Spin-Valve-Controlled Triggering of Superconductivity
Abstract
1. Introduction
2. Model
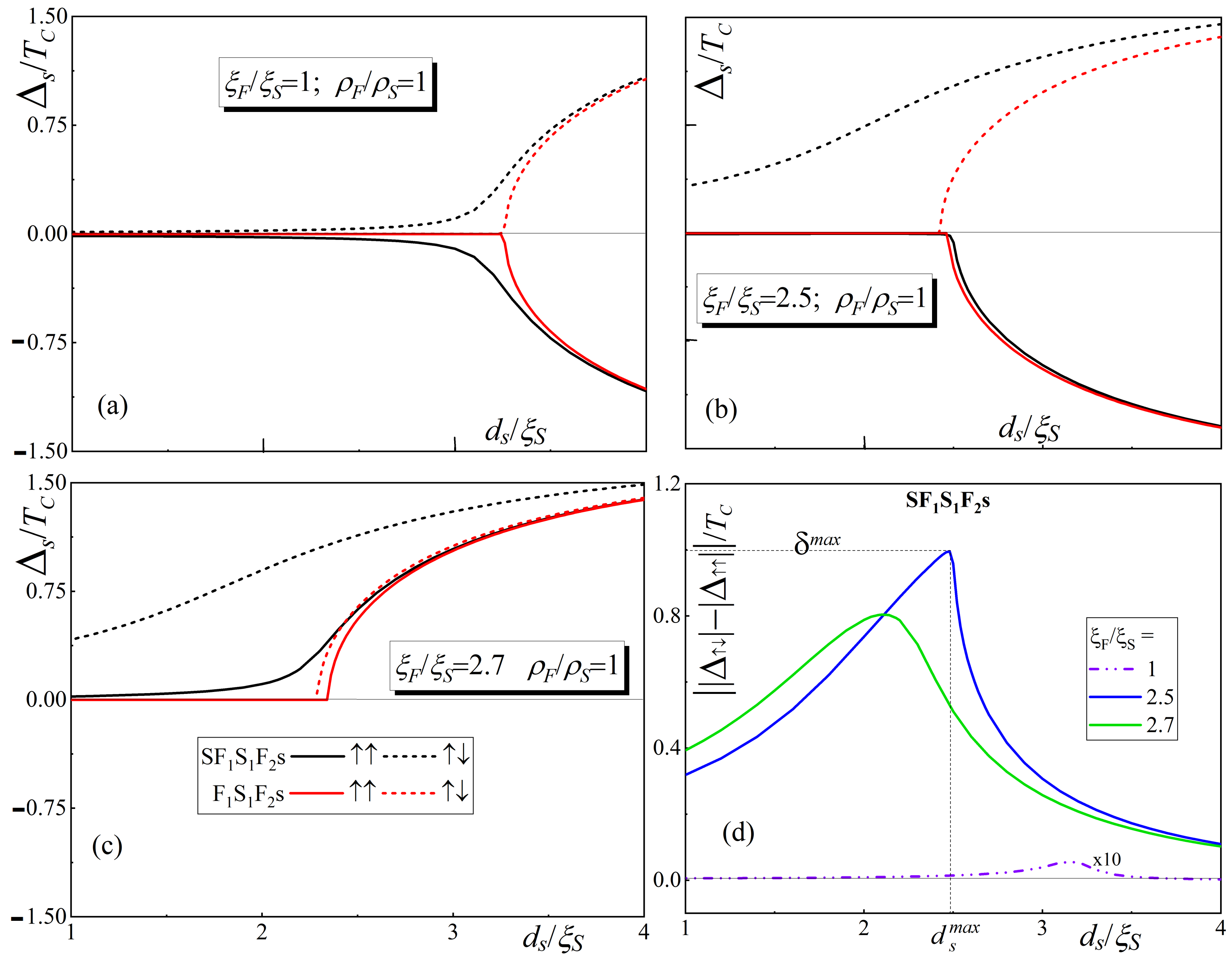
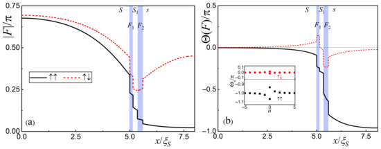
3. Proximity Effect in SF1S1F2s Trigger
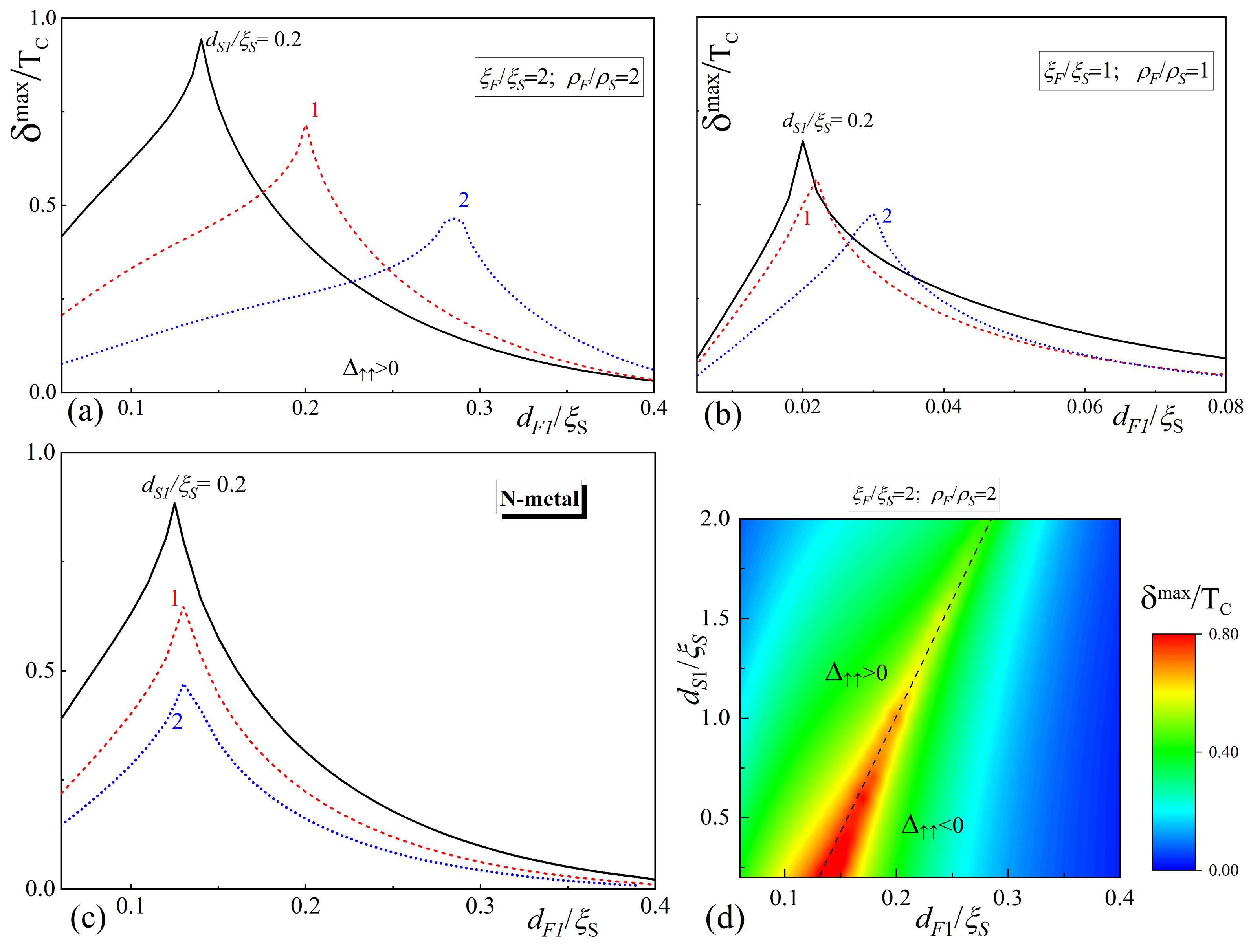
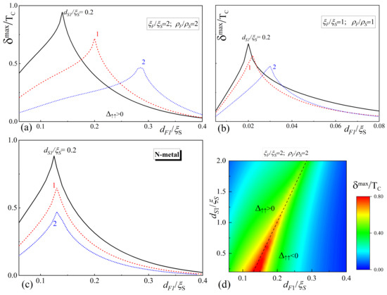
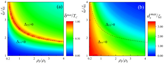
4. Influence of Material Properties and Structural Dimensions on the Trigger Effect
5. Discussion and Conclusions
Author Contributions
Funding
Data Availability Statement
Conflicts of Interest
References
- Annunziata, A.J. Single-Photon Detection, Kinetic Inductance, and Non-Equilibrium Dynamics in Niobium and Niobium Nitride Superconducting Nanowires; Yale University: New Haven, CT, USA, 2010. [Google Scholar]
- Klenov, N.; Pugach, N.; Sharafiev, A.; Bakurskiy, S.; Kornev, V. Josephson junctions with nonsinusoidal current-phase relations based on heterostructures with a ferromagnetic spacer and their applications. Phys. Solid State 2010, 52, 2246–2251. [Google Scholar] [CrossRef]
- Apalkov, D.; Khvalkovskiy, A.; Watts, S.; Nikitin, V.; Tang, X.; Lottis, D.; Moon, K.; Luo, X.; Chen, E.; Ong, A.; et al. Spin-transfer torque magnetic random access memory (STT-MRAM). ACM J. Emerg. Technol. Comput. Syst. (JETC) 2013, 9, 1–35. [Google Scholar] [CrossRef]
- Suleiman, M.; Sarott, M.F.; Trassin, M.; Badarne, M.; Ivry, Y. Nonvolatile voltage-tunable ferroelectric-superconducting quantum interference memory devices. Appl. Phys. Lett. 2021, 119, 11. [Google Scholar] [CrossRef]
- Baek, B.; Rippard, W.H.; Benz, S.P.; Russek, S.E.; Dresselhaus, P.D. Hybrid superconducting-magnetic memory device using competing order parameters. Nat. Commun. 2014, 5, 3888. [Google Scholar] [CrossRef]
- Semenov, V.K.; Polyakov, Y.A.; Tolpygo, S.K. Very large scale integration of Josephson-junction-based superconductor random access memories. IEEE Trans. Appl. Supercond. 2019, 29, 1302809. [Google Scholar] [CrossRef]
- Karabassov, T.; Guravova, A.V.; Kuzin, A.Y.; Kazakova, E.A.; Kawabata, S.; Lvov, B.G.; Vasenko, A. S Anomalous current–voltage characteristics of SFIFS Josephson junctions with weak ferromagnetic interlayers. Beilstein J. Nanotech. 2020, 11, 252–262. [Google Scholar] [CrossRef]
