Controlled Formation of Silicon-Vacancy Centers in High-Pressure Nanodiamonds Produced from an “Adamantane + Detonation Nanodiamond” Mixture
Abstract
1. Introduction
2. Materials and Methods
3. Results and Discussion
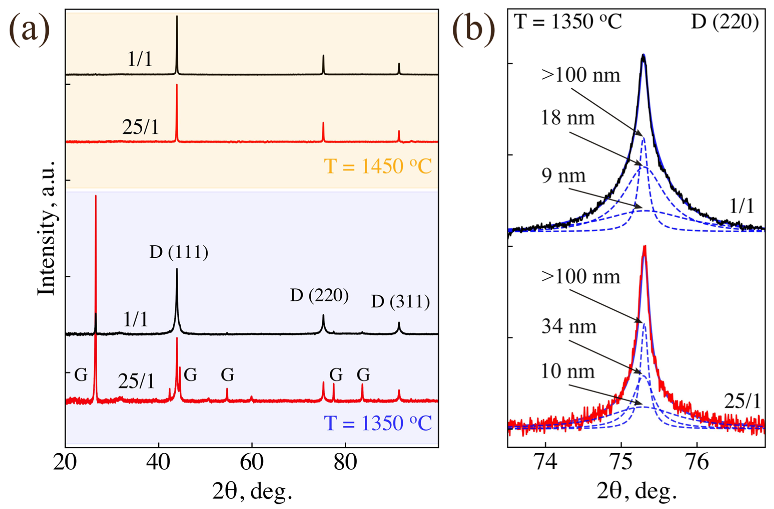
3.1. Characterization of NDs Synthesized from Adamantane/DND Mixture
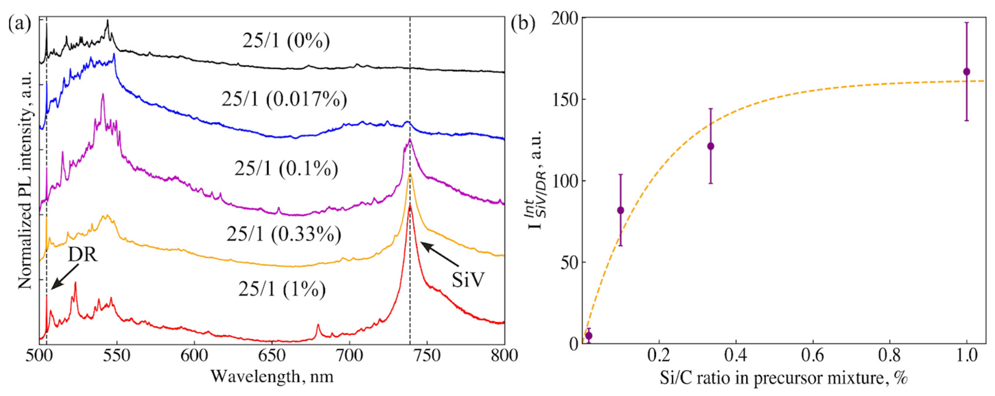
3.2. The Controlled Formation of SiV− Centers in NDs
4. Conclusions
Author Contributions
Funding
Data Availability Statement
Conflicts of Interest
Appendix A. XRD Analysis of DND Powder Treated at HPHT

Appendix B. Raman Analysis of DND Powder Treated at HPHT

References
- Kurtsiefer, C.; Mayer, S.; Zarda, P.; Weinfurter, H. Stable Solid-State Source of Single Photons. Phys. Rev. Lett. 2000, 85, 290–293. [Google Scholar] [CrossRef] [PubMed]
- Le Floch, J.-M.; Bradac, C.; Nand, N.; Castelletto, S.; Tobar, M.E.; Volz, T. Addressing a Single Spin in Diamond with a Macroscopic Dielectric Microwave Cavity. Appl. Phys. Lett. 2014, 105, 133101. [Google Scholar] [CrossRef]
- Lončar, M.; Faraon, A. Quantum Photonic Networks in Diamond. MRS Bull. 2013, 38, 144–148. [Google Scholar] [CrossRef]
- Ermakova, A.; Pramanik, G.; Cai, J.-M.; Algara-Siller, G.; Kaiser, U.; Weil, T.; Tzeng, Y.-K.; Chang, H.C.; McGuinness, L.P.; Plenio, M.B.; et al. Detection of a Few Metallo-Protein Molecules Using Color Centers in Nanodiamonds. Nano Lett. 2013, 13, 3305–3309. [Google Scholar] [CrossRef] [PubMed]
- Bernien, H.; Hensen, B.; Pfaff, W.; Koolstra, G.; Blok, M.S.; Robledo, L.; Taminiau, T.H.; Markham, M.; Twitchen, D.J.; Childress, L.; et al. Heralded Entanglement between Solid-State Qubits Separated by Three Metres. Nature 2013, 497, 86–90. [Google Scholar] [CrossRef]
- Benedikter, J.; Kaupp, H.; Hümmer, T.; Liang, Y.; Bommer, A.; Becher, C.; Krueger, A.; Smith, J.M.; Hänsch, T.W.; Hunger, D. Cavity-Enhanced Single-Photon Source Based on the Silicon-Vacancy Center in Diamond. Phys. Rev. Appl. 2017, 7, 024031. [Google Scholar] [CrossRef]
- Ngan, K.; Zhan, Y.; Dory, C.; Vučković, J.; Sun, S. Quantum Photonic Circuits Integrated with Color Centers in Designer Nanodiamonds. Nano Lett. 2023, 23, 9360–9366. [Google Scholar] [CrossRef]
- Zuber, J.A.; Li, M.; Puigibert, M.G.; Happacher, J.; Reiser, P.; Shields, B.J.; Maletinsky, P. Shallow Silicon Vacancy Centers with Lifetime-Limited Optical Linewidths in Diamond Nanostructures. Nano Lett. 2023, 23, 10901–10907. [Google Scholar] [CrossRef]
- Klotz, M.; Waltrich, R.; Lettner, N.; Agafonov, V.N.; Kubanek, A. Strongly Coupled Spins of Silicon-Vacancy Centers inside a Nanodiamond with Sub-Megahertz Linewidth. Nanophotonics 2024, 13, 2361–2366. [Google Scholar] [CrossRef]
- Fu, C.-C.; Lee, H.-Y.; Chen, K.; Lim, T.-S.; Wu, H.-Y.; Lin, P.-K.; Wei, P.-K.; Tsao, P.-H.; Chang, H.-C.; Fann, W. Characterization and Application of Single Fluorescent Nanodiamonds as Cellular Biomarkers. Proc. Natl. Acad. Sci. USA 2007, 104, 727–732. [Google Scholar] [CrossRef]
