Enhanced Photoluminescence of Plasma-Treated Recycled Glass Particles
Abstract
1. Introduction
2. Materials and Methods
2.1. Recycled Glass Powder
2.2. Annealing and Plasma Treatment of Recycled Glass Powder
2.3. Scanning Electron Microscopy (SEM)
2.4. Fourier Transform Infrared Absorption and Raman Spectroscopy (FTIR)
2.5. X-ray Photoelectron Spectroscopy (XPS)
2.6. Photoluminescence Spectroscopy
3. Results
3.1. Scanning Electron Microscopy
3.2. Infrared Absorption Spectra
3.3. IR Raman Spectra
3.4. X-ray Photoelectron Spectra (XPS)
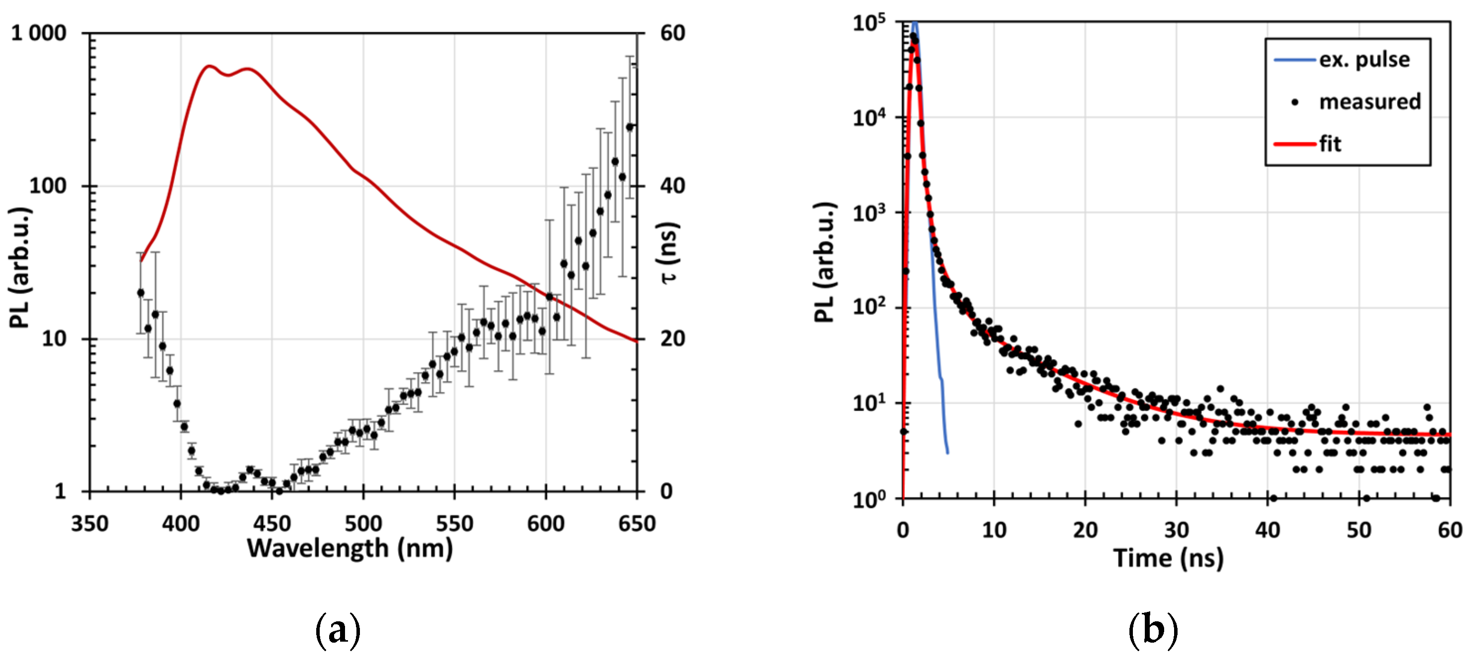
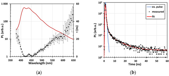
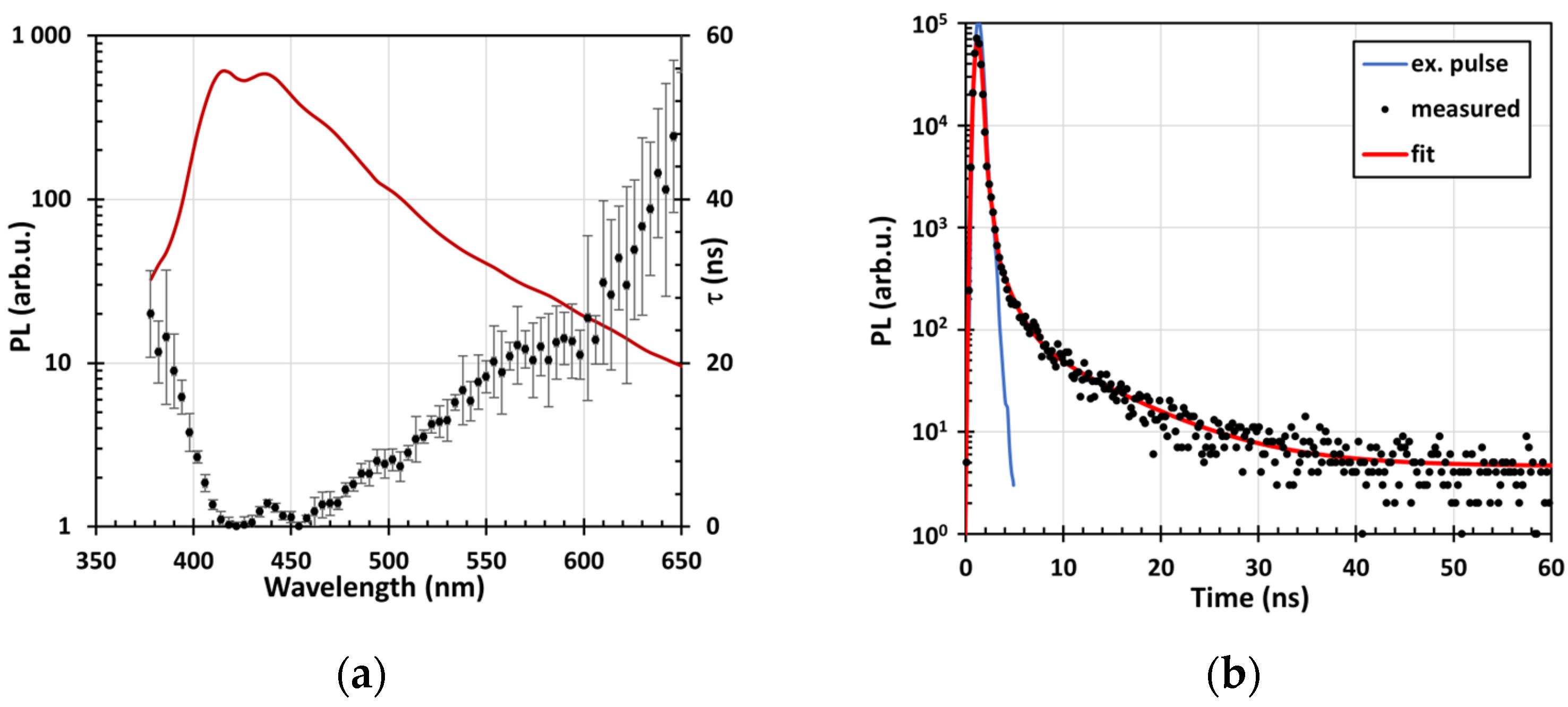
3.5. Photoluminescence Spectra
4. Discussion
5. Conclusions
Author Contributions
Funding
Data Availability Statement
Acknowledgments
Conflicts of Interest
References
- Mohammadi Golafshani, E.; Kashani, A.; Behnood, A.; Kim, T. Modeling the Chloride Migration of Recycled Aggregate Concrete Using Ensemble Learners for Sustainable Building Construction. J. Clean. Prod. 2023, 407, 136968. [Google Scholar] [CrossRef]
- Bristogianni, T.; Oikonomopoulou, F. Glass Up-Casting: A Review on the Current Challenges in Glass Recycling and a Novel Approach for Recycling “as-Is” Glass Waste into Volumetric Glass Components. Glass Struct. Eng. 2023, 8, 255–302. [Google Scholar] [CrossRef]
- Letcher, T.M.; Vallero, D.A. (Eds.) Waste: A Handbook for Management, 2nd ed.; Academic Press: London, UK; San Diego, CA, USA, 2019; ISBN 978-0-12-815060-3. [Google Scholar]
- Butler, J.H.; Hooper, P.D. Glass Waste. In Waste; Elsevier: Amsterdam, The Netherlands, 2019; pp. 307–322. ISBN 978-0-12-815060-3. [Google Scholar]
- Donnadieu, P. Influence of Impurities on Plastic Flow of Silica Glass. J. Non-Cryst. Solids 1988, 99, 113–117. [Google Scholar] [CrossRef]
- Tan, K.H.; Du, H. Use of Waste Glass as Sand in Mortar: Part I—Fresh, Mechanical and Durability Properties. Cem. Concr. Compos. 2013, 35, 109–117. [Google Scholar] [CrossRef]
- Guo, P.; Meng, W.; Nassif, H.; Gou, H.; Bao, Y. New Perspectives on Recycling Waste Glass in Manufacturing Concrete for Sustainable Civil Infrastructure. Constr. Build. Mater. 2020, 257, 119579. [Google Scholar] [CrossRef]