- Bakurskiy, S.; Kupriyanov, M.; Klenov, N.V.; Soloviev, I.; Schegolev, A.; Morari, R.; Khaydukov, Y.; Sidorenko, A.S. Controlling the proximity effect in a Co/Nb multilayer: The properties of electronic transport. Beilstein J. Nanotechnol. 2020, 11, 1336–1345. [Google Scholar] [CrossRef]
- Cuthbert, M.; DeBenedictis, E.; Fagaly, R.L.; Fagas, G.; Febvre, P.; Fourie, C.; Frank, M.; Gupta, D.; Herr, A.; Holmes, D.S.; et al. International Roadmap for Devices and Systems. Cryogenic Electronics and Quantum Information Processing, 2022 Edition; IEEE: Piscataway, NJ, USA, 2022. [Google Scholar]
- Karabassov, T.; Bobkova, I.V.; Silkin, V.M.; Lvov, B.G.; Golubov, A.A.; Vasenko, A.S. Phase diagrams of the diode effect in superconducting heterostructures. Phys. Scr. 2023, 99, 015010. [Google Scholar] [CrossRef]
- Alam, S.; Hossain, M.S.; Srinivasa, S.R.; Aziz, A. Cryogenic memory technologies. Nat. Electron. 2023, 6, 185–198. [Google Scholar] [CrossRef]
- Stamopoulos, D.; Aristomenopoulou, E.; Lagogiannis, A. Co/Nb/Co trilayers as efficient cryogenic spin valves and supercurrent switches: The relevance to the standard giant and tunnel magnetoresistance effects. Supercond. Sci. Technol. 2014, 27, 095008. [Google Scholar] [CrossRef]
- Lenk, D.; Morari, R.; Zdravkov, V.I.; Ullrich, A.; Khaydukov, Y.; Obermeier, G.; Müller, C.; Sidorenko, A.S.; von Nidda, H.A.K.; Horn, S.; et al. Full-switching FSF-type superconducting spin-triplet magnetic random access memory element. Phys. Rev. B 2017, 96, 184521. [Google Scholar] [CrossRef]
- Schneider, M.L.; Donnelly, C.A.; Russek, S.E.; Baek, B.; Pufall, M.R.; Hopkins, P.F.; Dresselhaus, P.D.; Benz, S.P.; Rippard, W.H. Ultralow power artificial synapses using nanotextured magnetic Josephson junctions. Sci. Adv. 2018, 4, e1701329. [Google Scholar] [CrossRef] [PubMed]
- Bakurskiy, S.V.; Klenov, N.V.; Soloviev, I.I.; Pugach, N.G.; Kupriyanov, M.Y.; Golubov, A.A. Protected 0-π states in SIsFS junctions for Josephson memory and logic. Appl. Phys. Lett. 2018, 113, 082602. [Google Scholar] [CrossRef]
- Caruso, R.; Massarotti, D.; Bolginov, V.V.; Ben, H.A.; Karelina, L.N.; Miano, A.; Vernik, I.V.; Tafuri, F.; Ryazanov, V.V.; Mukhanov, O.A.; et al. RF assisted switching in magnetic Josephson junctions. J. Appl. Phys. 2018, 123, 133901. [Google Scholar] [CrossRef]
