Transition to Metallic and Superconducting States Induced by Thermal or Electrical Deoxidation of the Dislocation Network in the Surface Region of SrTiO3
Abstract
1. Introduction
2. Materials and Methods
2.1. Sample Preparation
2.2. Thermogravimetric Measurements
2.3. Thermal Reduction and Effusion Measurements
2.4. Micro-Valdes Measurements
2.5. Local Conductivity Atomic Force Microscopy (LC-AFM)
2.6. X-Ray Photoelectron Spectroscopy (XPS)
2.7. Electro-Reduction Apparatus
2.8. Superconducting Properties Measurements
2.9. Density Functional Theory (DFT) Simulation
3. Results
3.1. Thermal Reduction of Stoichiometric STO
3.2. The Dislocation Network in the Surface Layer of Epi-Polished STO
- Thermal reduction is limited to the core of dislocations (see the correlations between position etch pits and the position of the conducting filaments [30,31,64,75]). Significantly, during this reduction, the segment of dislocations with higher Ti oxides increases the oxygen non-stoichiometry more easily, i.e., it is more effectively reduced. The resistance of conducting dislocations in stoichiometric STO is lowered by six orders of magnitude after reduction, although the dislocations are segmented with metallic TiO or semiconducting Ti2O3 nanophases [31].
- The properties presented in points 3 and 4 allow us to analyze the dislocation distribution in the surface region with a thickness of 30–40 µm as a hierarchic tree of extended defects and, from an electrical point of view, as a hierarchic network of galvanically conducting dislocations [30].
- From nanoscopic measurements of the integrated electrical conductivity of the edge dislocations, the macroscopic metallic conductivity can be derived [31]; the rest of the crystal plays only the role of “spectator” for the electrical transport, although it is a supporter of the three 3D metallic networks of dislocations.
3.3. Stability of the Surface Region upon Heavy Thermal Reduction
3.4. Electroreduction of STO
3.5. Simulation of the Electronic Structure
3.6. Measurements of the Superconducting Properties
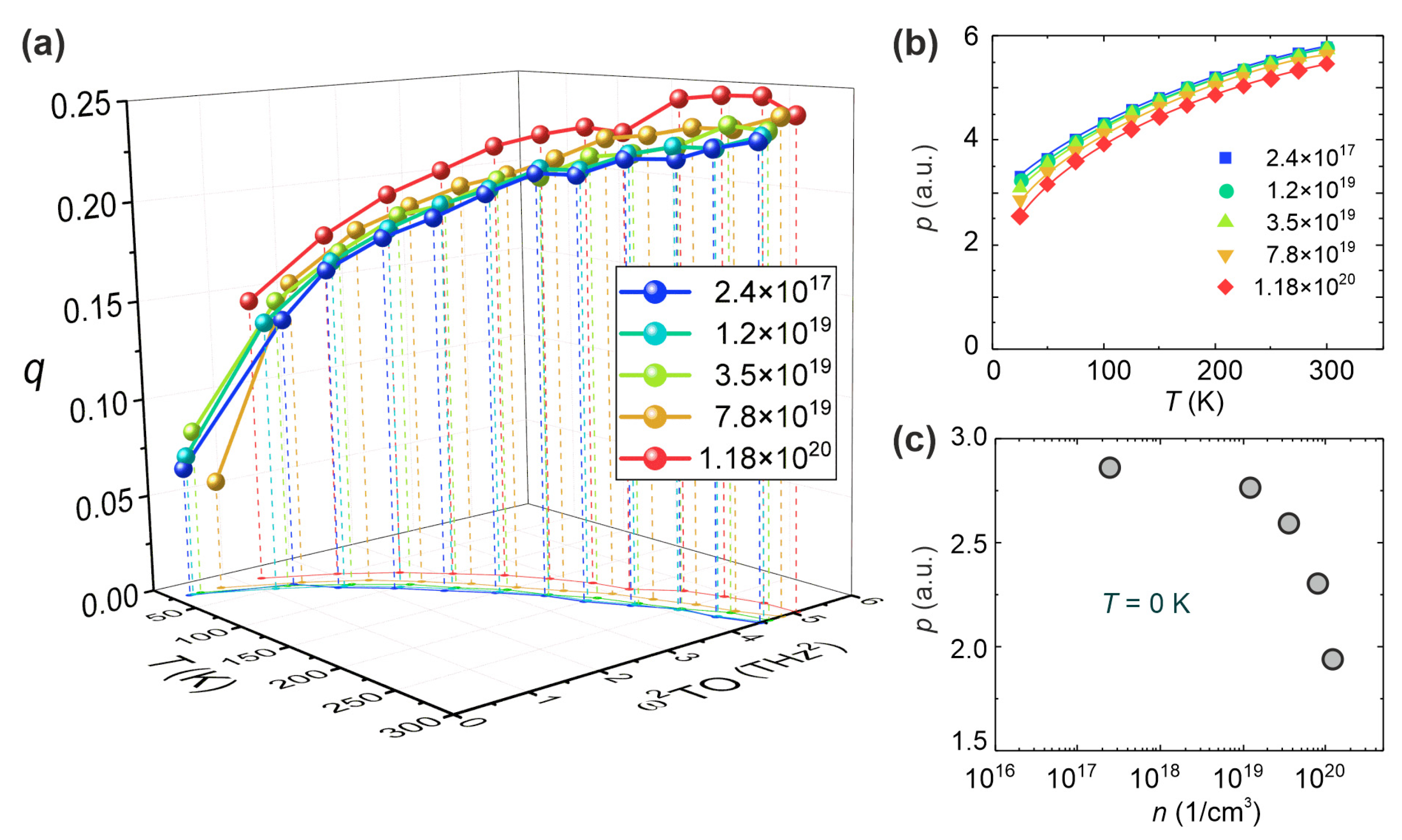
3.7. Theoretical Description of Superconductivity
4. Discussion
Supplementary Materials
Author Contributions
Funding
Data Availability Statement
Acknowledgments
Conflicts of Interest
References
- Schooley, J.F.; Hosler, W.R.; Cohen, M.L. Superconductivity in Semiconducting SrTiO3. Phys. Rev. Lett. 1964, 12, 474–475. [Google Scholar] [CrossRef]
- Koonce, C.S.; Cohen, M.L.; Schooley, J.F.; Hosler, W.R.; Pfeiffer, E.R. Superconducting Transition Temperatures of Semiconducting SrTiO3. Phys. Rev. 1967, 163, 380–390. [Google Scholar] [CrossRef]
- Klose, W.; Schuster, H. On Superconductivity in SrTiO3. Solid State Commun. 1968, 6, 89–91. [Google Scholar] [CrossRef]
- Appel, J. Soft-Mode Superconductivity in SrTiO3−x. Phys. Rev. 1969, 180, 508–516. [Google Scholar] [CrossRef]
- Pfeiffer, E.R.; Schooley, J.F. Effect of Stress on the Superconducting Transition Temperature of SrTiO3. J. Low Temp. Phys. 1970, 2, 333–352. [Google Scholar] [CrossRef]
- Pfeiffer, E.R.; Schooley, J.F. Superconducting Transition Temperatures of Nb-Doped SrTiO3. Phys. Lett. A 1969, 29, 589–590. [Google Scholar] [CrossRef]
- Scheerer, G.; Boselli, M.; Pulmannova, D.; Rischau, C.W.; Waelchli, A.; Gariglio, S.; Giannini, E.; Marel, D.; Triscone, J.-M. Ferroelectricity, Superconductivity, and SrTiO3—Passions of K.A. Müller. Condens. Matter 2020, 5, 60. [Google Scholar] [CrossRef]