- Tognonvi, M.T.; Tagnit-Hamou, A.; Konan, L.K.; Zidol, A.; N’Cho, W.C. Reactivity of Recycled Glass Powder in a Cementitious Medium. New J. Glass Ceram. 2020, 10, 29–44. [Google Scholar] [CrossRef]
- Ibrahim, K.I.M. Recycled Waste Glass Powder as a Partial Replacement of Cement in Concrete Containing Silica Fume and Fly Ash. Case Stud. Constr. Mater. 2021, 15, e00630. [Google Scholar] [CrossRef]
- Wu, H.; Gao, J.; Liu, C.; Guo, Z.; Luo, X. Reusing Waste Clay Brick Powder for Low-Carbon Cement Concrete and Alkali-Activated Concrete: A Critical Review. J. Clean. Prod. 2024, 449, 141755. [Google Scholar] [CrossRef]
- Wu, H.; Hu, R.; Yang, D.; Ma, Z. Micro-Macro Characterizations of Mortar Containing Construction Waste Fines as Replacement of Cement and Sand: A Comparative Study. Constr. Build. Mater. 2023, 383, 131328. [Google Scholar] [CrossRef]
- Babčenko, O.; Remeš, Z.; Beranová, K.; Kolářová, K.; Čermák, J.; Kromka, A.; Prošek, Z.; Tesárek, P. Characterization of Different Types of Silica-Based Materials. J. Phys. Conf. Ser. 2024, 2712, 012010. [Google Scholar] [CrossRef]
- Trier, F. The Glass Surface and Ways of Its Modification. In Proceedings of the Technical Conference Proceedings, Glassman Europe 2007 Conference, Prague, Czech Republic, 9–10 May 2007; dmg world media. Czech Glass Society: Prague, Czech Republic, 2007; pp. 71–85. [Google Scholar]
- Saccani, A.; Bignozzi, M.C. ASR Expansion Behavior of Recycled Glass Fine Aggregates in Concrete. Cem. Concr. Res. 2010, 40, 531–536. [Google Scholar] [CrossRef]
- Grill, A. Cold Plasma in Material Fabrication: From Fundamentals to Applications; Institute of Electrical and Electronics Engineers, Inc.: New York, NY, USA, 1994; ISBN 0-7803-4714-5. [Google Scholar]
- Zhang, X.; Jin, C.; Zhuge, L.; Wu, X. Hydrophilicity Improvement of Quartz Glass Surface by a Large-Area Atmospheric Pressure Plasma Generator. IEEE Trans. Plasma Sci. 2020, 48, 692–699. [Google Scholar] [CrossRef]
- Li, D.; Xiong, M.; Wang, S.; Chen, X.; Wang, S.; Zeng, Q. Effects of Low-Temperature Plasma Treatment on Wettability of Glass Surface: Molecular Dynamic Simulation and Experimental Study. Appl. Surf. Sci. 2020, 503, 144257. [Google Scholar] [CrossRef]
