Static and Dynamic Magnetic Properties of Fe3O4 Nanotubes
Abstract
1. Introduction
2. Micromagnetic Simulations
3. Results and Discussion
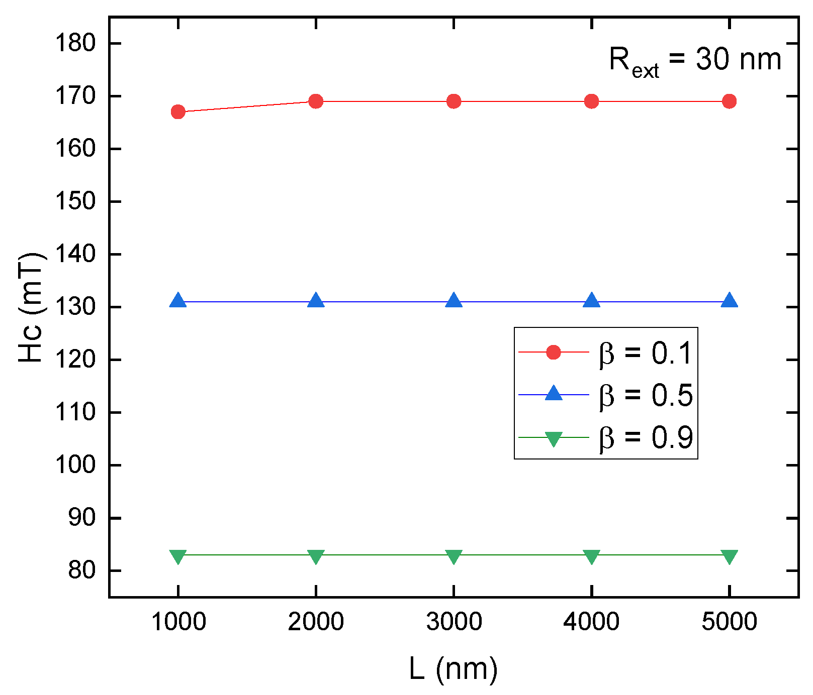
3.1. Static Magnetic Properties
3.2. Dynamic Magnetic Properties
4. Conclusions
Author Contributions
Funding
Institutional Review Board Statement
Informed Consent Statement
Data Availability Statement
Conflicts of Interest
Appendix A





References
- Nikman, M.; Chowdhury, M.F.F.; Rajib, M.M.; Misba, W.A.; Schwartz, R.N.; Wang, K.L.; Atulasimha, J.; Bouchard, L.S. Quantum control of spin qubits using nanomagnets. Commun. Phys. 2022, 5, 284. [Google Scholar]
- Nguyen, M.D.; Tran, H.V.; Xu, S.; Lee, T.R. Fe3O4 nanoparticles: Structures, synthesis, magnetic properties, Surface functionalization, and emerging applications. Appl. Sci. 2021, 11, 11301. [Google Scholar] [CrossRef] [PubMed]
- Ye, Y.; Geng, B. Magnetic nanotubes: Synthesis, properties, and applications. Crit. Rev. Solid State Mater. Sci. 2012, 37, 75. [Google Scholar] [CrossRef]
- Yan, M.; Andreas, C.; Kakay, A.; García-Sánchez, F.; Hertel, R. Fast domain wall dynamics in magnetic nanotubes: Suppression of Walker breakdown and Cherenkov-like spin wave emission. Appl. Phys. Lett. 2011, 99, 122505. [Google Scholar] [CrossRef]
- Bao, B.; Yang, M.; Yan, M. Asymmetric motion of magnetic skyrmions in ferromagnetic nanotubes induced by a magnetic field. Symmetry 2022, 14, 1195. [Google Scholar] [CrossRef]
- Yang, J.; Kim, J.; Abert, C.; Suess, D.; Kim, S.K. Stability of skyrmion formation and its abnormal dynamic modes in magnetic nanotubes. Phys. Rev. B 2020, 102, 094439. [Google Scholar] [CrossRef]
- Rojas-Nunez, J.; Valencia, F.; Gonzalez, R.I.; Bringa, E.M.; Allende, S.; Palma, J.L.; Pereira, A.; Escrig, J.; Baltazar, S.E. Mechanical performance of lightweight polycrystalline Ni nanotubes. Comput. Mater. Sci. 2019, 168, 81. [Google Scholar] [CrossRef]
- Han, X.F.; Shamaila, S.; Sharif, R.; Chen, J.Y.; Liu, H.R.; Liu, D.P. Structural and magnetic properties of various ferromagnetic nanotubes. Adv. Mater. 2009, 21, 4619. [Google Scholar] [CrossRef]
- Xu, Y.; Xue, D.S.; Fu, J.L.; Gao, D.Q.; Gao, B. Synthesis, characterization and magnetic properties of Fe nanotubes. J. Phys. D Appl. Phys. 2008, 41, 215010. [Google Scholar] [CrossRef]
- Wang, Q.; Geng, B.; Wang, S.; Ye, Y.; Tao, B. Modified kirkendall effect for fabrication of magnetic nanotubes. Chem. Commun. 2010, 46, 1899. [Google Scholar] [CrossRef]