- Spinelli, A.; Torija, M.A.; Liu, C.; Jan, C.; Leighton, C. Electronic Transport in Doped SrTiO3: Conduction Mechanisms and Potential Applications. Phys. Rev. B 2010, 81, 155110. [Google Scholar] [CrossRef]
- Cox, P.A. Transition Metal Oxides: An Introduction to Their Electronic Structure and Properties; The International Series of Monographs on Chemistry; Repr.; Clarendon Press: Oxford, UK, 2011; ISBN 978-0-19-958894-7. [Google Scholar]
- Binnig, G.; Baratoff, A.; Hoenig, H.E.; Bednorz, J.G. Two-Band Superconductivity in Nb-Doped SrTiO3. Phys. Rev. Lett. 1980, 45, 1352–1355. [Google Scholar] [CrossRef]
- Collignon, C.; Lin, X.; Rischau, C.W.; Fauqué, B.; Behnia, K. Metallicity and Superconductivity in Doped Strontium Titanate. Annu. Rev. Condens. Matter Phys. 2019, 10, 25–44. [Google Scholar] [CrossRef]
- Suzuki, H.; Bando, H.; Ootuka, Y.; Inoue, I.H.; Yamamoto, T.; Takahashi, K.; Nishihara, Y. Superconductivity in Single-Crystalline Sr1−x LaxTiO3. J. Phys. Soc. Jpn. 1996, 65, 1529–1532. [Google Scholar] [CrossRef]
- Gastiasoro, M.N.; Ruhman, J.; Fernandes, R.M. Superconductivity in Dilute SrTiO3: A Review. Ann. Phys. 2020, 417, 168107. [Google Scholar] [CrossRef]
- Salmani-Rezaie, S.; Galletti, L.; Schumann, T.; Russell, R.; Jeong, H.; Li, Y.; Harter, J.W.; Stemmer, S. Superconductivity in Magnetically Doped SrTiO3. Appl. Phys. Lett. 2021, 118, 202602. [Google Scholar] [CrossRef]
- Ueno, K.; Nakamura, S.; Shimotani, H.; Ohtomo, A.; Kimura, N.; Nojima, T.; Aoki, H.; Iwasa, Y.; Kawasaki, M. Electric-Field-Induced Superconductivity in an Insulator. Nat. Mater. 2008, 7, 855–858. [Google Scholar] [CrossRef]
- Reyren, N.; Thiel, S.; Caviglia, A.D.; Kourkoutis, L.F.; Hammerl, G.; Richter, C.; Schneider, C.W.; Kopp, T.; Ruetschi, A.-S.; Jaccard, D.; et al. Superconducting Interfaces between Insulating Oxides. Science 2007, 317, 1196–1199. [Google Scholar] [CrossRef]
- Meevasana, W.; King, P.D.C.; He, R.H.; Mo, S.-K.; Hashimoto, M.; Tamai, A.; Songsiriritthigul, P.; Baumberger, F.; Shen, Z.-X. Creation and Control of a Two-Dimensional Electron Liquid at the Bare SrTiO3 Surface. Nat. Mater. 2011, 10, 114–118. [Google Scholar] [CrossRef]
- Caviglia, A.D.; Gariglio, S.; Reyren, N.; Jaccard, D.; Schneider, T.; Gabay, M.; Thiel, S.; Hammerl, G.; Mannhart, J.; Triscone, J.-M. Electric Field Control of the LaAlO3/SrTiO3 Interface Ground State. Nature 2008, 456, 624–627. [Google Scholar] [CrossRef] [PubMed]
- Santander-Syro, A.F.; Copie, O.; Kondo, T.; Fortuna, F.; Pailhés, S.; Weht, R.; Qiu, X.G.; Bertran, F.; Nicolaou, A.; Taleb-Ibrahimi, A.; et al. Two-Dimensional Electron Gas with Universal Subbands at the Surface of SrTiO3. Nature 2011, 469, 189–194. [Google Scholar] [CrossRef] [PubMed]
- Fuchs, D.; Schäfer, R.; Sleem, A.; Schneider, R.; Thelen, R.; Von Löhneysen, H. Two-Dimensional Superconductivity Between SrTiO3 and Amorphous Al2O3. Appl. Phys. Lett. 2014, 105, 092602. [Google Scholar] [CrossRef]
- Sengupta, S.; Tisserond, E.; Linez, F.; Monteverde, M.; Murani, A.; Rödel, T.; Lecoeur, P.; Maroutian, T.; Marrache-Kikuchi, C.; Santander-Syro, A.F.; et al. Gate-Tunable Superconductivity at SrTiO3 Surface Realized by Al Layer Evaporation. J. Appl. Phys. 2018, 124, 213902. [Google Scholar] [CrossRef]
