Carbonized Polydopamine-Based Nanocomposites: The Effect of Transition Metals on the Oxygen Electrocatalytic Activity
Abstract
1. Introduction
2. Materials and Methods
2.1. Materials and Chemicals
2.2. Synthesis of Polydopamine-Based Composites
2.3. Physicochemical Characterization
2.4. Electrochemical Measurements
3. Results and Discussion
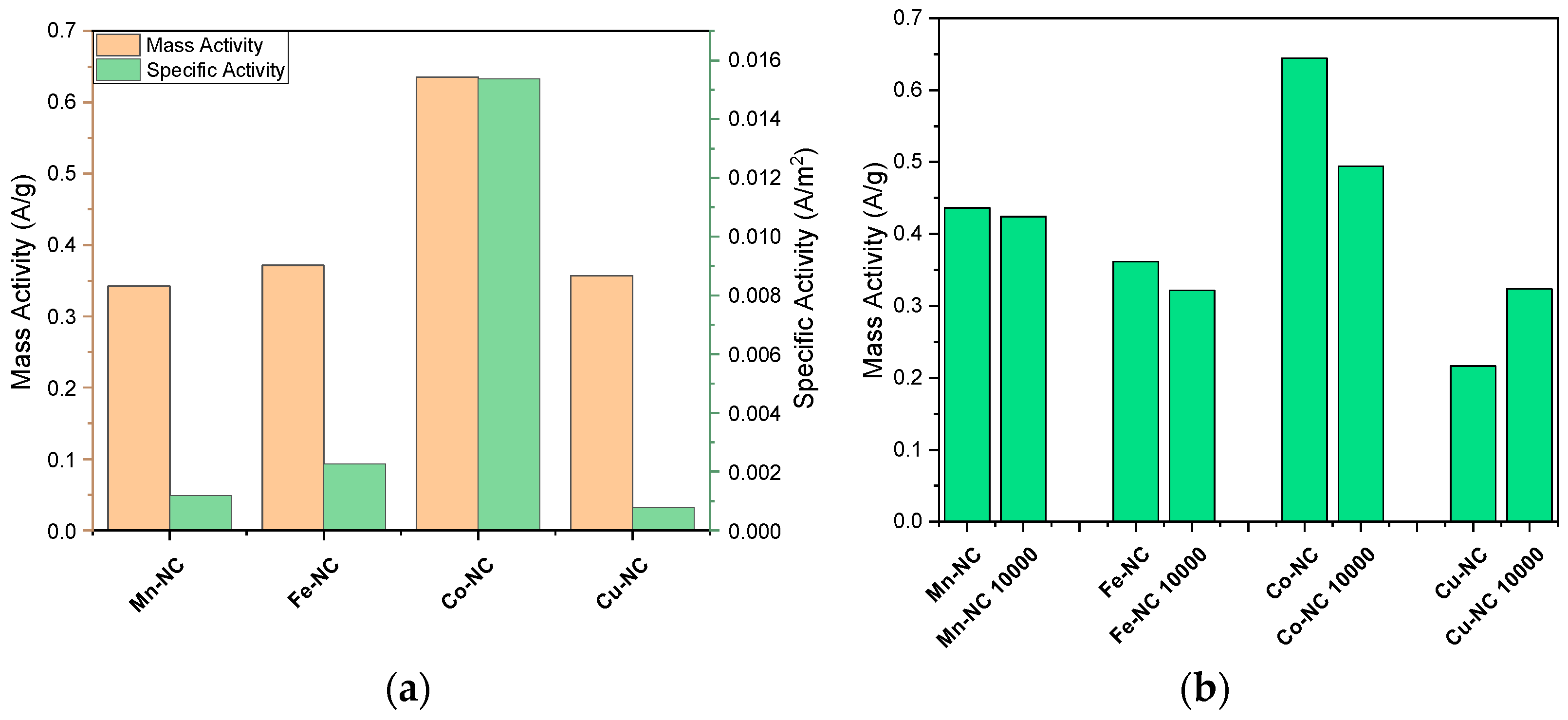
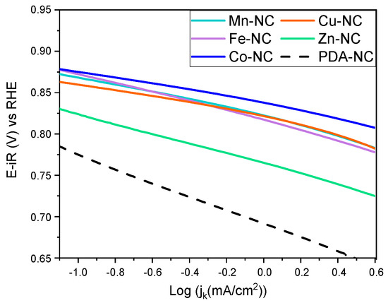
3.1. Bifunctional Activity for ORR and OER
3.2. Structural Characterization of the Composites
3.3. Surface Characterization
4. Conclusions
Supplementary Materials
Author Contributions
Funding
Data Availability Statement
Acknowledgments
Conflicts of Interest
References
- European Commission. A Hydrogen Strategy for a Climate-Neutral Europe; European Commission: Brussels, Belgium, 2020; Available online: https://eur-lex.europa.eu/legal-content/EN/TXT/PDF/?uri=CELEX:52020DC0301 (accessed on 1 March 2023).