- Marychev, P.; Vodolazov, D.Y. Extraordinary kinetic inductance of superconductor/ferromagnet/normal metal thin strip in an Fulde–Ferrell state. J. Phys. Condens. Matter 2021, 33, 385301. [Google Scholar] [CrossRef] [PubMed]
- Pugach, N.; Safonchik, M.; Belotelov, V.; Ziman, T.; Champel, T. Superconducting spin valves based on a single spiral magnetic layer. Phys. Rev. Appl. 2022, 18, 054002. [Google Scholar] [CrossRef]
- Schegolev, A.E.; Klenov, N.V.; Bakurskiy, S.V.; Soloviev, I.I.; Kupriyanov, M.Y.; Tereshonok, M.V.; Sidorenko, A.S. Tunable superconducting neurons for networks based on radial basis functions. Beilstein J. Nanotechnol. 2022, 13, 444–454. [Google Scholar] [CrossRef]
- Schneider, M.; Toomey, E.; Rowlands, G.E.; Shainline, J.; Tschirhart, P.; Segall, K. Supermind: A survey of the potential of superconducting electronics for neuromorphic computing. Supercond. Sci. Technol. 2022, 35, 053001. [Google Scholar] [CrossRef]
- Mel’nikov, A.S.; Mironov, S.V.; Samokhvalov, A.V.; Buzdin, A.I. Superconducting spintronics: State of the art and prospects. Uspekhi Fiz. Nauk 2022, 192, 1339–1384. [Google Scholar] [CrossRef]
- Nevirkovets, I.; Mukhanov, O. Electrically controlled hybrid superconductor–ferromagnet cell for high density cryogenic memory. Appl. Phys. Lett. 2023, 123, 072601. [Google Scholar] [CrossRef]
- Blamire, M.; Robinson, J. The interface between superconductivity and magnetism: Understanding and device prospects. J. Phys. Condens. Matter 2014, 26, 453201. [Google Scholar] [CrossRef]
- Eschrig, M. Spin-polarized supercurrents for spintronics: A review of current progress. Rep. Prog. Phys. 2015, 78, 104501. [Google Scholar] [CrossRef] [PubMed]
- Linder, J.; Robinson, J.W. Superconducting spintronics. Nat. Phys. 2015, 11, 307–315. [Google Scholar] [CrossRef]
- Leksin, P.V.; Garif’Yanov, N.N.; Garifullin, I.A.; Fominov, Y.V.; Schumann, J.; Krupskaya, Y.; Kataev, V.; Schmidt, O.G.; Büchner, B. Evidence for triplet superconductivity in a superconductor-ferromagnet spin valve. Phys. Rev. Lett. 2012, 109, 057005. [Google Scholar] [CrossRef] [PubMed]
- Tagirov, L.R.; Kupriyanov, M.Y.; Sidorenko, A.S.; Kushnir, V.N. Superconducting triplet proximity and Josephson spin valves. In Functional Nanostructures and Metamaterials for Superconducting Spintronics; NanoScience and Technology; Sidorenko, A., Ed.; Springer: Cham, Switzerland, 2018; pp. 31–47. [Google Scholar] [CrossRef]