- Li, L.; Richter, C.; Mannhart, J.; Ashoori, R.C. Coexistence of Magnetic Order and Two-Dimensional Superconductivity at LaAlO3/SrTiO3 Interfaces. Nat. Phys 2011, 7, 762–766. [Google Scholar] [CrossRef]
- Ge, J.F.; Liu, Z.L.; Liu, C.; Gao, C.L.; Qian, D.; Xue, Q.K.; Liu, Y.; Jia, J.F. Superconductivity above 100 K in Single-Layer FeSe Films on Doped SrTiO3. Nat. Mater. 2015, 14, 285–289. [Google Scholar] [CrossRef] [PubMed]
- Xu, X.; Zhang, S.; Zhu, X.; Guo, J. Superconductivity Enhancement in FeSe/SrTiO3: A Review from the Perspective of Electron-Phonon Coupling. J. Phys. Condes. Matter 2020, 32, 343003. [Google Scholar] [CrossRef] [PubMed]
- Wang, Q.-Y.; Li, Z.; Zhang, W.-H.; Zhang, Z.-C.; Zhang, J.-S.; Li, W.; Ding, H.; Ou, Y.-B.; Deng, P.; Chang, K.; et al. Interface-Induced High-Temperature Superconductivity in Single Unit-Cell FeSe Films on SrTiO3. Chin. Phys. Lett. 2012, 29, 037402. [Google Scholar] [CrossRef]
- Han, S.; Song, C.-L.; Ma, X.-C.; Xue, Q.-K. Interface Enhanced Superconductivity in FeSe/SrTiO3 and the Hidden Nature. Comptes Rendus. Phys. 2022, 22, 163–182. [Google Scholar] [CrossRef]
- Lee, J.J.; Schmitt, F.T.; Moore, R.G.; Johnston, S.; Cui, Y.-T.; Li, W.; Yi, M.; Liu, Z.K.; Hashimoto, M.; Zhang, Y.; et al. Interfacial Mode Coupling as the Origin of the Enhancement of Tc in FeSe Films on SrTiO3. Nature 2014, 515, 245–248. [Google Scholar] [CrossRef] [PubMed]
- Jourdan, M.; Adrian, H. Possibility of Unconventional Superconductivity of SrTiO3−δ. Phys. C Supercond. 2003, 388–389, 509–510. [Google Scholar] [CrossRef]
- Jourdan, M.; Blümer, N.; Adrian, H. Superconductivity of SrTiO3−δ. Eur. Phys. J. B 2003, 33, 25–30. [Google Scholar] [CrossRef][Green Version]
- Szot, K.; Rodenbücher, C.; Bihlmayer, G.; Speier, W.; Ishikawa, R.; Shibata, N.; Ikuhara, Y. Influence of Dislocations in Transition Metal Oxides on Selected Physical and Chemical Properties. Crystals 2018, 8, 241. [Google Scholar] [CrossRef]
- Szot, K.; Bihlmayer, G.; Speier, W. Nature of the Resistive Switching Phenomena in TiO2 and SrTiO3. In Solid State Physics 65; Camley, R.E., Stamps, R.L., Eds.; Academic Press: Cambridge, MA, USA, 2014; pp. 353–559. [Google Scholar]
- Andersson, S.; Collén, B.; Kuylenstierna, U.; Magnéli, A. Phase Analysis Studies on the Titanium-Oxygen System. Acta Chem. Scand. 1957, 11, 1641–1652. [Google Scholar] [CrossRef]
- Fujimoto, M.; Watanabe, M. TinO2n−1 Magnéli Phase Formation in SrTiO3 Dielectrics. J. Mater. Sci 1985, 20, 3683–3690. [Google Scholar] [CrossRef]
- Guan, L.; Li, M.; Li, X.; Feng, L.; Teng, F.; Liu, B.; Wei, Z.; Musgrave, C.B. Electronic and Dielectric Properties of Ruddlesden–Popper Type and Magnéli Type SrTiO3. Comput. Mater. Sci. 2015, 96, 223–228. [Google Scholar] [CrossRef]
- van der Marel, D.; Barantani, F.; Rischau, C.W. Possible Mechanism for Superconductivity in Doped SrTiO3. Phys. Rev. Res. 2019, 1, 013003. [Google Scholar] [CrossRef]
- Lin, X.; Bridoux, G.; Gourgout, A.; Seyfarth, G.; Krämer, S.; Nardone, M.; Fauqué, B.; Behnia, K. Critical Doping for the Onset of a Two-Band Superconducting Ground State in SrTiO3−δ. Phys. Rev. Lett. 2014, 112, 207002. [Google Scholar] [CrossRef]
- Collignon, C.; Bourges, P.; Fauqué, B.; Behnia, K. Heavy Nondegenerate Electrons in Doped Strontium Titanate. Phys. Rev. X 2020, 10, 031025. [Google Scholar] [CrossRef]
