Performance Projection of Vacuum Gate Dielectric Doping-Free Carbon Nanoribbon/Nanotube Field-Effect Transistors for Radiation-Immune Nanoelectronics
Abstract
1. Introduction
2. Nanodevice Structure
3. Quantum Simulation Approach
- (1)
- Adjusting the operating bias and providing an initial estimate for the electrostatic potential.
- (2)
- Determining the charge density by solving the NEGF equations.
- (3)
- Utilizing the obtained charge density to solve the Poisson equation and derive a new self-consistent potential to feed the NEGF solver.
- (4)
- Iterating Steps 2 and 3 until achieving self-consistency.
- (5)
- Extracting and computing any device characteristics.
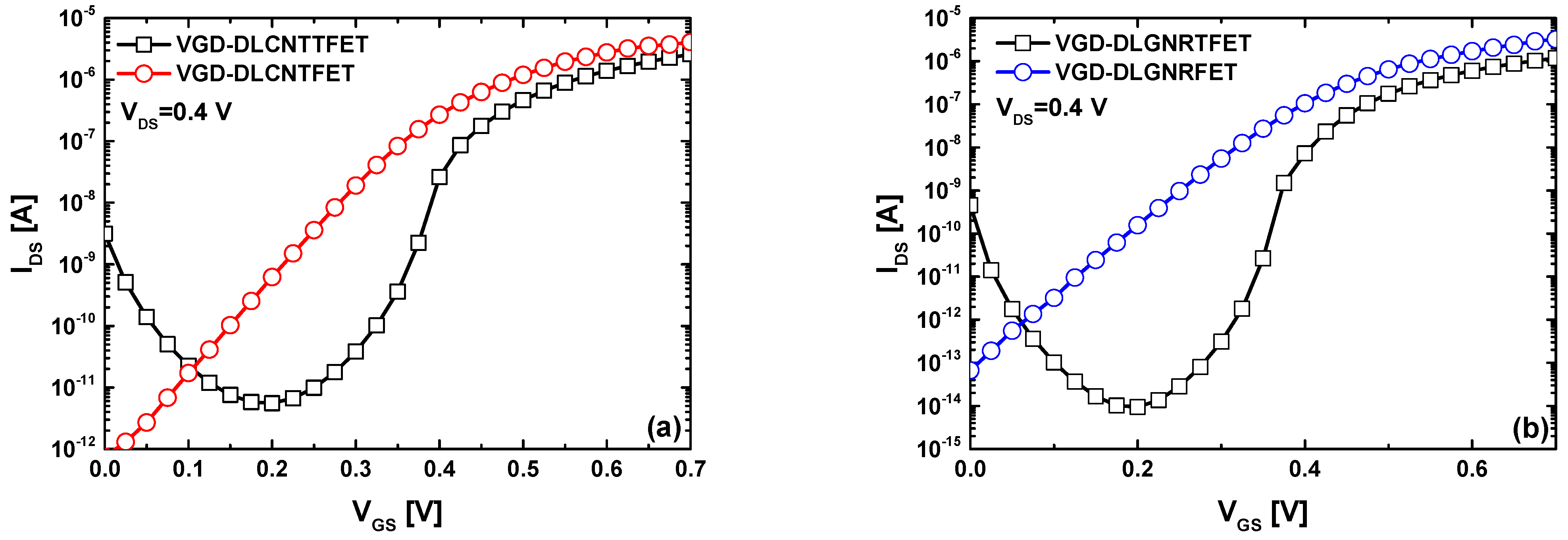
4. Results and Discussion
5. Conclusions
Author Contributions
Funding
Data Availability Statement
Acknowledgments
Conflicts of Interest
References
- Holmes-Siedle, A.; Adams, L. RADFET: A review of the use of metal-oxide-silicon devices as integrating dosimeters. Int. J. Radiat. Appl. Instrum. Part C Radiat. Phys. Chem. 1986, 28, 235–244. [Google Scholar] [CrossRef]
- Gladstone, D.J.; Lu, X.Q.; Humm, J.L.; Bowman, H.F.; Chin, L.M. A miniature MOSFET radiation dosimeter probe. Med. Phys. 1994, 21, 1721–1728. [Google Scholar] [CrossRef]
- Kelleher, A.; Lane, W.; Adams, L. A design solution to increasing the sensitivity of pMOS dosimeters: The stacked RADFET approach. IEEE Trans. Nucl. Sci. 1995, 42, 48–51. [Google Scholar] [CrossRef]
- Biasi, G.; Su, F.Y.; Al Sudani, T.; Corde, S.; Petasecca, M.; Lerch, M.L.; Perevertaylo, V.L.; Jackson, M.; Rosenfeld, A.B. On the Combined Effect of Silicon Oxide Thickness and Boron Implantation Under the Gate in MOSFET Dosimeters. IEEE Trans. Nucl. Sci. 2020, 67, 534–540. [Google Scholar] [CrossRef]
- Pejović, M.M.; Pejović, S.M.; Stojanov, D.; Ciraj-Bjelac, O. Sensitivity of RADFET for gamma and X-ray doses used in medicine. Nucl. Technol. Radiat. Prot. 2014, 29, 179–185. [Google Scholar] [CrossRef]
- Wind, M.; Beck, P.; Jaksic, A. Investigation of the Energy Response of RADFET for High Energy Photons, Electrons, Protons, and Neutrons. IEEE Trans. Nucl. Sci. 2009, 56, 3387–3392. [Google Scholar] [CrossRef]
- Price, R.A.; Benson, C.; Joyce, M.J.; Rodgers, K. Development of a RadFET linear array for intracavitary in vivo dosimetry during external beam radiotherapy and brachytherapy. IEEE Trans. Nucl. Sci. 2004, 51, 1420–1426. [Google Scholar] [CrossRef]
- Andjelkovic, M.; Simevski, A.; Chen, J.; Schrape, O.; Stamenkovic, Z.; Krstic, M.; Ilic, S.; Ristic, G.; Jaksic, A.; Vasovic, N.; et al. A design concept for radiation hardened RADFET readout system for space applications. Microprocess. Microsyst. 2022, 90, 104486. [Google Scholar] [CrossRef]
- Madan, J.; Tamersit, K.; Sharma, K.; Kumar, A.; Pandey, R. Performance Assessment of a New Radiation Microsensor Based 4H-SiC trench MOSFET: A Simulation Study. Silicon 2022, 15, 1115–1121. [Google Scholar] [CrossRef]