- Babčenko, O.; Remeš, Z.; Beranová, K.; Kolářová, K.; Lörinc, J.; Prošek, Z.; Tesárek, P. Surface Changes Induced by Plasma Treatment and High Temperature Annealing of Silicon Dioxide Microparticles. In Proceedings of the 15th International Conference on Nanomaterials—Research & Application, Brno, Czechia, 18–20 October 2023; pp. 196–202. [Google Scholar] [CrossRef]
- Remeš, Z.; Buryi, M.; Pejchal, J.; Babčenko, O.; Remeš, Š.; Novák, R.; Mičová, J. The Spectrally Resolved Photoluminescence Decay in YAG:Er, ZnO and SiO2 Crystals. J. Phys. Conf. Ser. 2024, 2712, 012004. [Google Scholar] [CrossRef]
- Donald, I.W. Methods for Improving the Mechanical Properties of Oxide Glasses. J. Mater. Sci. 1989, 24, 4177–4208. [Google Scholar] [CrossRef]
- Neykova, N.; Kozak, H.; Ledinsky, M.; Kromka, A. Novel Plasma Treatment in Linear Antenna Microwave PECVD System. Vacuum 2012, 86, 603–607. [Google Scholar] [CrossRef]
- Ellerbrock, R.; Stein, M.; Schaller, J. Comparing Amorphous Silica, Short-Range-Ordered Silicates and Silicic Acid Species by FTIR. Sci. Rep. 2022, 12, 11708. [Google Scholar] [CrossRef]
- Pintori, G.; Cattaruzza, E. XPS/ESCA on Glass Surfaces: A Useful Tool for Ancient and Modern Materials. Opt. Mater. X 2022, 13, 100108. [Google Scholar] [CrossRef]
- Smith, G.C. Evaluation of a Simple Correction for the Hydrocarbon Contamination Layer in Quantitative Surface Analysis by XPS. J. Electron Spectrosc. Relat. Phenom. 2005, 148, 21–28. [Google Scholar] [CrossRef]
- Tanuma, S.; Powell, C.J.; Penn, D.R. Calculations of Electron Inelastic Mean Free Paths. V. Data for 14 Organic Compounds over the 50–2000 eV Range. Surf. Interface Anal. 1994, 21, 165–176. [Google Scholar] [CrossRef]
- Vorokhta, M.; Matolínová, I.; Dubau, M.; Haviar, S.; Khalakhan, I.; Ševčíková, K.; Mori, T.; Yoshikawa, H.; Matolín, V. HAXPES Study of CeO Thin Film–Silicon Oxide Interface. Appl. Surf. Sci. 2014, 303, 46–53. [Google Scholar] [CrossRef]
- Grey, L.H.; Nie, H.-Y.; Biesinger, M.C. Defining the Nature of Adventitious Carbon and Improving Its Merit as a Charge Correction Reference for XPS. Appl. Surf. Sci. 2024, 653, 159319. [Google Scholar] [CrossRef]
- Ayiania, M.; Smith, M.; Hensley, A.J.R.; Scudiero, L.; McEwen, J.-S.; Garcia-Perez, M. Deconvoluting the XPS Spectra for Nitrogen-Doped Chars: An Analysis from First Principles. Carbon 2020, 162, 528–544. [Google Scholar] [CrossRef]