- Wölfle, P.; Balatsky, A.V. Superconductivity at Low Density near a Ferroelectric Quantum Critical Point: Doped SrTiO3. Phys. Rev. B 2018, 98, 104505. [Google Scholar] [CrossRef]
- Kanasugi, S.; Yanase, Y. Multiorbital Ferroelectric Superconductivity in Doped SrTiO3. Phys. Rev. B 2019, 100, 094504. [Google Scholar] [CrossRef]
- Trevisan, T.V.; Schutt, M.; Fernandes, R.M. Unconventional Multiband Superconductivity in Bulk SrTiO3 and LaAlO3/SrTiO3 Interfaces. Phys. Rev. Lett. 2018, 121, 127002. [Google Scholar] [CrossRef]
- Edge, J.M.; Balatsky, A.V. Upper Critical Field as a Probe for Multiband Superconductivity in Bulk and Interfacial STO. J. Supercond. Nov. Magn 2015, 28, 2373–2384. [Google Scholar] [CrossRef]
- Russell, R.; Ratcliff, N.; Ahadi, K.; Dong, L.; Stemmer, S.; Harter, J.W. Ferroelectric Enhancement of Superconductivity in Compressively Strained SrTiO3 Films. Phys. Rev. Mater. 2019, 3, 091401. [Google Scholar] [CrossRef]
- Kwon, D.-H.; Lee, S.; Kang, C.S.; Choi, Y.S.; Kang, S.J.; Cho, H.L.; Sohn, W.; Jo, J.; Lee, S.-Y.; Oh, K.H.; et al. Unraveling the Origin and Mechanism of Nanofilament Formation in Polycrystalline SrTiO3 Resistive Switching Memories. Adv. Mater. 2019, 31, 1901322. [Google Scholar] [CrossRef] [PubMed]
- Kamaladasa, R.J.; Noman, M.; Chen, W.; Salvador, P.A.; Bain, J.A.; Skowronski, M.; Picard, Y.N. Dislocation Impact on Resistive Switching in Single-Crystal SrTiO3. J. Appl. Phys. 2013, 113, 234510. [Google Scholar] [CrossRef]
- Liao, X.; Zhang, Y.; Wang, J.; Kang, J.; Zhang, J.; Wang, J.; Zheng, J.; Wang, H. Resistance Switching Behavior in Rectangle-Nano-Pattern SrTiO3 Induced by Simple Annealing. Materials 2019, 12, 3698. [Google Scholar] [CrossRef] [PubMed]
- Lee, W.; Yoo, S.; Yoon, K.J.; Yeu, I.W.; Chang, H.J.; Choi, J.-H.; Hoffmann-Eifert, S.; Waser, R.; Hwang, C.S. Resistance Switching Behavior of Atomic Layer Deposited SrTiO3 Film through Possible Formation of Sr2Ti6O13 or Sr1Ti11O20 Phases. Sci. Rep. 2016, 6, 20550. [Google Scholar] [CrossRef] [PubMed]
- Waser, R.; Aono, M. Nanoionics-Based Resistive Switching Memories. Nat. Mater. 2007, 6, 833–840. [Google Scholar] [CrossRef] [PubMed]
- Strachan, J.P.; Pickett, M.D.; Yang, J.J.; Aloni, S.; David Kilcoyne, A.L.; Medeiros-Ribeiro, G.; Stanley Williams, R. Direct Identification of the Conducting Channels in a Functioning Memristive Device. Adv. Mater. 2010, 22, 3573–3577. [Google Scholar] [CrossRef]
- Park, S.-G.; Magyari-Kope, B.; Nishi, Y. Impact of Oxygen Vacancy Ordering on the Formation of a Conductive Filament in TiO2 for Resistive Switching Memory. IEEE Electron Device Lett. 2011, 32, 197–199. [Google Scholar] [CrossRef]
- Baeumer, C.; Schmitz, C.; Ramadan, A.H.H.; Du, H.; Skaja, K.; Feyer, V.; Müller, P.; Arndt, B.; Jia, C.-L.; Mayer, J.; et al. Spectromicroscopic Insights for Rational Design of Redox-Based Memristive Devices. Nat. Commun. 2015, 6, 8610. [Google Scholar] [CrossRef]
- Celano, U.; Yin Chen, Y.; Wouters, D.J.; Groeseneken, G.; Jurczak, M.; Vandervorst, W. Filament Observation in Metal-Oxide Resistive Switching Devices. Appl. Phys. Lett. 2013, 102, 121602. [Google Scholar] [CrossRef]
- Du, H.; Jia, C.-L.; Koehl, A.; Barthel, J.; Dittmann, R.; Waser, R.; Mayer, J. Nanosized Conducting Filaments Formed by Atomic-Scale Defects in Redox-Based Resistive Switching Memories. Chem. Mater. 2017, 29, 3164–3173. [Google Scholar] [CrossRef]