- Spieler, H. Introduction to radiation-resistant semiconductor devices and circuits. In AIP Conference Proceedings 1997; American Institute of Physics: College Park, MD, USA, 1997. [Google Scholar] [CrossRef]
- Geremew, A.K.; Kargar, F.; Zhang, E.X.; Zhao, S.E.; Aytan, E.; Bloodgood, M.A.; Salguero, T.T.; Rumyantsev, S.; Fedoseyev, A.; Fleetwood, D.M.; et al. Proton-irradiation-immune electronics implemented with two-dimensional charge-density-wave devices. Nanoscale 2019, 11, 8380–8386. [Google Scholar] [CrossRef]
- Ingermann, E.H.; Frenzel, J.F. Behavior of a radiation-immune CMOS logic family under resistive shorts. IEEE Trans. Reliab. 1996, 45, 194–199. [Google Scholar] [CrossRef]
- Lee, M.; Cho, S.; Lee, N.; Kim, J. New Radiation-Hardened Design of a CMOS Instrumentation Amplifier and its Tolerant Characteristic Analysis. Electronics 2020, 9, 388. [Google Scholar] [CrossRef]
- Kumar, M.P.; Lorenzo, R. A robust radiation resistant SRAM cell for space and military applications. Integration 2024, 96, 102155. [Google Scholar] [CrossRef]
- Soni, L.; Pandey, N. A Reliable and high performance Radiation Hardened Schmitt Trigger 12T SRAM cell for space applications. AEU-Int. J. Electron. Commun. 2024, 176, 155161. [Google Scholar] [CrossRef]
- Srour, J.R.; McGarrity, J.M. Radiation effects on microelectronics in space. Proc. IEEE 1988, 76, 1443–1469. [Google Scholar] [CrossRef]
- Gerardin, S.; Paccagnella, A. Present and Future Non-Volatile Memories for Space. IEEE Trans. Nucl. Sci. 2010, 57, 3016–3039. [Google Scholar] [CrossRef]
- Daneshvar, H.; Milan, K.G.; Sadr, A.; Sedighy, S.H.; Malekie, S.; Mosayebi, A. Multilayer radiation shield for satellite electronic components protection. Sci. Rep. 2021, 11, 20657. [Google Scholar] [CrossRef] [PubMed]
- Zheng, X.; Zhang, H.; Liu, Z.; Jiang, R.; Zhou, X. Functional composite electromagnetic shielding materials for aerospace, electronics and wearable fields. Mater. Today Commun. 2022, 33, 104498. [Google Scholar] [CrossRef]
- Han, J.-W.; Seol, M.-L.; Moon, D.-I.; Hunter, G.; Meyyappan, M. Nanoscale vacuum channel transistors fabricated on silicon carbide wafers. Nat. Electron. 2019, 2, 405–411. [Google Scholar] [CrossRef]
- Bhattacharya, R.; Han, J.-W.; Browning, J.; Meyyappan, M. Complementary Vacuum Field Emission Transistor. IEEE Trans. Electron Devices 2021, 68, 5244–5249. [Google Scholar] [CrossRef]
- Han, J.-W.; Seol, M.-L.; Kim, J.; Meyyappan, M. Nanoscale Complementary Vacuum Field Emission Transistor. ACS Appl. Nano Mater. 2020, 3, 11481–11488. [Google Scholar] [CrossRef]
- Kim, J.; Oh, H.; Kim, J.; Baek, R.H.; Han, J.W.; Meyyappan, M.; Lee, J.S. Work function consideration in vacuum field emission transistor design. J. Vac. Sci. Technol. B Nanotechnol. Microelectron. Mater. Process. Meas. Phenom. 2017, 35, 062203. [Google Scholar] [CrossRef]