- Bergeret, F.; Volkov, A.; Efetov, K. Enhancement of the Josephson current by an exchange field in superconductor-ferromagnet structures. Phys. Rev. Lett. 2001, 86, 3140. [Google Scholar] [CrossRef] [PubMed]
- Krivoruchko, V.; Koshina, E. From inversion to enhancement of the dc Josephson current in S/F- I- F/S tunnel structures. Phys. Rev. B 2001, 64, 172511. [Google Scholar] [CrossRef]
- Koshina, E.; Krivoruchko, V. Spin polarization and π-phase state of the Josephson contact: Critical current of mesoscopic SFIFS and SFIS junctions. Phys. Rev. B 2001, 63, 224515. [Google Scholar] [CrossRef]
- Shukrinov, Y.M. Anomalous Josephson effect. Physics-Uspekhi 2022, 65, 317. [Google Scholar] [CrossRef]
- Golubov, A.A.; Kupriyanov, M.Y.; Il’Ichev, E. The current-phase relation in Josephson junctions. Rev. Mod. Phys. 2004, 76, 411. [Google Scholar] [CrossRef]
- Buzdin, A.I. Proximity effects in superconductor-ferromagnet heterostructures. Rev. Mod. Phys. 2005, 77, 935. [Google Scholar] [CrossRef]
- Bergeret, F.; Volkov, A.F.; Efetov, K.B. Odd triplet superconductivity and related phenomena in superconductor-ferromagnet structures. Rev. Mod. Phys. 2005, 77, 1321. [Google Scholar] [CrossRef]
- Ruppelt, N.; Sickinger, H.; Menditto, R.; Goldobin, E.; Koelle, D.; Kleiner, R.; Vavra, O.; Kohlstedt, H. Observation of 0–π transition in SIsFS Josephson junctions. Appl. Phys. Lett. 2015, 106, 022602. [Google Scholar] [CrossRef]
- Baek, B.; Rippard, W.H.; Pufall, M.R.; Benz, S.P.; Russek, S.E.; Rogalla, H.; Dresselhaus, P.D. Spin-Transfer Torque Switching in Nanopillar Superconducting-Magnetic Hybrid Josephson Junctions. Phys. Rev. Appl. 2015, 3, 011001. [Google Scholar] [CrossRef]
- Nevirkovets, I.; Mukhanov, O. Peculiar interference pattern of Josephson junctions involving periodic ferromagnet-normal metal structure. Supercond. Sci. Technol. 2018, 31, 03LT01. [Google Scholar] [CrossRef]
- Nevirkovets, I.P. Observation of fractional vortices and π phases in Josephson junctions involving periodic magnetic layers. Phys. Rev. B 2023, 108, 024503. [Google Scholar] [CrossRef]
- Karelina, L.; Shuravin, N.; Ionin, A.; Bakurskiy, S.; Egorov, S.; Golovchanskiy, I.; Chichkov, V.; Bol’ginov, V.; Ryazanov, V. Magnetic Memory Effect in Planar Ferromagnet/Superconductor/Ferromagnet Microbridges Based on Highly Diluted PdFe Alloy. JETP Lett. 2022, 116, 110–116. [Google Scholar] [CrossRef]