- Stille, S.; Lenser, C.; Dittmann, R.; Koehl, A.; Krug, I.; Muenstermann, R.; Perlich, J.; Schneider, C.M.; Klemradt, U.; Waser, R. Detection of Filament Formation in Forming-Free Resistive Switching SrTiO3 Devices with Ti Top Electrodes. Appl. Phys. Lett. 2012, 100, 223503. [Google Scholar] [CrossRef]
- Rodenbücher, C.; Meuffels, P.; Speier, W.; Ermrich, M.; Wrana, D.; Krok, F.; Szot, K. Stability and Decomposition of Perovskite-Type Titanates upon High-Temperature Reduction. Phys. Status Solidi Rapid Res. Lett. 2017, 11, 1700222. [Google Scholar] [CrossRef]
- Rodenbücher, C.; Korte, C.; Schmitz-Kempen, T.; Bette, S.; Szot, K. A Physical Method for Investigating Defect Chemistry in Solid Metal Oxides. APL Mater. 2021, 9, 011106. [Google Scholar] [CrossRef]
- Beyer, W.; Herion, J.; Wagner, H.; Zastrow, U. Hydrogen Stability in Amorphous Germanium Films. Philos. Mag. B 1991, 63, 269–279. [Google Scholar] [CrossRef]
- Valdes, L. Resistivity Measurements on Germanium for Transistors. Proc. IRE 1954, 42, 420–427. [Google Scholar] [CrossRef]
- Perdew, J.P.; Burke, K.; Ernzerhof, M. Generalized Gradient Approximation Made Simple. Phys. Rev. Lett. 1996, 77, 3865–3868. [Google Scholar] [CrossRef] [PubMed]
- Wimmer, E.; Krakauer, H.; Weinert, M.; Freeman, A.J. Full-Potential Self-Consistent Linearized-Augmented-Plane-Wave Method for Calculating the Electronic Structure of Molecules and Surfaces: O2 Molecule. Phys. Rev. B 1981, 24, 864–875. [Google Scholar] [CrossRef]
- Al-Zubi, A.; Bihlmayer, G.; Blügel, S. Electronic Structure of Oxygen-Deficient SrTiO3 and Sr2TiO4. Crystals 2019, 9, 580. [Google Scholar] [CrossRef]
- Sim, S.; Yang, H.; Kim, H.-L.; Coak, M.J.; Itoh, M.; Noda, Y.; Park, J.-G. Sizable Suppression of Thermal Hall Effect upon Isotopic Substitution in SrTiO3. Phys. Rev. Lett. 2021, 126, 015901. [Google Scholar] [CrossRef]
- Yamada, H.; Miller, G.R. Point Defects in Reduced Strontium Titanate. J. Solid State Chem. 1973, 6, 169–177. [Google Scholar] [CrossRef]
- Ahrens, M.; Merkle, R.; Rahmati, B.; Maier, J. Effective Masses of Electrons in N-Type SrTiO3 Determined from Low-Temperature Specific Heat Capacities. Phys. B Condens. Matter 2007, 393, 239–248. [Google Scholar] [CrossRef]
- Szot, K.; Speier, W.; Carius, R.; Zastrow, U.; Beyer, W. Localized Metallic Conductivity and Self-Healing During Thermal Reduction of SrTiO3. Phys. Rev. Lett. 2002, 88, 075508. [Google Scholar] [CrossRef]
- Nowotny, M.K.; Bak, T.; Nowotny, J. Electrical Properties and Defect Chemistry of TiO2 Single Crystal. I. Electrical Conductivity. J. Phys. Chem. B 2006, 110, 16270–16282. [Google Scholar] [CrossRef] [PubMed]
- Leis, A.; Rodenbücher, C.; Szot, K.; Cherepanov, V.; Tautz, F.S.; Voigtländer, B. In-Situ Four-Tip STM Investigation of the Transition from 2D to 3D Charge Transport in SrTiO3. Sci. Rep. 2019, 9, 2476. [Google Scholar] [CrossRef] [PubMed]
- Wang, R.; Zhu, Y.; Shapiro, S.M. Structural Defects and the Origin of the Second Length Scale in SrTiO3. Phys. Rev. Lett. 1998, 80, 2370–2373. [Google Scholar] [CrossRef]
- Yamanaka, J. Distribution of Dislocations in SrTiO3 Single Crystals. Mater. Trans. JIM 1999, 40, 915–918. [Google Scholar] [CrossRef]
- Buban, J.P.; Chi, M.; Masiel, D.J.; Bradley, J.P.; Jiang, B.; Stahlberg, H.; Browning, N.D. Structural Variability of Edge Dislocations in a SrTiO3 Low-Angle [001] Tilt Grain Boundary. J. Mater. Res. 2009, 24, 2191–2199. [Google Scholar] [CrossRef]