- Han, J.-W.; Moon, D.-I.; Meyyappan, M. Nanoscale Vacuum Channel Transistor. Nano Lett. 2017, 17, 2146–2151. [Google Scholar] [CrossRef] [PubMed]
- Kim, J.; Kim, J.; Oh, H.; Meyyappan, M.; Han, J.-W.; Lee, J.-S. Design guidelines for nanoscale vacuum field emission transistors. J. Vac. Sci. Technol. B Nanotechnol. Microelectron. Mater. Process. Meas. Phenom. 2016, 34, 042201. [Google Scholar] [CrossRef]
- Han, J.-W.; Oh, J.S.; Meyyappan, M. Cofabrication of Vacuum Field Emission Transistor (VFET) and MOSFET. IEEE Trans. Nanotechnol. 2014, 13, 464–468. [Google Scholar] [CrossRef]
- Han, J.-W.; Oh, J.S.; Meyyappan, M. Vacuum nanoelectronics: Back to the future?—Gate insulated nanoscale vacuum channel transistor. Appl. Phys. Lett. 2012, 100, 213505. [Google Scholar] [CrossRef]
- Han, J.W.; Moon, D.I.; Sub Oh, J.; Choi, Y.K.; Meyyappan, M. Vacuum gate dielectric gate-all-around nanowire for hot carrier injection and bias temperature instability free transistor. Appl. Phys. Lett. 2014, 104, 253506. [Google Scholar] [CrossRef]
- Han, J.-W.; Ahn, J.-H.; Choi, Y.-K. Damage immune field effect transistors with vacuum gate dielectric. J. Vac. Sci. Technol. B Nanotechnol. Microelectron. Mater. Process. Meas. Phenom. 2011, 29, 011014. [Google Scholar] [CrossRef]
- Alexandrou, K.; Masurkar, A.; Edrees, H.; Wishart, J.F.; Hao, Y.; Petrone, N.; Hone, J.; Kymissis, I. Improving the radiation hardness of graphene field effect transistors. Appl. Phys. Lett. 2016, 109, 153108. [Google Scholar] [CrossRef]
- Vogl, T.; Sripathy, K.; Sharma, A.; Reddy, P.; Sullivan, J.; Machacek, J.R.; Zhang, L.; Karouta, F.; Buchler, B.C.; Doherty, M.W.; et al. Radiation tolerance of two-dimensional material-based devices for space applications. Nat. Commun. 2019, 10, 1202. [Google Scholar] [CrossRef]
- Kanhaiya, P.S.; Yu, A.; Netzer, R.; Kemp, W.; Doyle, D.; Shulaker, M.M. Carbon Nanotubes for Radiation-Tolerant Electronics. ACS Nano 2021, 15, 17310–17318. [Google Scholar] [CrossRef] [PubMed]
- Zhu, M.; Xiao, H.; Yan, G.; Sun, P.; Jiang, J.; Cui, Z.; Zhao, J.; Zhang, Z.; Peng, L.M. Radiation-hardened and repairable integrated circuits based on carbon nanotube transistors with ion gel gates. Nat. Electron. 2020, 3, 622–629. [Google Scholar] [CrossRef]
- Anantram, M.P.; Lundstrom, M.S.; Nikonov, D.E. Modeling of Nanoscale Devices. Proc. IEEE 2008, 96, 1511–1550. [Google Scholar] [CrossRef]
- Datta, S. Nanoscale device modeling: The Green’s function method. Superlattices Microstruct. 2000, 28, 253–278. [Google Scholar] [CrossRef]
- Tamersit, K.; Madan, J.; Kouzou, A.; Pandey, R.; Kennel, R.; Abdelrahem, M. Role of Junctionless Mode in Improving the Photosensitivity of Sub-10 nm Carbon Nanotube/Nanoribbon Field-Effect Phototransistors: Quantum Simulation, Performance Assessment, and Comparison. Nanomaterials 2022, 12, 1639. [Google Scholar] [CrossRef] [PubMed]