- Romshin, A.M.; Zeeb, V.; Martyanov, A.K.; Kudryavtsev, O.S.; Pasternak, D.G.; Sedov, V.S.; Ralchenko, V.G.; Sinogeykin, A.G.; Vlasov, I.I. A new approach to precise mapping of local temperature fields in submicrometer aqueous volumes. Sci. Rep. 2021, 11, 14228. [Google Scholar] [CrossRef] [PubMed]
- Tisler, J.; Reuter, R.; Lämmle, A.; Jelezko, F.; Balasubramanian, G.; Hemmer, P.R.; Reinhard, F.; Wrachtrup, J. Highly Efficient FRET from a Single Nitrogen-Vacancy Center in Nanodiamonds to a Single Organic Molecule. ACS Nano 2011, 5, 7893–7898. [Google Scholar] [CrossRef] [PubMed]
- Alkahtani, M. Silicon Vacancy in Boron-Doped Nanodiamonds for Optical Temperature Sensing. Materials 2023, 16, 5942. [Google Scholar] [CrossRef] [PubMed]
- Kromka, A.; Varga, M.; Aubrechtová Dragounová, K.; Babčenko, O.; Pfeifer, R.; Flatae, A.M.; Sledz, F.; Akther, F.; Agio, M.; Potocký, Š.; et al. High-Yield Production of SiV-Doped Nanodiamonds for Spectroscopy and Sensing Applications. ACS Appl. Nano Mater. 2024, 7, 24766–24777. [Google Scholar] [CrossRef] [PubMed]
- Fujiwara, M.; Uchida, G.; Ohki, I.; Liu, M.; Tsurui, A.; Yoshikawa, T.; Nishikawa, M.; Mizuochi, N. All-Optical Nanoscale Thermometry Based on Silicon-Vacancy Centers in Detonation Nanodiamonds. Carbon 2022, 198, 57–62. [Google Scholar] [CrossRef]
- Weil, T.; Liu, W.; Alam, M.N.A.; Liu, Y.; Agafonov, V.N.; Qi, H.; Koynov, K.; Davydov, V.A.; Uzbekov, R.; Kaiser, U.; et al. Silicon-Vacancy Nanodiamonds as High Performance Near-Infrared Emitters for Live-Cell Dual-Color Imaging and Thermometry. Nano Lett. 2022, 22, 2881–2888. [Google Scholar] [CrossRef]
- Wu, Y.; Weil, T. Recent Developments of Nanodiamond Quantum Sensors for Biological Applications. Adv. Sci. 2022, 9, 2200059. [Google Scholar] [CrossRef]
- Neu, E.; Arend, C.; Gross, E.; Guldner, F.; Hepp, C.; Steinmetz, D.; Zscherpel, E.; Ghodbane, S.; Sternschulte, H.; Steinmüller-Nethl, D.; et al. Narrowband Fluorescent Nanodiamonds Produced from Chemical Vapor Deposition Films. Appl. Phys. Lett. 2011, 98, 243107. [Google Scholar] [CrossRef]
- Lindner, S.; Bommer, A.; Muzha, A.; Krueger, A.; Gines, L.; Mandal, S.; Williams, O.; Londero, E.; Gali, A.; Becher, C. Strongly Inhomogeneous Distribution of Spectral Properties of Silicon-Vacancy Color Centers in Nanodiamonds. New J. Phys. 2018, 20, 115002. [Google Scholar] [CrossRef]
- Chang, S.L.Y.; Reineck, P.; Krueger, A.; Mochalin, V.N. Ultrasmall Nanodiamonds: Perspectives and Questions. ACS Nano 2022, 16, 8513–8524. [Google Scholar] [CrossRef]
- Liang, Y.; Ozawa, M.; Krueger, A. A General Procedure to Functionalize Agglomerating Nanoparticles Demonstrated on Nanodiamond. ACS Nano 2009, 3, 2288–2296. [Google Scholar] [CrossRef] [PubMed]