- Şen, Z. Innovative methodologies in renewable energy: A review. Int. J. Energy Res. 2019, 43, 5621–5658. [Google Scholar] [CrossRef]
- Wang, Y.; Leung, D.Y.C.; Xuan, J.; Wang, H. A review on unitized regenerative fuel cell technologies, Part-A: Unitized regenerative proton exchange membrane fuel cells. Renew. Sustain. Energy Rev. 2016, 65, 961–977. [Google Scholar] [CrossRef]
- Wang, Y.; Leung, D.Y.C.; Xuan, J.; Wang, H. A review on unitized regenerative fuel cell technologies, Part B: Unitized regenerative alkaline fuel cell, solid oxide fuel cell, and microfluidic fuel cell. Renew. Sustain. Energy Rev. 2017, 75, 775–795. [Google Scholar] [CrossRef]
- Larcher, D.; Tarascon, J.M. Towards greener and more sustainable batteries for electrical energy storage. Nat. Chem. 2015, 7, 19–29. [Google Scholar] [CrossRef] [PubMed]
- Wu, X.; Tang, C.; Cheng, Y.; Min, X.; Jiang, S.P.; Wang, S. Bifunctional catalysts for reversible oxygen evolution reaction and oxygen reduction reaction. Chem. Eur. J. 2020, 26, 3906–3929. [Google Scholar] [CrossRef] [PubMed]
- Luque-Centeno, J.M.; Martínez-Huerta, M.V.; Sebastián, D.; Lemes, G.; Pastor, E.; Lázaro, M.J. Bifunctional N-doped graphene Ti and Co nanocomposites for the oxygen reduction and evolution reactions. Renew. Energy 2018, 125, 182–192. [Google Scholar] [CrossRef]
- Wang, J.; Zhao, C.; Liu, J.; Ren, D.; Ma, X.; Li, B. Composing atomic transition metal sites for high-performance bifunctional oxygen electrocatalysis in rechargeable zinc E air batteries. Particuology 2023, 77, 146–152. [Google Scholar] [CrossRef]
- Wang, Y.-J.; Fang, B.; Wang, X.; Ignaszak, A.; Liu, Y.; Li, A.; Zhang, L.; Zhang, J. Recent advancements in the development of bifunctional electrocatalysts for oxygen electrodes in unitized regenerative fuel cells (URFCs). Prog. Mater. Sci. 2018, 98, 108–167. [Google Scholar] [CrossRef]
- Roca-Ayats, M.; Herreros, E.; García, G.; Peña, M.A.; Martínez-Huerta, M.V. Promotion of oxygen reduction and water oxidation at Pt-based electrocatalysts by titanium carbonitride. Appl. Catal. B Environ. 2016, 183, 53–60. [Google Scholar] [CrossRef]
- Zhao, S.; Yan, L.; Luo, H.; Mustain, W.; Xu, H. Recent progress and perspectives of bifunctional oxygen reduction/evolution catalyst development for regenerative anion exchange membrane fuel cells. Nano Energy 2018, 47, 172–198. [Google Scholar] [CrossRef]
- Beermann, V.; Holtz, M.E.; Padgett, E.; De Araujo, J.F.; Muller, D.A.; Strasser, P. Real-time imaging of activation and degradation of carbon supported octahedral Pt–Ni alloy fuel cell catalysts at the nanoscale using in situ electrochemical liquid cell STEM. Energy Environ. Sci. 2019, 12, 2476–2485. [Google Scholar] [CrossRef]
- Ge, X.; Sumboja, A.; Wuu, D.; An, T.; Li, B.; Goh, F.W.T.; Hor, T.S.A.; Zong, Y.; Liu, Z. Oxygen reduction in alkaline media: From mechanisms to recent advances of catalysts. ACS Catal. 2015, 5, 4643–4667. [Google Scholar] [CrossRef]