- Greczynski, G.; Hultman, L. X-Ray Photoelectron Spectroscopy: Towards Reliable Binding Energy Referencing. Prog. Mater. Sci. 2020, 107, 100591. [Google Scholar] [CrossRef]
- Roy, B.; Baier, F.; Rosin, A.; Gerdes, T.; Schafföner, S. Structural Characterization of the Near-surface Region of Soda–Lime–Silica Glass by X-ray Photoelectron Spectroscopy. Int. J. Appl. Glass Sci. 2023, 14, 229–239. [Google Scholar] [CrossRef]
- Han, G.-F.; Li, F.; Zou, W.; Karamad, M.; Jeon, J.-P.; Kim, S.-W.; Kim, S.-J.; Bu, Y.; Fu, Z.; Lu, Y.; et al. Building and Identifying Highly Active Oxygenated Groups in Carbon Materials for Oxygen Reduction to H2O2. Nat. Commun. 2020, 11, 2209. [Google Scholar] [CrossRef]
- Lin, Y.; Wu, K.-H.; Lu, Q.; Gu, Q.; Zhang, L.; Zhang, B.; Su, D.; Plodinec, M.; Schlögl, R.; Heumann, S. Electrocatalytic Water Oxidation at Quinone-on-Carbon: A Model System Study. J. Am. Chem. Soc. 2018, 140, 14717–14724. [Google Scholar] [CrossRef]
- Biesinger, M.C. Accessing the Robustness of Adventitious Carbon for Charge Referencing (Correction) Purposes in XPS Analysis: Insights from a Multi-User Facility Data Review. Appl. Surf. Sci. 2022, 597, 153681. [Google Scholar] [CrossRef]
- Bastonero, L.; Marzari, N. Automated All-Functionals Infrared and Raman Spectra. NPJ Comput. Mater. 2024, 10, 55. [Google Scholar] [CrossRef]
- Taha, S.; Auf, M. Effect of Heat Treatment on the Infrared Absorption Spectra of Sr-Na Borosilicate Glass. J. Mater. Sci. 1992, 27, 6311–6315. [Google Scholar] [CrossRef]
- Punj, S.; Singh, K. Blue-Green Light Emitting Inherent Luminescent Glasses Synthesized from Agro-Food Wastes. J. Mater. Sci Mater. Electron. 2019, 30, 3871–3881. [Google Scholar] [CrossRef]
- Loryuenyong, V.; Buasri, A. Preparation of Luminescent Glass Aggregates from Soda-Lime Waste Glass. Int. J. Photoenergy 2021, 2021, 5951258. [Google Scholar] [CrossRef]
- Chen, Z.; Wang, Y.; Zou, Y.; Wang, J.; Li, Y.; Zhang, H. Origin of the Blue Photoluminescence from SiO2(SiC)/SiC on Si Substrate. Appl. Phys. Lett. 2006, 89, 141913. [Google Scholar] [CrossRef]







| Sample | O | Si | C | Na | Ca | N | Al | Mg |
|---|---|---|---|---|---|---|---|---|