- Neu, E.; Steinmetz, D.; Riedrich-Möller, J.; Gsell, S.; Fischer, M.; Schreck, M.; Becher, C. Single Photon Emission from Silicon-Vacancy Colour Centres in Chemical Vapour Deposition Nano-Diamonds on Iridium. New J. Phys. 2011, 13, 025012. [Google Scholar] [CrossRef]
- Neu, E.; Fischer, M.; Gsell, S.; Schreck, M.; Becher, C. Fluorescence and Polarization Spectroscopy of Single Silicon Vacancy Centers in Heteroepitaxial Nanodiamonds on Iridium. Phys. Rev. B 2011, 84, 205211. [Google Scholar] [CrossRef]
- Neu, E.; Hepp, C.; Hauschild, M.; Gsell, S.; Fischer, M.; Sternschulte, H.; Steinmüller-Nethl, D.; Schreck, M.; Becher, C. Low-Temperature Investigations of Single Silicon Vacancy Colour Centres in Diamond. New J. Phys. 2013, 15, 043005. [Google Scholar] [CrossRef]
- Becker, J.N.; Neu, E. The Silicon Vacancy Center in Diamond. In Semiconductors and Semimetals; Elsevier: Amsterdam, The Netherlands, 2020; Volume 103, pp. 201–235. ISBN 9780128202401. [Google Scholar]
- Li, K.; Zhou, Y.; Rasmita, A.; Aharonovich, I.; Gao, W.B. Nonblinking Emitters with Nearly Lifetime-Limited Linewidths in CVD Nanodiamonds. Phys. Rev. Appl. 2016, 6, 024010. [Google Scholar] [CrossRef]
- De Feudis, M.; Tallaire, A.; Nicolas, L.; Brinza, O.; Goldner, P.; Hétet, G.; Bénédic, F.; Achard, J. Large-Scale Fabrication of Highly Emissive Nanodiamonds by Chemical Vapor Deposition with Controlled Doping by SiV and GeV Centers from a Solid Source. Adv Mater. Inter 2020, 7, 1901408. [Google Scholar] [CrossRef]
- Davydov, V.A.; Rakhmanina, A.V.; Agafonov, V.; Narymbetov, B.; Boudou, J.-P.; Szwarc, H. Conversion of Polycyclic Aromatic Hydrocarbons to Graphite and Diamond at High Pressures. Carbon 2004, 42, 261–269. [Google Scholar] [CrossRef]
- Davydov, V.A.; Rakhmanina, A.V.; Lyapin, S.G.; Ilichev, I.D.; Boldyrev, K.N.; Shiryaev, A.A.; Agafonov, V.N. Production of Nano- and Microdiamonds with Si-V and N-V Luminescent Centers at High Pressures in Systems Based on Mixtures of Hydrocarbon and Fluorocarbon Compounds. Jetp Lett. 2014, 99, 585–589. [Google Scholar] [CrossRef]
- Ekimov, E.A.; Kudryavtsev, O.S.; Mordvinova, N.E.; Lebedev, O.I.; Vlasov, I.I. High-Pressure Synthesis of Nanodiamonds from Adamantane: Myth or Reality? ChemNanoMat 2018, 4, 269–273. [Google Scholar] [CrossRef]
- Ekimov, E.A.; Lyapin, S.G.; Grigoriev, Y.V.; Zibrov, I.P.; Kondrina, K.M. Size-Controllable Synthesis of Ultrasmall Diamonds from Halogenated Adamantanes at High Static Pressure. Carbon 2019, 150, 436–438. [Google Scholar] [CrossRef]
- Ekimov, E.A.; Kondrin, M.V.; Krivobok, V.S.; Khomich, A.A.; Vlasov, I.I.; Khmelnitskiy, R.A.; Iwasaki, T.; Hatano, M. Effect of Si, Ge and Sn Dopant Elements on Structure and Photoluminescence of Nano- and Microdiamonds Synthesized from Organic Compounds. Diam. Relat. Mater. 2019, 93, 75–83. [Google Scholar] [CrossRef]