- Joshi, P.; Okada, T.; Miyabayashi, K.; Miyake, M. Evaluation of alkylamine modified Pt nanoparticles as oxygen reduction reaction electrocatalyst for fuel cells via electrochemical impedance spectroscopy. Anal. Chem. 2018, 90, 6116–6123. [Google Scholar] [CrossRef]
- Lu, Z.; Wang, B.; Hu, Y.; Liu, W.; Zhao, Y.; Yang, R.; Li, Z.; Luo, J.; Chi, B.; Jiang, Z.; et al. An isolated zinc–cobalt atomic pair for highly active and durable oxygen reduction. Angew. Chemie-Int. Ed. 2019, 58, 2622–2626. [Google Scholar] [CrossRef]
- Aijaz, A.; Masa, J.; Rösler, C.; Xia, W.; Weide, P.; Botz, A.J.R.; Fischer, R.A.; Schuhmann, W.; Muhler, M. Co@Co3O4 encapsulated in carbon nanotube-grafted nitrogen-doped carbon polyhedra as an advanced bifunctional oxygen electrode. Angew. Chemie -Int. Ed. 2016, 55, 4087–4091. [Google Scholar] [CrossRef]
- Xiong, X.; You, C.; Liu, Z.; Asiri, A.M.; Sun, X. Co-doped CuO nanoarray: An efficient oxygen evolution reaction electrocatalyst with enhanced activity. ACS Sustain. Chem. Eng. 2018, 6, 2883–2887. [Google Scholar] [CrossRef]
- Xing, X.; Liu, R.; Anjass, M.; Cao, K.; Kaiser, U.; Zhang, G.; Streb, C. Bimetallic manganese-vanadium functionalized N,S-doped carbon nanotubes as efficient oxygen evolution and oxygen reduction electrocatalysts. Appl. Catal. B Environ. 2020, 277, 119195. [Google Scholar] [CrossRef]
- Luque-Centeno, J.M.; Martínez-Huerta, M.V.; Sebastián, D.; Pérez-Rodríguez, S.; Lázaro, M.J. Titanium dioxide/N-doped graphene composites as non-noble bifunctional oxygen electrocatalysts. Ind. Eng. Chem. Res. 2021, 60, 18817–18830. [Google Scholar] [CrossRef]
- Su, Y.; Zhu, Y.; Jiang, H.; Shen, J.; Yang, X.; Zou, W.; Chen, J.; Li, C. Cobalt nanoparticles embedded in N-doped carbon as an efficient bifunctional electrocatalyst for oxygen reduction and evolution reactions. Nanoscale 2014, 6, 15080–15089. [Google Scholar] [CrossRef]
- Rong, Y.; Huang, S. Self-templating synthesis of N/P/Fe Co-doped 3D porous carbon for oxygen reduction reaction electrocatalysts in alkaline media. Nanomaterials 2022, 12, 2106. [Google Scholar] [CrossRef]
- Wu, G.; Santandreu, A.; Kellogg, W.; Gupta, S.; Ogoke, O.; Zhang, H.; Wang, H.-L.; Dai, L. Carbon nanocomposite catalysts for oxygen reduction and evolution reactions: From nitrogen doping to transition-metal addition. Nano Energy 2016, 29, 83–110. [Google Scholar] [CrossRef]
- Peng, H.; Liu, F.; Liu, X.; Liao, S.; You, C.; Tian, X.; Nan, H.; Luo, F.; Song, H.; Fu, Z.; et al. Effect of transition metals on the structure and performance of the doped carbon catalysts derived from polyaniline and melamine for ORR application. ACS Catal. 2014, 4, 3797–3805. [Google Scholar] [CrossRef]
- Zhang, H.J.; Jiang, Q.Z.; Sun, L.; Yuan, X.; Shao, Z.; Ma, Z.F. 3D Non-precious metal-based electrocatalysts for the oxygen reduction reaction in acid media. Int. J. Hydrogen Energy 2010, 35, 8295–8302. [Google Scholar] [CrossRef]