- Buzdin, A.I.; Kupriyanov, M.Y.; Vuiichich, B. The oscillation of the critical temperature of the S-F multylayers. Phys. C Supercond. Its Appl. 1991, 185, 2025–2026. [Google Scholar] [CrossRef]
- Izyumov, Y.A.; Proshin, Y.N.; Khusainov, M.G. Competition between superconductivity and magnetism in ferromagnet/superconductor heterostructures. Physics-Uspekhi 2002, 45, 109. [Google Scholar] [CrossRef]
- Oh, S.; Youm, D.; Beasley, M. A superconductive magnetoresistive memory element using controlled exchange interaction. Appl. Phys. Lett. 1997, 71, 2376–2378. [Google Scholar] [CrossRef]
- Tagirov, L. Low-field superconducting spin switch based on a superconductor/ferromagnet multilayer. Phys. Rev. Lett. 1999, 83, 2058. [Google Scholar] [CrossRef]
- Tanaka, Y.; Golubov, A.A. Theory of the proximity effect in junctions with unconventional superconductors. Phys. Rev. Lett. 2007, 98, 037003. [Google Scholar] [CrossRef] [PubMed]
- Leksin, P.V.; Garif’yanov, N.N.; Kamashev, A.A.; Fominov, Y.V.; Schumann, J.; Hess, C.; Kataev, V.; Büchner, B.; Garifullin, I.A. Superconducting spin-valve effect and triplet superconductivity in Co O x/Fe1/Cu/Fe2/Cu/Pb multilayer. Phys. Rev. B 2015, 91, 214508. [Google Scholar] [CrossRef]
- Annunziata, A.J.; Santavicca, D.F.; Frunzio, L.; Catelani, G.; Rooks, M.J.; Frydman, A.; Prober, D.E. Tunable superconducting nanoinductors. Nanotechnology 2010, 21, 445202. [Google Scholar] [CrossRef] [PubMed]
- Splitthoff, L.J.; Bargerbos, A.; Grünhaupt, L.; Pita-Vidal, M.; Wesdorp, J.J.; Liu, Y.; Kou, A.; Andersen, C.K.; van Heck, B. Gate-tunable kinetic inductance in proximitized nanowires. arXiv 2022, arXiv:2202.08729. [Google Scholar] [CrossRef]
- Usadel, K.D. Generalized Diffusion Equation for Superconducting Alloys. Phys. Rev. Lett. 1970, 25, 507–509. [Google Scholar] [CrossRef]
- Kuprianov, M.Y.; Lukichev, V. Influence of boundary transparency on the critical current of dirty SS’S structures. Zhurnal Eksperimentalnoi I Teor. Fiz. 1988, 94, 139–149, Reprinted in Sov. Phys. JETP 1988, 67, 1163–1168. [Google Scholar]
- Samarskii, A.A. Vvedenie v Teoriyu Raznostnykh Skhem (Introduction to the Theory of Difference Schemes); Nauka: Moscow, Russia, 1971; p. 552. [Google Scholar]