- Tamersit, K.; Kouzou, A.; Bourouba, H.; Kennel, R.; Abdelrahem, M. Synergy of Electrostatic and Chemical Doping to Improve the Performance of Junctionless Carbon Nanotube Tunneling Field-Effect Transistors: Ultrascaling, Energy-Efficiency, and High Switching Performance. Nanomaterials 2022, 12, 462. [Google Scholar] [CrossRef] [PubMed]
- Tamersit, K.; Kouzou, A.; Rodriguez, J.; Abdelrahem, M. Electrostatically Doped Junctionless Graphene Nanoribbon Tunnel Field-Effect Transistor for High-Performance Gas Sensing Applications: Leveraging Doping Gates for Multi-Gas Detection. Nanomaterials 2024, 14, 220. [Google Scholar] [CrossRef] [PubMed]
- Guo, J.; Datta, S.; Lundstrom, M.; Anantam, M.P. Toward multiscale modeling of carbon nanotube transistors. Int. J. Multiscale Comput. Eng. 2004, 2, 257–276. [Google Scholar] [CrossRef]
- Zhao, P.; Guo, J. Modeling edge effects in graphene nanoribbon field-effect transistors with real and mode space methods. J. Appl. Phys. 2009, 105, 034503-1–034503-7. [Google Scholar] [CrossRef]
- Son, Y.-W.; Cohen, M.L.; Louie, S.G. Energy gaps in graphene nanoribbons. Phys. Rev. Lett. 2006, 97, 216803-1–216803-4. [Google Scholar] [CrossRef]
- Avouris, P.; Chen, Z.; Perebeinos, V. Carbon-based electronics. Nat. Nanotechnol. 2007, 2, 605. [Google Scholar] [CrossRef] [PubMed]
- Avouris, P.; Appenzeller, J.; Martel, R.; Wind, S.J. Carbon nanotube electronics. Proc. IEEE 2003, 9, 1772. [Google Scholar] [CrossRef]
- Wu, Y.; Farmer, D.B.; Xia, F.; Avouris, P. Graphene Electronics: Materials, Devices, and Circuits. Proc. IEEE 2013, 101, 1620–1637. [Google Scholar] [CrossRef]
- Tamersit, K. Performance Assessment of a New Radiation Dosimeter Based on Carbon Nanotube Field-Effect Transistor: A Quantum Simulation Study. IEEE Sens. J. 2019, 19, 3314–3321. [Google Scholar] [CrossRef]
- Kumar, M.J.; Janardhanan, S. Doping-Less Tunnel Field Effect Transistor: Design and Investigation. IEEE Trans. Electron Devices 2013, 60, 3285–3290. [Google Scholar] [CrossRef]
- Chin, S.-K.; Seah, D.; Lam, K.-T.; Samudra, G.S.; Liang, G. Device Physics and Characteristics of Graphene Nanoribbon Tunneling FETs. IEEE Trans. Electron Devices 2010, 57, 3144–3152. [Google Scholar] [CrossRef]
- Tamersit, K.; Ramezani, Z.; Amiri, I.S. Improved performance of sub-10-nm band-to-band tunneling n-i-n graphene nanoribbon field-effect transistors using underlap engineering: A quantum simulation study. J. Phys. Chem. Solids 2022, 160, 110312. [Google Scholar] [CrossRef]
- Alam, K.; Lake, R. Role of Doping in Carbon Nanotube Transistors with Source/Drain Underlaps. IEEE Trans. Nanotechnol. 2007, 6, 652–658. [Google Scholar] [CrossRef]
- Datta, S. Electronic Transport in Mesoscopic Systems; Cambridge University Press: Cambridge, UK, 1997. [Google Scholar]