- Choi, C.H.; Park, S.H.; Woo, S.I. N-doped carbon prepared by pyrolysis of dicyandiamide with various MeCl 2·xH2O (Me=Co, Fe, and Ni) composites: Effect of type and amount of metal seed on oxygen reduction reactions. Appl. Catal. B Environ. 2012, 119–120, 123–131. [Google Scholar] [CrossRef]
- Lee, J.H.; Park, M.J.; Yoo, S.J.; Jang, J.H.; Kim, H.J.; Nam, S.W.; Yoon, C.W.; Kim, J.Y. A highly active and durable Co–N–C electrocatalyst synthesized using exfoliated graphitic carbon nitride nanosheets. Nanoscale 2015, 7, 10334–10339. [Google Scholar] [CrossRef]
- Quílez-Bermejo, J.; Morallón, E.; Cazorla-Amorós, D. Metal-free heteroatom-doped carbon-based catalysts for ORR. A critical assessment about the role of heteroatoms. Carbon N. Y. 2020, 165, 434–454. [Google Scholar] [CrossRef]
- Glibin, V.P.; Dodelet, J.-P. Thermodynamic stability in acid media of FeN 4 -based catalytic sites used for the reaction of oxygen reduction in PEM Fuel cells. J. Electrochem. Soc. 2017, 164, F948–F957. [Google Scholar] [CrossRef]
- Martínez-Huerta, M.V.; Lázaro, M.J. Nanocatalysts for low temperature fuel cells. Energy Procedia 2017, 138, 14–19. [Google Scholar] [CrossRef]
- Lim, S.H.; Li, Z.; Poh, C.K.; Lai, L.; Lin, J. Highly active non-precious metal catalyst based on Poly(Vinylpyrrolidone)-wrapped carbon nanotubes complexed with iron-cobalt metal ions for oxygen reduction reaction. J. Power Sources 2012, 214, 15–20. [Google Scholar] [CrossRef]
- Aghabarari, B.; Luque-Centeno, J.M.; Capel-Sánchez, M.; Lázaro Elorri, M.J.; Martínez-Huerta, M.V. Ni-based composites from chitosan biopolymer a one-step synthesis for oxygen evolution reaction. Catalysts 2019, 9, 471. [Google Scholar] [CrossRef]
- Kong, J.; Ismail Seyed Shahabadi, S.; Lu, X. Integration of inorganic nanostructures with polydopamine-derived carbon: Tunable morphologies and versatile applications. Nanoscale 2016, 8, 1770–1788. [Google Scholar] [CrossRef] [PubMed]
- Ryu, J.H.; Messersmith, P.B.; Lee, H. Polydopamine surface chemistry: A decade of discovery. ACS Appl. Mater. Interfaces 2018, 10, 7523–7540. [Google Scholar] [CrossRef] [PubMed]
- Liu, Y.; Ai, K.; Lu, L. Polydopamine and its derivative materials: Synthesis and promising applications in energy, environmental, and biomedical fields. Chem. Rev. 2014, 114, 5057–5115. [Google Scholar] [CrossRef] [PubMed]
- Lynge, M.E.; Van Der Westen, R.; Postma, A.; Städler, B. Polydopamine—A nature-inspired polymer coating for biomedical science. Nanoscale 2011, 3, 4916–4928. [Google Scholar] [CrossRef]
- Huang, Q.; Chen, J.; Liu, M.; Huang, H.; Zhang, X.; Wei, Y. Polydopamine-Based functional materials and their applications in energy, environmental, and catalytic fields: State-of-the-art review. Chem. Eng. J. 2020, 387, 124019. [Google Scholar] [CrossRef]
- Qu, K.; Wang, Y.; Vasileff, A.; Jiao, Y.; Chen, H.; Zheng, Y. Polydopamine-inspired nanomaterials for energy conversion and storage. J. Mater. Chem. A 2018, 6, 21827–21846. [Google Scholar] [CrossRef]