| as received | 40 | 17 | 32 | 7 | 2 | <1 | 1 | 1 |
| H2-RT-Plasma | 36 | 17 | 39 | 6 | 2 | <1 | 1 | 1 |
| N2-RT-Plasma | 40 | 17 | 30 | 8 | 2 | 2 | 1 | 1 |
| O2-RT-Plasma | 45 | 20 | 22 | 8 | 2 | <1 | 1 | 1 |
| H2-500 °C | 46 | 19 | 21 | 9 | 2 | <1 | 1 | 1 |
| N2-500 °C | 48 | 20 | 16 | 11 | 3 | <1 | 1 | 1 |
| O2-500 °C | 51 | 20 | 13 | 10 | 3 | <1 | 1 | 1 |
| H2-500 °C-Plasma | 50 | 25 | 12 | 8 | 2 | <1 | 1 | 1 |
| N2-500 °C-Plasma | 49 | 20 | 15 | 11 | 2 | 1 | 1 | 1 |
| O2-500 °C-Plasma | 50 | 25 | 11 | 8 | 2 | <1 | 1 | 1 |
| RT Plasma | A0 (a.u.) | A1 (a.u.) | A2 (a.u.) | A3 (a.u.) | τ1 (ns) | τ2 (ns) | τ3 (ns) |
|---|---|---|---|---|---|---|---|
| H2 | 0.117 | 1530 | 130 | 5 | 1.4 | 7.7 | 2900 |
| O2 | 0.197 | 2580 | 130 | 5 | 1.3 | 8.5 | 3060 |
| N2 | 0.211 | 6880 | 340 | 9 | 1.1 | 7.7 | 3300 |
Disclaimer/Publisher’s Note: The statements, opinions and data contained in all publications are solely those of the individual author(s) and contributor(s) and not of MDPI and/or the editor(s). MDPI and/or the editor(s) disclaim responsibility for any injury to people or property resulting from any ideas, methods, instructions or products referred to in the content. |
© 2024 by the authors. Licensee MDPI, Basel, Switzerland. This article is an open access article distributed under the terms and conditions of the Creative Commons Attribution (CC BY) license (https://creativecommons.org/licenses/by/4.0/).
Share and Cite
Remeš, Z.; Babčenko, O.; Jarý, V.; Beranová, K. Enhanced Photoluminescence of Plasma-Treated Recycled Glass Particles. Nanomaterials 2024, 14, 1091. https://doi.org/10.3390/nano14131091
Remeš Z, Babčenko O, Jarý V, Beranová K. Enhanced Photoluminescence of Plasma-Treated Recycled Glass Particles. Nanomaterials. 2024; 14(13):1091. https://doi.org/10.3390/nano14131091
Chicago/Turabian StyleRemeš, Zdeněk, Oleg Babčenko, Vítězslav Jarý, and Klára Beranová. 2024. "Enhanced Photoluminescence of Plasma-Treated Recycled Glass Particles" Nanomaterials 14, no. 13: 1091. https://doi.org/10.3390/nano14131091
APA StyleRemeš, Z., Babčenko, O., Jarý, V., & Beranová, K. (2024). Enhanced Photoluminescence of Plasma-Treated Recycled Glass Particles. Nanomaterials, 14(13), 1091. https://doi.org/10.3390/nano14131091