- Koswatta, S.O.; Hasan, S.; Lundstrom, M.S.; Anantram, M.P.; Nikonov, D.E. Nonequilibrium Green’s function treatment of phonon scattering in carbon-nanotube transistors. IEEE Trans. Electron Devices 2007, 54, 2339–2351. [Google Scholar] [CrossRef]
- Yousefi, R.; Shabani, M.; Arjmandi, M.; Ghoreishi, S.S. A computational study on electrical characteristics of a novel band-to-band tunneling graphene nanoribbon FET. Superlattices Microstruct. 2013, 60, 169–178. [Google Scholar] [CrossRef]
- Guo, J. Modeling of graphene nanoribbon devices. Nanoscale 2012, 4, 5538. [Google Scholar] [CrossRef] [PubMed]
- Raad, B.R.; Tirkey, S.; Sharma, D.; Kondekar, P. A New Design Approach of Dopingless Tunnel FET for Enhancement of Device Characteristics. IEEE Trans. Electron Devices 2017, 64, 1830–1836. [Google Scholar] [CrossRef]
- Speer, K.M.; Neudeck, P.G.; Mehregany, M. Use of Vacuum as a Gate Dielectric: The SiC VacFET. Mater. Sci. Forum 2011, 679–680, 657–661. [Google Scholar] [CrossRef]
- Ilatikhameneh, H.; Tan, Y.; Novakovic, B.; Klimeck, G.; Rahman, R.; Appenzeller, J. Tunnel field-effect transistors in 2-D transition metal dichalcogenide materials. IEEE J. Explor. Solid-State Comput. Devices Circuits 2015, 1, 12–18. [Google Scholar] [CrossRef]
- Fiori, G.; Iannaccone, G. Simulation of Graphene Nanoribbon Field-Effect Transistors. IEEE Electron Device Lett. 2007, 28, 760–762. [Google Scholar] [CrossRef]
- Yousefi, R.; Saghafi, K.; Moravvej-Farshi, M.K. Numerical Study of Lightly Doped Drain and Source Carbon Nanotube Field Effect Transistors. IEEE Trans. Electron Devices 2010, 57, 765–771. [Google Scholar] [CrossRef]
- Tamersit, K.; Djeffal, F. A novel graphene field-effect transistor for radiation sensing application with improved sensitivity: Proposal and analysis. Nucl. Instrum. Methods Phys. Res. A 2018, 901, 32–39. [Google Scholar] [CrossRef]
- Tamersit, K. New nanoscale band-to-band tunneling junctionless GNRFETs: Potential high-performance devices for the ultrascaled regime. J. Comput. Electron. 2021, 20, 1147–1156. [Google Scholar] [CrossRef]
- Jooq, M.K.; Moaiyeri, M.H.; Tamersit, K. A new design paradigm for auto-nonvolatile ternary SRAMs using ferroelectric CNTFETs: From device to array architecture. IEEE Trans. Electron Devices 2022, 69, 6113. [Google Scholar] [CrossRef]
- Behbahani, F.; Jooq, M.K.; Moaiyeri, M.H.; Tamersit, K. Leveraging Negative Capacitance CNTFETs for Image Processing: An Ultra-Efficient Ternary Image Edge Detection Hardware. IEEE Trans. Circuits Syst. I Regul. Pap. 2021, 68, 5108–5119. [Google Scholar] [CrossRef]
- Jooq, M.K.; Moaiyeri, M.H.; Tamersit, K. Ultra-Compact Ternary Logic Gates Based on Negative Capacitance Carbon Nanotube FETs. IEEE Trans. Circuits Syst. II Express Briefs 2021, 68, 2162–2166. [Google Scholar] [CrossRef]
- Yao, R.; Lv, H.; Zhang, Y.; Chen, X.; Zhang, Y.; Liu, X.; Bai, G. A High-Reliability 12T SRAM Radiation-Hardened Cell for Aerospace Applications. Micromachines 2023, 14, 1305. [Google Scholar] [CrossRef]