- Bernsmann, F.; Ball, V.; Addiego, F.; Ponche, A.; Michel, M.; Gracio, J.J.D.A.; Toniazzo, V.; Ruch, D. Dopamine-melanin film deposition depends on the used oxidant and buffer solution. Langmuir 2011, 27, 2819–2825. [Google Scholar] [CrossRef]
- Salomäki, M.; Ouvinen, T.; Marttila, L.; Kivelä, H.; Leiro, J.; Mäkilä, E.; Lukkari, J. Polydopamine nanoparticles prepared using redox-active transition metals. J. Phys. Chem. B 2019, 123, 2513–2524. [Google Scholar] [CrossRef]
- Gebrehiwet Abrham, G.; Martínez-Huerta, M.V.; Sebastián, D.; Lázaro, M.J. Transformation of CoFe2O4 spinel structure into active and robust CoFe Alloy/N-doped carbon electrocatalyst for oxygen evolution reaction. J. Colloid Interface Sci. 2022, 625, 70–82. [Google Scholar] [CrossRef]
- Salomäki, M.; Marttila, L.; Kivelä, H.; Ouvinen, T.; Lukkari, J. Effects of PH and oxidants on the first steps of polydopamine formation: A thermodynamic approach. J. Phys. Chem. B 2018, 122, 6314–6327. [Google Scholar] [CrossRef]
- Ball, V.; Gracio, J.; Vila, M.; Singh, M.K.; Metz-Boutigue, M.H.; Michel, M.; Bour, J.; Toniazzo, V.; Ruch, D.; Buehler, M.J. Comparison of synthetic dopamine-eumelanin formed in the presence of oxygen and Cu2+ cations as oxidants. Langmuir 2013, 29, 12754–12761. [Google Scholar] [CrossRef]
- McCrory, C.C.L.; Jung, S.; Peters, J.C.; Jaramillo, T.F. Benchmarking heterogeneous electrocatalysts for the oxygen evolution reaction. J. Am. Chem. Soc. 2013, 135, 16977–16987. [Google Scholar] [CrossRef]
- Li, G.; Anderson, L.; Chen, Y.; Pan, M.; Abel Chuang, P.Y. New insights into evaluating catalyst activity and stability for oxygen evolution reactions in alkaline media. Sustain. Energy Fuels 2018, 2, 237–251. [Google Scholar] [CrossRef]
- Shinagawa, T.; Garcia-Esparza, A.T.; Takanabe, K. Insight on Tafel slopes from a microkinetic analysis of aqueous electrocatalysis for energy conversion. Sci. Rep. 2015, 5, 13801. [Google Scholar] [CrossRef]
- Gebreslase, G.A.; Sebastián, D.; Martínez-Huerta, M.V.; Lázaro, M.J. Nitrogen-doped carbon decorated-Ni3Fe@Fe3O4 electrocatalyst with enhanced oxygen evolution reaction performance. J. Electroanal. Chem. 2022, 925, 116887. [Google Scholar] [CrossRef]
- Li, G.; Chuang, P.Y.A. Identifying the forefront of electrocatalytic oxygen evolution reaction: Electronic double layer. Appl. Catal. B Environ. 2018, 239, 425–432. [Google Scholar] [CrossRef]
- Kapałka, A.; Fóti, G.; Comninellis, C. Determination of the tafel slope for oxygen evolution on boron-doped diamond electrodes. Electrochem. Commun. 2008, 10, 607–610. [Google Scholar] [CrossRef]
- Doyle, R.L.; Godwin, I.J.; Brandon, M.P.; Lyons, M.E.G. Redox and electrochemical water splitting catalytic properties of hydrated metal oxide modified electrodes. Phys. Chem. Chem. Phys. 2013, 15, 13737–13783. [Google Scholar] [CrossRef]
- Parnell, C.M.; Chhetri, B.; Brandt, A.; Watanabe, F.; Nima, Z.A.; Mudalige, T.K.; Biris, A.S.; Ghosh, A. Polydopamine-coated manganese complex/graphene nanocomposite for enhanced electrocatalytic activity towards oxygen reduction. Sci. Rep. 2016, 6, 31415. [Google Scholar] [CrossRef]
