, Q.Q.; Wang, X.C.; Zhu, J.L.; Feng, S.M.; Chen, L.C.; Yu, R.C.; Arguello, C.; Goko, T.; et al. Li(Zn,Mn)As as a new generation ferromagnet based on a I-II-V semiconductor. Nat. Commun. 2011, 2, 422. [Google Scholar] [CrossRef] [PubMed]
- Zhao, K.; Chen, B.; Zhao, G.; Yuan, Z.; Liu, Q.; Deng, Z.; Zhu, J.; Jin, C. Ferromagnetism at 230 K in (Ba0.7K0.3)(Zn0.85Mn0.15)2As2 diluted magnetic semiconductor. Chin. Sci. Bull. 2014, 59, 2524. [Google Scholar] [CrossRef]
- Sun, F.; Zhao, G.Q.; Escanhoela, C.A.; Chen, B.J.; Kou, R.H.; Wang, Y.G.; Xiao, Y.M.; Chow, P.; Mao, H.K.; Haskel, D.; et al. Hole doping and pressure effects on the II-II-V-based diluted magnetic semiconductor (Ba1−xKx)(Zn1−yMny)2As2. Phys. Rev. B 2017, 95, 094412. [Google Scholar] [CrossRef]
- Yang, X.; Li, Y.; Zhang, P.; Jiang, H.; Luo, Y.; Chen, Q.; Feng, C.; Cao, C.; Dai, J.; Tao, Q.; et al. K and Mn co-doped BaCd2As2: A hexagonal structured bulk diluted magnetic semiconductor with large magnetoresistance. J. Appl. Phys. 2013, 114, 223905. [Google Scholar] [CrossRef]
- Yang, X.; Chen, Q.; Li, Y.; Wang, Z.; Bao, J.; Li, Y.; Tao, Q.; Cao, G.; Xu, Z.-A. Sr0.9K0.1Zn1.8Mn0.2As2: A ferromagnetic semiconductor with colossal magnetoresistance. Europhys. Lett. 2014, 107, 67007. [Google Scholar] [CrossRef]
- Hogl, P.; Matos-Abiague, A.; Zutic, I.; Fabian, J. Magnetoanisotropic Andreev reflection in ferromagnet-superconductor junctions. Phys. Rev. Lett. 2015, 115, 116601. [Google Scholar] [CrossRef]
- Zutic, I.; Fabian, J.; Das Sarma, S. Spintronics: Fundamentals and applications. Rev. Mod. Phys. 2004, 76, 323. [Google Scholar] [CrossRef]
- Zhao, K.; Deng, Z.; Wang, X.C.; Han, W.; Zhu, J.L.; Li, X.; Liu, Q.Q.; Yu, R.C.; Goko, T.; Frandsen, B.; et al. New diluted ferromagnetic semiconductor with Curie temperature up to 180 K and isostructural to the ‘122’ iron-based superconductors. Nat. Commun. 2013, 4, 1442. [Google Scholar] [CrossRef] [PubMed]
- He, H.; Tyson, C.; Bobev, S. Eight-Coordinated Arsenic in the Zintl Phases RbCd4As3 and RbZn4As3: Synthesis and Structural Characterization. Inorg. Chem. 2011, 50, 8375–8383. [Google Scholar] [CrossRef] [PubMed]
- Hellmann, A.; Löhken, A.; Wurth, A.; Mewis, A. New Arsenides with ThCr2Si2-type or Related Structures: The Compounds ARh2As2 (A:Eu, Sr,Ba) and BaZn2As2. Z. Naturforsch. 2007, 62, 155. [Google Scholar] [CrossRef]
- Toby, B.H. EXPGUI, a graphical user interface for GSAS. J. Appl. Crystallogr. 2001, 34, 210–213. [Google Scholar] [CrossRef]
- Deng, Z.; Wang, X.; Wang, M.; Shen, F.; Zhang, J.; Chen, Y.; Feng, H.L.; Xu, J.; Peng, Y.; Li, W.; et al. Giant Exchange-Bias-Like Effect at Low Cooling Fields Induced by Pinned Magnetic Domains in Y2NiIrO6 Double Perovskite. Adv. Mater. 2023, 35, 2209759. [Google Scholar] [CrossRef]
- Chen, L.; Yang, X.; Yang, F.; Zhao, J.; Misuraca, J.; Xiong, P.; von Molnar, S. Enhancing the Curie temperature of ferromagnetic semiconductor (Ga,Mn)As to 200 K via nanostructure engineering. Nano Lett. 2011, 11, 2584. [Google Scholar] [CrossRef]
- Wei, Q.; Wang, H.; Zhao, X.; Zhao, J. Electron mobility anisotropy in (Al,Ga)Sb/InAs two-dimensional electron gases epitaxied on GaAs (001) substrates. J. Semicond. 2022, 43, 072101. [Google Scholar] [CrossRef]
- Yu, S.; Liu, X.; Zhao, G.; Peng, Y.; Wang, X.; Zhao, J.; Li, W.; Deng, Z.; Furdyna, J.K.; Uemura, Y.J.; et al. Anomalous critical point behavior in dilute magnetic semiconductor (Ca,Na)(Zn,Mn)2Sb2. Phys. Rev. Mater. 2020, 4, 024411. [Google Scholar] [CrossRef]
- Zhang, L.; Menzel, D.; Jin, C.; Du, H.; Ge, M.; Zhang, C.; Pi, L.; Tian, M.; Zhang, Y. Critical behavior of the single-crystal helimagnet MnSi. Phys. Rev. B 2015, 91, 024403. [Google Scholar] [CrossRef]