- Plakhotnik, T.; Duka, T.; Davydov, V.A.; Agafonov, V.N. Formation of SiV Centers by Doping in Bottom-up Grown HPHT Nanodiamonds and Its Implication for Optical Nanosensig. Diam. Relat. Mater. 2023, 139, 110363. [Google Scholar] [CrossRef]
- Ekimov, E.A.; Kondrin, M.V.; Lyapin, S.G.; Grigoriev, Y.V.; Razgulov, A.A.; Krivobok, V.S.; Gierlotka, S.; Stelmakh, S. High-Pressure Synthesis and Optical Properties of Nanodiamonds Obtained from Halogenated Adamantanes. Diam. Relat. Mater. 2020, 103, 107718. [Google Scholar] [CrossRef]
- Kudryavtsev, O.S.; Bagramov, R.H.; Pasternak, D.G.; Satanin, A.M.; Lebedev, O.I.; Filonenko, V.P.; Vlasov, I.I. Raman Fingerprints of Ultrasmall Nanodiamonds Produced from Adamantane. Diam. Relat. Mater. 2023, 133, 109770. [Google Scholar] [CrossRef]
- Choi, S.; Leong, V.; Davydov, V.A.; Agafonov, V.N.; Cheong, M.W.O.; Kalashnikov, D.A.; Krivitsky, L.A. Varying Temperature and Silicon Content in Nanodiamond Growth: Effects on Silicon-Vacancy Centres. Sci. Rep. 2018, 8, 3792. [Google Scholar] [CrossRef]
- Shenderova, O.A.; Vlasov, I.I.; Turner, S.; Van Tendeloo, G.; Orlinskii, S.B.; Shiryaev, A.A.; Khomich, A.A.; Sulyanov, S.N.; Jelezko, F.; Wrachtrup, J. Nitrogen Control in Nanodiamond Produced by Detonation Shock-Wave-Assisted Synthesis. J. Phys. Chem. C 2011, 115, 14014–14024. [Google Scholar] [CrossRef]
- Khvostantsev, L.G.; Slesarev, V.N.; Brazhkin, V.V. Toroid Type High-Pressure Device: History and Prospects. High Press. Res. 2004, 24, 371–383. [Google Scholar] [CrossRef]
- Vlasov, I.I.; Shenderova, O.; Turner, S.; Lebedev, O.I.; Basov, A.A.; Sildos, I.; Rähn, M.; Shiryaev, A.A.; Van Tendeloo, G. Nitrogen and Luminescent Nitrogen-Vacancy Defects in Detonation Nanodiamond. Small 2010, 6, 687–694. [Google Scholar] [CrossRef]
- Ager, J.W.; Veirs, D.K.; Rosenblatt, G.M. Spatially Resolved Raman Studies of Diamond Films Grown by Chemical Vapor Deposition. Phys. Rev. B 1991, 43, 6491–6499. [Google Scholar] [CrossRef]
- Korepanov, V.I.; Hamaguchi, H.; Osawa, E.; Ermolenkov, V.; Lednev, I.K.; Etzold, B.J.M.; Levinson, O.; Zousman, B.; Epperla, C.P.; Chang, H.-C. Carbon Structure in Nanodiamonds Elucidated from Raman Spectroscopy. Carbon 2017, 121, 322–329. [Google Scholar] [CrossRef]
- Osswald, S.; Havel, M.; Mochalin, V.; Yushin, G.; Gogotsi, Y. Increase of Nanodiamond Crystal Size by Selective Oxidation. Diam. Relat. Mater. 2008, 17, 1122–1126. [Google Scholar] [CrossRef]
- Pasternak, D.G.; Romshin, A.M.; Bagramov, R.H.; Galimov, A.I.; Toropov, A.A.; Kalashnikov, D.A.; Leong, V.; Satanin, A.M.; Kudryavtsev, O.S.; Gritsienko, A.V.; et al. Donor–Acceptor Recombination Emission in Hydrogen-Terminated Nanodiamond. Adv. Quantum Technol. 2024, 2400263. [Google Scholar] [CrossRef]
- Dexter, D.L.; Schulman, J.H. Theory of Concentration Quenching in Inorganic Phosphors. J. Chem. Phys. 1954, 22, 1063–1070. [Google Scholar] [CrossRef]