- Han, X.; Tang, F.; Jin, Z. Free-standing polydopamine films generated in the presence of different metallic ions: The comparison of reaction process and film properties. RSC Adv. 2018, 8, 18347–18354. [Google Scholar] [CrossRef]
- Tang, J.; Liu, J.; Li, C.; Li, Y.; Tade, M.O.; Dai, S.; Yamauchi, Y. Synthesis of nitrogen-doped mesoporous carbon spheres with extra-large pores through assembly of diblock copolymer micelles. Angew. Chemie Int. Ed. 2014, 54, 588–593. [Google Scholar] [CrossRef]
- Tang, F.; Liu, L.; Wang, H.; Gao, X.; Jin, Z. The combination of metal-organic frameworks and polydopamine nanotubes aiming for efficient one-dimensional oxygen reduction electrocatalyst. J. Colloid Interface Sci. 2019, 552, 351–358. [Google Scholar] [CrossRef]
- Shi, Q.; Ma, Y.; Qin, L.; Tang, B.; Yang, W.; Liu, Q. Metal-free hybrid of nitrogen-doped Nanocarbon@Carbon networks for highly efficient oxygen reduction electrocatalyst. ChemElectroChem 2019, 6, 2924–2930. [Google Scholar] [CrossRef]
- Sheng, Z.-H.; Shao, L.; Chen, J.-J.; Bao, W.-J.; Wang, F.-B.; Xia, X.-H. Catalyst-free synthesis of nitrogen-doped graphene via thermal annealing graphite oxide with melamine and its excellent electrocatalysis. ACS Nano 2011, 5, 4350–4358. [Google Scholar] [CrossRef] [PubMed]
- Kodali, M.; Santoro, C.; Serov, A.; Kabir, S.; Artyushkova, K.; Matanovic, I.; Atanassov, P. Air breathing cathodes for microbial fuel cell using Mn-, Fe-, Co- and Ni-containing platinum group metal-free catalysts. Electrochim. Acta 2017, 231, 115–124. [Google Scholar] [CrossRef] [PubMed]
- Artyushkova, K. Misconceptions in interpretation of nitrogen chemistry from X-ray photoelectron spectra. J. Vac. Sci. Technol. A 2020, 38, 031002. [Google Scholar] [CrossRef]
- Artyushkova, K.; Serov, A.; Rojas-Carbonell, S.; Atanassov, P. Chemistry of multitudinous active sites for oxygen reduction reaction in transition metal−nitrogen−carbon electrocatalysts. J. Phys. Chem. C 2015, 119, 25917–25928. [Google Scholar] [CrossRef]
- Su, H.Y.; Gorlin, Y.; Man, I.C.; Calle-Vallejo, F.; Norskov, J.K.; Jaramillo, T.F.; Rossmeisl, J. Identifying active surface phases for metal oxide electrocatalysts: A study of manganese oxide Bi-functional catalysts for oxygen reduction and water oxidation catalysis. Phys. Chem. Chem. Phys. 2012, 14, 14010–14022. [Google Scholar] [CrossRef]
- Li, X.; Wang, C.; Xue, H.; Pang, H.; Xu, Q. Electrocatalysts optimized with nitrogen coordination for high-performance oxygen evolution reaction. Coord. Chem. Rev. 2020, 422, 213468. [Google Scholar] [CrossRef]
- Li, Z.; Cheng, H.; Lu, Y.; Wang, T.; Li, Y.; Zhang, W.; He, G.; Tian, Z. Potent charge-trapping for boosted electrocatalytic oxygen reduction. Adv. Energy Mater. 2023, 2203963. [Google Scholar] [CrossRef]
- Huang, G.; Xiao, Z.; Chen, R.; Wang, S. Defect engineering of cobalt-based materials for electrocatalytic water splitting. ACS Sustain. Chem. Eng. 2018, 6, 15954–15969. [Google Scholar] [CrossRef]
