- Kim, D.; Revaz, B.; Zink, B.L.; Hellman, F.; Rhyne, J.J.; Mitchell, J.F. Tricritical point and the doping dependence of the order of the ferromagnetic phase transition of La1-xCaxMnO3. Phys. Rev. Lett. 2002, 89, 227202. [Google Scholar] [CrossRef] [PubMed]
- Campostrini, M.; Hasenbusch, M.; Pelissetto, A.; Rossi, P.; Vicari, E. Critical exponents and equation of state of the three-dimensional Heisenberg universality class. Phys. Rev. B 2002, 65, 144520. [Google Scholar] [CrossRef]
- Wang, M.; Marshall, R.A.; Edmonds, K.W.; Rushforth, A.W.; Campion, R.P.; Gallagher, B.L. Three-dimensional Heisenberg critical behavior in the highly disordered dilute ferromagnetic semiconductor (Ga,Mn)As. Phys. Rev. B 2016, 93, 184417. [Google Scholar] [CrossRef]
- Dietl, T.; Ohno, H.; Matsukura, F. Hole-mediated ferromagnetism in tetrahedrally coordinated semiconductors. Phys. Rev. B 2001, 63, 195205. [Google Scholar] [CrossRef]
- Telford, E.J.; Dismukes, A.H.; Lee, K.; Cheng, M.; Wieteska, A.; Bartholomew, A.K.; Chen, Y.S.; Xu, X.; Pasupathy, A.N.; Zhu, X.; et al. Layered Antiferromagnetism Induces Large Negative Magnetoresistance in the van der Waals Semiconductor CrSBr. Adv. Mater. 2020, 32, e2003240. [Google Scholar] [CrossRef] [PubMed]
- Ghimire, N.J.; Khan, M.A.; Botana, A.S.; Jiang, J.S.; Mitchell, J.F. Anisotropic angular magnetoresistance and Fermi surface topology of the candidate novel topological metal Pd3Pb. Phys. Rev. Mater. 2018, 2, 081201. [Google Scholar] [CrossRef]
- Wei, D. The room temperature ferromagnetism in highly strained two-dimensional magnetic semiconductors. J. Semicond. 2023, 44, 040401. [Google Scholar] [CrossRef]
- Ohno, Y.; Young, D.K.; Beschoten, B.; Matsukura, F.; Ohno, H.; Awschalom, D.D. Electrical spin injection in a ferromagnetic semiconductor heterostructure. Nature 1999, 402, 790–792. [Google Scholar] [CrossRef]




Disclaimer/Publisher’s Note: The statements, opinions and data contained in all publications are solely those of the individual author(s) and contributor(s) and not of MDPI and/or the editor(s). MDPI and/or the editor(s) disclaim responsibility for any injury to people or property resulting from any ideas, methods, instructions or products referred to in the content. |
© 2024 by the authors. Licensee MDPI, Basel, Switzerland. This article is an open access article distributed under the terms and conditions of the Creative Commons Attribution (CC BY) license (https://creativecommons.org/licenses/by/4.0/).
Share and Cite
Peng, Y.; Shi, L.; Zhao, G.; Zhang, J.; Zhao, J.; Wang, X.; Deng, Z.; Jin, C. Colossal Magnetoresistance in Layered Diluted Magnetic Semiconductor Rb(Zn,Li,Mn)4As3 Single Crystals. Nanomaterials 2024, 14, 263. https://doi.org/10.3390/nano14030263
Peng Y, Shi L, Zhao G, Zhang J, Zhao J, Wang X, Deng Z, Jin C. Colossal Magnetoresistance in Layered Diluted Magnetic Semiconductor Rb(Zn,Li,Mn)4As3 Single Crystals. Nanomaterials. 2024; 14(3):263. https://doi.org/10.3390/nano14030263
Chicago/Turabian StylePeng, Yi, Luchuan Shi, Guoqiang Zhao, Jun Zhang, Jianfa Zhao, Xiancheng Wang, Zheng Deng, and Changqing Jin. 2024. "Colossal Magnetoresistance in Layered Diluted Magnetic Semiconductor Rb(Zn,Li,Mn)4As3 Single Crystals" Nanomaterials 14, no. 3: 263. https://doi.org/10.3390/nano14030263
APA StylePeng, Y., Shi, L., Zhao, G., Zhang, J., Zhao, J., Wang, X., Deng, Z., & Jin, C. (2024). Colossal Magnetoresistance in Layered Diluted Magnetic Semiconductor Rb(Zn,Li,Mn)4As3 Single Crystals. Nanomaterials, 14(3), 263. https://doi.org/10.3390/nano14030263