- Birge, N.O.; Satchell, N. Ferromagnetic Materials for Josephson π Junctions. arXiv 2024, arXiv:2401.04219. [Google Scholar]
- Neilo, A.; Bakurskiy, S.; Klenov, N.; Soloviev, I.; Kupriyanov, M. Tunnel Josephson Junction with Spin–Orbit/Ferromagnetic Valve. Nanomaterials 2023, 13, 1970. [Google Scholar] [CrossRef]
- Ivanov, Z.G.; Kupriyanov, M.Y.; Likharev, K.K.; Meriakri, S.V.; Snigirev, O.V. Boundary-conditions for the Usadel and Eilenberger equations, and properties of dirty SNS sandwich-type junctions. Fiz. Nizk. Temp. 1981, 7, 560–574, Reprinted in Sov. J. Low. Temp. Phys. 1981, 7, 274–281. [Google Scholar]
- Ruzhickiy, V.; Bakurskiy, S.; Kupriyanov, M.; Klenov, N.; Soloviev, I.; Stolyarov, V.; Golubov, A. Contribution of Processes in SN Electrodes to the Transport Properties of SN-N-NS Josephson Junctions. Nanomaterials 2023, 13, 1873. [Google Scholar] [CrossRef]






Disclaimer/Publisher’s Note: The statements, opinions and data contained in all publications are solely those of the individual author(s) and contributor(s) and not of MDPI and/or the editor(s). MDPI and/or the editor(s) disclaim responsibility for any injury to people or property resulting from any ideas, methods, instructions or products referred to in the content. |
© 2024 by the authors. Licensee MDPI, Basel, Switzerland. This article is an open access article distributed under the terms and conditions of the Creative Commons Attribution (CC BY) license (https://creativecommons.org/licenses/by/4.0/).
Share and Cite
Neilo, A.; Bakurskiy, S.; Klenov, N.; Soloviev, I.; Kupriyanov, M. Spin-Valve-Controlled Triggering of Superconductivity. Nanomaterials 2024, 14, 245. https://doi.org/10.3390/nano14030245
Neilo A, Bakurskiy S, Klenov N, Soloviev I, Kupriyanov M. Spin-Valve-Controlled Triggering of Superconductivity. Nanomaterials. 2024; 14(3):245. https://doi.org/10.3390/nano14030245
Chicago/Turabian StyleNeilo, Alexey, Sergey Bakurskiy, Nikolay Klenov, Igor Soloviev, and Mikhail Kupriyanov. 2024. "Spin-Valve-Controlled Triggering of Superconductivity" Nanomaterials 14, no. 3: 245. https://doi.org/10.3390/nano14030245
APA StyleNeilo, A., Bakurskiy, S., Klenov, N., Soloviev, I., & Kupriyanov, M. (2024). Spin-Valve-Controlled Triggering of Superconductivity. Nanomaterials, 14(3), 245. https://doi.org/10.3390/nano14030245