| Catalyst | Eonset (V vs. RHE) at 0.1 mA·cm−2 | E1/2 (V vs. RHE) | Jlim (mA·cm−2) at 0.4 V vs. RHE | n (e−) | Jk (mA·cm−2) at 0.79 V vs. RHE | Tafel Slope (mV·dec−1) | % H2O2 (at 0.4 V vs. RHE) | ECSA (m2·g−1) |
|---|---|---|---|---|---|---|---|---|
| Ti-NC | 0.79 | 0.66 | 2.3 | 2.5 | 0.1 | 111 | 33 | 204 |
| Mn-NC | 0.86 | 0.76 | 3.9 | 3.0 | 1.5 | 53 | 8 | 288 |
| Fe-NC | 0.87 | 0.77 | 3.6 | 3.7 | 1.3 | 59 | 15 | 164 |
| Co-NC | 0.87 | 0.79 | 3.6 | 3.4 | 2.7 | 43 | 10 | 41 |
| Ni-NC | 0.80 | 0.72 | 2.5 | 2.6 | 0.17 | 59 | 30 | 52 |
| Cu-NC | 0.86 | 0.76 | 4.3 | 3.5 | 1.8 | 42 | 12 | 464 |
| Zn-NC | 0.82 | 0.67 | 4.3 | 3.2 | 0.25 | 61 | 16 | 222 |
| PDA-NC | 0.77 | 0.65 | 2.8 | 3.3 | 0.11 | 82 | 26 | 52 |
| Catalyst | BET-Specific Surface Area (m2·g−1) | Micropore Area (m2·g−1) | External Area (m2·g−1) | Surface Metal (wt.%) | Surface Nitrogen (wt.%) |
|---|---|---|---|---|---|
| Ti-NC | 387 | 291 | 96 | 21 | 2.0 |
| Mn-NC | 247 | 123 | 124 | 7.3 | 4.2 |
| Fe-NC | 447 | 207 | 240 | 1.5 | 2.5 |
| Co-NC | 308 | 165 | 143 | 1.4 | 1.5 |
| Ni-NC | 170 | 94 | 76 | 2.7 | 2.0 |
| Cu-NC | 216 | 129 | 87 | 2.9 | 8.6 |
| Zn-NC | 714 | 665 | 49 | 1.9 | 3.7 |
| PDA-NC | 151 | 150 | 1 | - | 6.4 |
Disclaimer/Publisher’s Note: The statements, opinions and data contained in all publications are solely those of the individual author(s) and contributor(s) and not of MDPI and/or the editor(s). MDPI and/or the editor(s) disclaim responsibility for any injury to people or property resulting from any ideas, methods, instructions or products referred to in the content. |
© 2023 by the authors. Licensee MDPI, Basel, Switzerland. This article is an open access article distributed under the terms and conditions of the Creative Commons Attribution (CC BY) license (https://creativecommons.org/licenses/by/4.0/).
Share and Cite
Cebollada, J.; Sebastián, D.; Lázaro, M.J.; Martínez-Huerta, M.V. Carbonized Polydopamine-Based Nanocomposites: The Effect of Transition Metals on the Oxygen Electrocatalytic Activity. Nanomaterials 2023, 13, 1549. https://doi.org/10.3390/nano13091549
Cebollada J, Sebastián D, Lázaro MJ, Martínez-Huerta MV. Carbonized Polydopamine-Based Nanocomposites: The Effect of Transition Metals on the Oxygen Electrocatalytic Activity. Nanomaterials. 2023; 13(9):1549. https://doi.org/10.3390/nano13091549
Chicago/Turabian StyleCebollada, Jesús, David Sebastián, María Jesús Lázaro, and Maria Victoria Martínez-Huerta. 2023. "Carbonized Polydopamine-Based Nanocomposites: The Effect of Transition Metals on the Oxygen Electrocatalytic Activity" Nanomaterials 13, no. 9: 1549. https://doi.org/10.3390/nano13091549
APA StyleCebollada, J., Sebastián, D., Lázaro, M. J., & Martínez-Huerta, M. V. (2023). Carbonized Polydopamine-Based Nanocomposites: The Effect of Transition Metals on the Oxygen Electrocatalytic Activity. Nanomaterials, 13(9), 1549. https://doi.org/10.3390/nano13091549