- Jia, C.L.; Thust, A.; Urban, K. Atomic-Scale Analysis of the Oxygen Configuration at a SrTiO3 Dislocation Core. Phys. Rev. Lett. 2005, 95, 225506. [Google Scholar] [CrossRef]
- Gao, P.; Ishikawa, R.; Feng, B.; Kumamoto, A.; Shibata, N.; Ikuhara, Y. Atomic-Scale Structure Relaxation, Chemistry and Charge Distribution of Dislocation Cores in SrTiO3. Ultramicroscopy 2018, 184, 217–224. [Google Scholar] [CrossRef]
- Gao, P.; Yang, S.; Ishikawa, R.; Li, N.; Feng, B.; Kumamoto, A.; Shibata, N.; Yu, P.; Ikuhara, Y. Atomic-Scale Measurement of Flexoelectric Polarization at SrTiO3 Dislocations. Phys. Rev. Lett. 2018, 120, 267601. [Google Scholar] [CrossRef]
- Du, H.; Jia, C.-L.; Mayer, J. Local Crystallographic Shear Structures in a [201] Extended Mixed Dislocations of SrTiO3 Unraveled by Atomic-Scale Imaging Using Transmission Electron Microscopy and Spectroscopy. Faraday Discuss. 2019, 213, 245–258. [Google Scholar] [CrossRef]
- Marshall, M.S.J.; Becerra-Toledo, A.E.; Marks, L.D.; Castell, M.R. Surface and Defect Structure of Oxide Nanowires on SrTiO3. Phys. Rev. Lett. 2011, 107, 086102. [Google Scholar] [CrossRef]
- Bussmann-Holder, A.; Keller, H.; Simon, A.; Bihlmayer, G.; Roleder, K.; Szot, K. Unconventional Co-Existence of Insulating Nano-Regions and Conducting Filaments in Reduced SrTiO3: Mode Softening, Local Piezoelectricity, and Metallicity. Crystals 2020, 10, 437. [Google Scholar] [CrossRef]
- Kwak, I.H.; Varnoosfaderani, S.S.; Barquist, C.S.; Paykar, A.; Shakya, A.; Lee, Y.; Hebard, A.F.; Biswas, A. Optimization of Atomically Smooth and Metallic Surface of SrTiO3. J. Appl. Phys. 2017, 121, 135305. [Google Scholar] [CrossRef]
- Lim, H.; Song, C.; Seo, M.; Kim, D.; Jung, M.; Kang, H.; Kim, S.; Lee, K.-J.; Yu, Y.; Kim, G.; et al. Nature of the Surface Space Charge Layer on Undoped SrTiO3 (001). J. Mater. Chem. C 2021, 9, 13094–13102. [Google Scholar] [CrossRef]
- Tufte, O.N. Piezoresistive Properties of Reduced Strontium Titanate. Phys. Rev. 1966, 141, 675–680. [Google Scholar] [CrossRef]
- Frederikse, H.P.R.; Turber, W.R.; Hosler, W.R. Electronic Transport in Strontium Titanate. Phys. Rev. 1964, 134, A442–A445. [Google Scholar] [CrossRef]
- Yan, L.; Bo, T.; Wang, B.-T.; Tretiak, S.; Zhou, L. Single-Layer Dititanium Oxide Ti2O MOene: Multifunctional Promises for Electride, Anode Materials, and Superconductor. J. Phys. Chem. Lett. 2021, 12, 494–500. [Google Scholar] [CrossRef]
- Hulm, J.K.; Jones, C.K.; Hein, R.A.; Gibson, J.W. Superconductivity in the TiO and NbO Systems. J. Low Temp. Phys. 1972, 7, 291–307. [Google Scholar] [CrossRef]
- Rodenbücher, C.; Menzel, S.; Wrana, D.; Gensch, T.; Korte, C.; Krok, F.; Szot, K. Current Channeling Along Extended Defects during Electroreduction of SrTiO3. Sci. Rep. 2019, 9, 2502. [Google Scholar] [CrossRef]
- Li, F.; Zou, Y.; Han, M.-G.; Foyevtsova, K.; Shin, H.; Lee, S.; Liu, C.; Shin, K.; Albright, S.D.; Sutarto, R.; et al. Single-Crystalline Epitaxial TiO Film: A Metal and Superconductor, Similar to Ti Metal. Sci. Adv. 2021, 7, eabd4248. [Google Scholar] [CrossRef] [PubMed]
- Alexandrov, V.E.; Kotomin, E.A.; Maier, J.; Evarestov, R.A. First-Principles Study of Bulk and Surface Oxygen Vacancies in SrTiO3 Crystal. Eur. Phys. J. B 2009, 72, 53–57. [Google Scholar] [CrossRef]