- Zhao, Q.; Dong, H.; Wang, X.; Hao, L.; Peng, C.; Lin, Z.; Wu, X. Novel radiation-hardened SRAM for immune soft-error in space-radiation environments. Microelectron. Reliab. 2023, 140, 114862. [Google Scholar] [CrossRef]
- Bendib, T.; Djeffal, F. Electrical Performance Optimization of Nanoscale Double-Gate MOSFETs Using Multiobjective Genetic Algorithms. IEEE Trans. Electron Devices 2011, 58, 3743–3750. [Google Scholar] [CrossRef]
- Kar, A.K. Bio inspired computing—A review of algorithms and scope of applications. Expert Syst. Appl. 2016, 59, 20–32. [Google Scholar] [CrossRef]
- Tamersit, K. Improved Switching Performance of Nanoscale p-i-n Carbon Nanotube Tunneling Field-Effect Transistors Using Metal-Ferroelectric-Metal Gating Approach. ECS J. Solid State Sci. Technol. 2021, 10, 031004. [Google Scholar] [CrossRef]
- Tamersit, K.; Jooq, M.K.; Moaiyeri, M.H. Analog/RF performance assessment of ferroelectric junctionless carbon nanotube FETs: A quantum simulation study. Phys. E Low-Dimens. Syst. Nanostruct. 2021, 134, 114915. [Google Scholar] [CrossRef]
- Zhao, L.; Fang, H.; Wang, J.; Nie, F.; Li, R.; Wang, Y.; Zheng, L. Ferroelectric artificial synapses for high-performance neuromorphic computing: Status, prospects, and challenges. Appl. Phys. Lett. 2024, 124, 30501. [Google Scholar] [CrossRef]
- Yan, A.; Wang, L.; Cui, J.; Huang, Z.; Ni, T.; Girard, P.; Wen, X. Nonvolatile Latch Designs with Node-Upset Tolerance and Recovery Using Magnetic Tunnel Junctions and CMOS. IEEE Trans. Very Large Scale Integr. (VLSI) Syst. 2024, 32, 116–127. [Google Scholar] [CrossRef]
- Yang, W.; Jiang, X.; Tian, X.; Hou, H.; Zhao, Y. Phase-field simulation of nano-α′ precipitates under irradiation and dislocations. J. Mater. Res. Technol. 2023, 22, 1307–1321. [Google Scholar] [CrossRef]
- Zhong, J.; Han, M.; Li, C.; Li, R.; He, H. Facile and scalable fabrication process of electroluminescent filament with high luminescent efficiency. Mater. Lett. 2023, 350, 134868. [Google Scholar] [CrossRef]
- Wang, S.; Zheng, C.; Ma, T.; Wang, T.; Gao, S.; Dai, Q.; Han, Q.; Chu, F. Tooth backlash inspired comb-shaped single-electrode triboelectric nanogenerator for self-powered condition monitoring of gear transmission. Nano Energy 2024, 123, 109429. [Google Scholar] [CrossRef]
- Han, Q.; Ding, Z.; Qin, Z.; Wang, T.; Xu, X.; Chu, F. A triboelectric rolling ball bearing with self-powering and self-sensing capabilities. Nano Energy 2020, 67, 104277. [Google Scholar] [CrossRef]
- Fu, S.; Wu, H.; He, W.; Li, Q.; Shan, C.; Wang, J.; Du, Y.; Du, S.; Huang, Z.; Hu, C. Conversion of Dielectric Surface Effect into Volume Effect for High Output Energy. Adv. Mater. 2023, 35, 2302954. [Google Scholar] [CrossRef] [PubMed]
- Wang, H.; Huang, Z.; Zeng, X.; Li, J.; Zhang, Y.; Hu, Q. Enhanced Anticarbonization and Electrical Performance of Epoxy Resin via Densified Spherical Boron Nitride Networks. ACS Appl. Electron. Mater. 2023, 5, 3726–3732. [Google Scholar] [CrossRef]