- Crossfield, M.D.; Davies, G.; Collins, A.T.; Lightowlers, E.C. The Role of Defect Interactions in Reducing the Decay Time of H3 Luminescence in Diamond. J. Phys. C Solid State Phys. 1974, 7, 1909–1917. [Google Scholar] [CrossRef]
- Singh, S.; Catledge, S.A. Silicon Vacancy Color Center Photoluminescence Enhancement in Nanodiamond Particles by Isolated Substitutional Nitrogen on {100} Surfaces. J. Appl. Phys. 2013, 113, 044701. [Google Scholar] [CrossRef] [PubMed]
- Maier, F.; Riedel, M.; Mantel, B.; Ristein, J.; Ley, L. Origin of Surface Conductivity in Diamond. Phys. Rev. Lett. 2000, 85, 3472–3475. [Google Scholar] [CrossRef]
- Luo, Y.-R. Comprehensive Handbook of Chemical Bond Energies, 1st ed.; CRC Press: Boca Raton, FL, USA, 2007; ISBN 978-0429128684. [Google Scholar]
- Ferrari, A.C.; Robertson, J. Interpretation of Raman Spectra of Disordered and Amorphous Carbon. Phys. Rev. B 2000, 61, 14095–14107. [Google Scholar] [CrossRef]







Disclaimer/Publisher’s Note: The statements, opinions and data contained in all publications are solely those of the individual author(s) and contributor(s) and not of MDPI and/or the editor(s). MDPI and/or the editor(s) disclaim responsibility for any injury to people or property resulting from any ideas, methods, instructions or products referred to in the content. |
© 2024 by the authors. Licensee MDPI, Basel, Switzerland. This article is an open access article distributed under the terms and conditions of the Creative Commons Attribution (CC BY) license (https://creativecommons.org/licenses/by/4.0/).
Share and Cite
Pasternak, D.G.; Bagramov, R.H.; Romshin, A.M.; Zibrov, I.P.; Filonenko, V.P.; Vlasov, I.I. Controlled Formation of Silicon-Vacancy Centers in High-Pressure Nanodiamonds Produced from an “Adamantane + Detonation Nanodiamond” Mixture. Nanomaterials 2024, 14, 1843. https://doi.org/10.3390/nano14221843
Pasternak DG, Bagramov RH, Romshin AM, Zibrov IP, Filonenko VP, Vlasov II. Controlled Formation of Silicon-Vacancy Centers in High-Pressure Nanodiamonds Produced from an “Adamantane + Detonation Nanodiamond” Mixture. Nanomaterials. 2024; 14(22):1843. https://doi.org/10.3390/nano14221843
Chicago/Turabian StylePasternak, Dmitrii G., Rustem H. Bagramov, Alexey M. Romshin, Igor P. Zibrov, Vladimir P. Filonenko, and Igor I. Vlasov. 2024. "Controlled Formation of Silicon-Vacancy Centers in High-Pressure Nanodiamonds Produced from an “Adamantane + Detonation Nanodiamond” Mixture" Nanomaterials 14, no. 22: 1843. https://doi.org/10.3390/nano14221843
APA StylePasternak, D. G., Bagramov, R. H., Romshin, A. M., Zibrov, I. P., Filonenko, V. P., & Vlasov, I. I. (2024). Controlled Formation of Silicon-Vacancy Centers in High-Pressure Nanodiamonds Produced from an “Adamantane + Detonation Nanodiamond” Mixture. Nanomaterials, 14(22), 1843. https://doi.org/10.3390/nano14221843