- Cuong, D.D.; Lee, B.; Choi, K.M.; Ahn, H.-S.; Han, S.; Lee, J. Oxygen Vacancy Clustering and Electron Localization in Oxygen-Deficient SrTiO3: LDA+U Study. Phys. Rev. Lett. 2007, 98, 115503. [Google Scholar] [CrossRef] [PubMed]
- Li, W.-H.; Yang, C.C.; Tsao, F.C.; Wu, S.Y.; Huang, P.J.; Chung, M.K.; Yao, Y.D. Enhancement of Superconductivity by the Small Size Effect in in Nanoparticles. Phys. Rev. B 2005, 72, 214516. [Google Scholar] [CrossRef]
- Bezryadin, A.; Lau, C.N.; Tinkham, M. Quantum Suppression of Superconductivity in Ultrathin Nanowires. Nature 2000, 404, 971–974. [Google Scholar] [CrossRef]
- Ansermet, D.; Petrović, A.P.; He, S.; Chernyshov, D.; Hoesch, M.; Salloum, D.; Gougeon, P.; Potel, M.; Boeri, L.; Andersen, O.K.; et al. Reentrant Phase Coherence in Superconducting Nanowire Composites. ACS Nano 2016, 10, 515–523. [Google Scholar] [CrossRef]
- Salje, E.K.H.; Aktas, O.; Carpenter, M.A.; Laguta, V.V.; Scott, J.F. Domains within Domains and Walls within Walls: Evidence for Polar Domains in Cryogenic SrTiO3. Phys. Rev. Lett. 2013, 111, 247603. [Google Scholar] [CrossRef]
- Migoni, R.; Bilz, H.; Bäuerle, D. Origin of Raman Scattering and Ferroelectricity in Oxidic Perovskites. Phys. Rev. Lett. 1976, 37, 1155–1158. [Google Scholar] [CrossRef]
- Bussmann-Holder, A. The Polarizability Model for Ferroelectricity in Perovskite Oxides. J. Phys. Condens. Matter 2012, 24, 273202. [Google Scholar] [CrossRef]
- Collignon, C. Superfluid Density and Carrier Concentration across a Superconducting Dome: The Case of Strontium Titanate. Phys. Rev. B 2017, 96, 224506. [Google Scholar] [CrossRef]
- Bussmann-Holder, A. A Simple Recipe to Calculate the Thermal Conductivity of Anharmonic Crystals: The Case of SrTiO3. Ferroelectrics 2019, 553, 26–35. [Google Scholar] [CrossRef]
- Bussmann-Holder, A.; Bishop, A.R. Intrinsic Inhomogeneity as Origin of Incomplete Ferroelectricity. EPL 2006, 76, 945. [Google Scholar] [CrossRef]
- Bäuerle, D.; Wagner, D.; Wöhlecke, M.; Dorner, B.; Kraxenberger, H. Soft Modes in Semiconducting SrTiO3: II. The Ferroelectric Mode. Z. Phys. B Condens. Matter 1980, 38, 335–339. [Google Scholar] [CrossRef]
- Tao, Q.; Loret, B.; Xu, B.; Yang, X.; Rischau, C.W.; Lin, X.; Fauqué, B.; Verstraete, M.J.; Behnia, K. Nonmonotonic Anisotropy in Charge Conduction Induced by Antiferrodistortive Transition in Metallic SrTiO3. Phys. Rev. B 2016, 94, 035111. [Google Scholar] [CrossRef]
- Bussmann-Holder, A.; Keller, H. From SrTiO3 to Cuprates and Back to SrTiO3: A Way Along Alex Müller’s Scientific Career. Condens. Matter 2020, 6, 2. [Google Scholar] [CrossRef]
- Bussmann-Holder, A.; Keller, H.; Simon, A.; Bianconi, A. Multi-Band Superconductivity and the Steep Band/Flat Band Scenario. Condens. Matter 2019, 4, 91. [Google Scholar] [CrossRef]
- Hirth, J.P.; Lothe, J. Theory of Dislocations; Reprint Edition; Krieger Pub. Co.: Malabar, FL, USA, 1992; ISBN 978-0-89464-617-1. [Google Scholar]
- Wrana, D.; Rodenbücher, C.; Bełza, W.; Szot, K.; Krok, F. In situ study of redox processes on the surface of SrTiO3 single crystals. Appl. Surf. Sci. 2018, 432, 46–52. [Google Scholar] [CrossRef]
- Rodenbücher, C.; Wojtyniak, M.; Szot, K. Conductive AFM for Nanoscale Analysis of High-k Dielectric Metal Oxides. In Electrical Atomic Force Microscopy for Nanoelectronics; Celano, U., Ed.; Springer International Publishing: Berlin/Heidelberg, Germany, 2019; pp. 29–70. [Google Scholar] [CrossRef]