- Wang, D.; Wang, X.; Jin, M.L.; He, P.; Zhang, S. Molecular level manipulation of charge density for solid-liquid TENG system by proton irradiation. Nano Energy 2022, 103, 107819. [Google Scholar] [CrossRef]








| Parameter | Symbol | VGD-DLGNR(T)FET | VGD-DLCNT(T)FET | Unit |
|---|---|---|---|---|
| Gate configuration | DG/CG | Double gate | Coaxial gate | - |
| Dimmer number/chirality | n | 13 | (13, 0) | - |
| Gap energy | EG | ~0.86 | ~0.81 | eV |
| Width/diameter | WGNR/dCNT | ~1.47 | ~1 | nm |
| Main Gate length | LMG | 15 | 15 | nm |
| S/D gate length | LS(D)G | 15 | 15 | nm |
| Spacing | LSS(D) | 1 | 1 | nm |
| S/C/D doping (DL) | NS/C/D | 0 | 0 | nm−1 |
| Oxide/vacuum thickness | tOX/tVAC | 1 | 1 | nm |
| Dielectric constant | εVAC | 1 | 1 | - |
| Temperature | T | 300 | 300 | K |
| Gate-to-source voltage | VGS | sweep | sweep | V |
| Source doping gate voltage | VS | 1.6 (−1.6) | 1.6 (−1.6) | V |
| Drain doping gate voltage | VD | 1.6 | 1.6 | V |
| Drain-to-source voltage | VDS | 0.4 | 0.4 | V |
Disclaimer/Publisher’s Note: The statements, opinions and data contained in all publications are solely those of the individual author(s) and contributor(s) and not of MDPI and/or the editor(s). MDPI and/or the editor(s) disclaim responsibility for any injury to people or property resulting from any ideas, methods, instructions or products referred to in the content. |
© 2024 by the authors. Licensee MDPI, Basel, Switzerland. This article is an open access article distributed under the terms and conditions of the Creative Commons Attribution (CC BY) license (https://creativecommons.org/licenses/by/4.0/).
Share and Cite
Tamersit, K.; Kouzou, A.; Rodriguez, J.; Abdelrahem, M. Performance Projection of Vacuum Gate Dielectric Doping-Free Carbon Nanoribbon/Nanotube Field-Effect Transistors for Radiation-Immune Nanoelectronics. Nanomaterials 2024, 14, 962. https://doi.org/10.3390/nano14110962
Tamersit K, Kouzou A, Rodriguez J, Abdelrahem M. Performance Projection of Vacuum Gate Dielectric Doping-Free Carbon Nanoribbon/Nanotube Field-Effect Transistors for Radiation-Immune Nanoelectronics. Nanomaterials. 2024; 14(11):962. https://doi.org/10.3390/nano14110962
Chicago/Turabian StyleTamersit, Khalil, Abdellah Kouzou, José Rodriguez, and Mohamed Abdelrahem. 2024. "Performance Projection of Vacuum Gate Dielectric Doping-Free Carbon Nanoribbon/Nanotube Field-Effect Transistors for Radiation-Immune Nanoelectronics" Nanomaterials 14, no. 11: 962. https://doi.org/10.3390/nano14110962
APA StyleTamersit, K., Kouzou, A., Rodriguez, J., & Abdelrahem, M. (2024). Performance Projection of Vacuum Gate Dielectric Doping-Free Carbon Nanoribbon/Nanotube Field-Effect Transistors for Radiation-Immune Nanoelectronics. Nanomaterials, 14(11), 962. https://doi.org/10.3390/nano14110962