- Szot, K.; Speier, W.; Bihlmayer, G.; Waser, R. Switching the electrical resistance of individual dislocations in single-crystalline SrTiO3. Nat. Mater. 2006, 5, 312–320. [Google Scholar] [CrossRef]
- Waser, R.; Dittmann, R.; Staikov, G.; Szot, K. Redox-Based Resistive Switching Memories—Nanoionic Mechanisms, Prospects, and Challenges. Adv. Mater. 2009, 21, 2632–2663. [Google Scholar] [CrossRef]
- Rodenbücher, C.; Wrana, D.; Gensch, T.; Krok, F.; Korte, C.; Szot, K. The Electronic Properties of Extended Defects in SrTiO3—A Case Study of a Real Bicrystal Boundary. Crystals 2020, 10, 665. [Google Scholar] [CrossRef]













| Temperature (°C) | Amount of Effused Oxygen from an STO Crystal with Size 1 × 1 × 0.05 cm3 |
|---|---|
| 600 | 1.3 × 1012 * |
| 700 | 2.1 × 1012 * |
| 800 | 1.6 × 1012 |
| 900 | 5.5 × 1012 |
| 1000 | 5.3 × 1012 |
| Temperature (°C) | Total Effused Oxygen | Increase in Oxygen Non-Stoichiometry in the Dislocation Network * | Total Oxygen Non-Stoichiometry in the Network |
|---|---|---|---|
| 800 | 1.6 × 1012 | 1.9 × 1019/cm3 | 1.9 × 1019/cm3 |
| 900 | 5.5 × 1012 | 6.6 × 1019/cm3 | 8.5 × 1019/cm3 |
| 1000 | 5.3 × 1012 | 6.4 × 1019/cm3 | 1.5 × 1020/cm3 |
Disclaimer/Publisher’s Note: The statements, opinions and data contained in all publications are solely those of the individual author(s) and contributor(s) and not of MDPI and/or the editor(s). MDPI and/or the editor(s) disclaim responsibility for any injury to people or property resulting from any ideas, methods, instructions or products referred to in the content. |
© 2024 by the authors. Licensee MDPI, Basel, Switzerland. This article is an open access article distributed under the terms and conditions of the Creative Commons Attribution (CC BY) license (https://creativecommons.org/licenses/by/4.0/).
Share and Cite
Szot, K.; Rodenbücher, C.; Rogacki, K.; Bihlmayer, G.; Speier, W.; Roleder, K.; Krok, F.; Keller, H.; Simon, A.; Bussmann-Holder, A. Transition to Metallic and Superconducting States Induced by Thermal or Electrical Deoxidation of the Dislocation Network in the Surface Region of SrTiO3. Nanomaterials 2024, 14, 1944. https://doi.org/10.3390/nano14231944
Szot K, Rodenbücher C, Rogacki K, Bihlmayer G, Speier W, Roleder K, Krok F, Keller H, Simon A, Bussmann-Holder A. Transition to Metallic and Superconducting States Induced by Thermal or Electrical Deoxidation of the Dislocation Network in the Surface Region of SrTiO3. Nanomaterials. 2024; 14(23):1944. https://doi.org/10.3390/nano14231944
Chicago/Turabian StyleSzot, Krzysztof, Christian Rodenbücher, Krzysztof Rogacki, Gustav Bihlmayer, Wolfgang Speier, Krystian Roleder, Franciszek Krok, Hugo Keller, Arndt Simon, and Annette Bussmann-Holder. 2024. "Transition to Metallic and Superconducting States Induced by Thermal or Electrical Deoxidation of the Dislocation Network in the Surface Region of SrTiO3" Nanomaterials 14, no. 23: 1944. https://doi.org/10.3390/nano14231944
APA StyleSzot, K., Rodenbücher, C., Rogacki, K., Bihlmayer, G., Speier, W., Roleder, K., Krok, F., Keller, H., Simon, A., & Bussmann-Holder, A. (2024). Transition to Metallic and Superconducting States Induced by Thermal or Electrical Deoxidation of the Dislocation Network in the Surface Region of SrTiO3. Nanomaterials, 14(23), 1944. https://doi.org/10.3390/nano14231944