- Wang, J.; Ma, Y.; Watanabe, K. Magnetic-field-induced synthesis of magnetic γ-Fe2O3 nanotubes. Chem. Mater. 2008, 20, 20. [Google Scholar] [CrossRef]
- Lv, B.; Xu, Y.; Wu, D.; Sun, Y. Preparation an properties of magnetic iron oxide nanotubes. Particuology 2008, 6, 334. [Google Scholar] [CrossRef]
- Sui, Y.C.; Skomski, R.; Sorge, K.D.; Sellmyer, D.J. Magnetic nanotubes produced by hydrogen reduction. J. Appl. Phys. 2004, 95, 7151. [Google Scholar] [CrossRef]
- Son, S.J.; Reichel, J.; He, B.; Schuchman, M.; Lee, S.B. Magnetic nanotubes for magnetic-field-assisted bioseparation, biointeraction, and drug delivery. J. Am. Chem. Soc. 2005, 127, 7316. [Google Scholar] [CrossRef]
- Wang, T.; Wang, Y.; Li, F.; Xu, C.; Zhou, D. Morphology and magnetic behaviour of an Fe3O4 nanotube array. J. Phys. Condens. Matter 2006, 18, 10545. [Google Scholar] [CrossRef]
- Escrig, J.; Bachmann, J.; Jing, J.; Daub, M.; Altbir, D.; Nielsch, K. Crossover between two different magnetization reversal modes in arrays of iron oxide nanotubes. Phys. Rev. B 2008, 77, 214421. [Google Scholar] [CrossRef]
- Bachmann, J.; Escrig, J.; Pitzschel, K.; Montero Moreno, J.M.; Jing, J.; Gorlitz, D.; Nielsch, K. Size effects in ordered arrays of magnetic nanotubes. J. Appl. Phys. 2009, 105, 07B521. [Google Scholar] [CrossRef]
- Wang, X.; Pan, F.; Xiang, Z.; Jia, W.; Lu, W. Magnetic Fe3O4@PVP nanotubes with high heating efficiency for MRI-guided magnetic hyperthermia applications. Mater. Lett. 2020, 262, 127187. [Google Scholar] [CrossRef]
- Xu, Y.; Liang, Y.; Jiang, L.; Wu, H.; Zhao, H.; Xue, D. Preparation and magnetic properties of ZnFe2O4 nanotubes. J. Nanomater. 2011, 2011, 525967. [Google Scholar] [CrossRef]
- Gao, H.; Gao, D.; Zhang, J.; Yang, G.; Zhang, J.; Shi, Z.; Xue, D. Synthesis and magnetic properties of CuFe2O4 nanotube arrays. J. Wuhan Univ. Technol. Mater. Sci. Ed. 2012, 27, 550. [Google Scholar] [CrossRef]
- Escrig, J.; Daub, M.; Landeros, P.; Nielsch, K.; Altbir, D. Angular dependence of coercivity in magnetic nanotubes. Nanotechnology 2007, 18, 445706. [Google Scholar] [CrossRef]
- Tao, F.F.; Xu, Z. Effective synthesis of magnetic metal nickel nanotubes. Acta Phys. Chim. Sin. 2009, 25, 977. [Google Scholar]
- Proenca, M.P.; Sousa, C.T.; Ventura, J.; Araujo, J.P.; Escrig, J.; Vázquez, M. Crossover between magnetic reversal modes in ordered Ni and Co nanotube arrays. Spin 2012, 2, 1250014. [Google Scholar] [CrossRef]
- Li, F.; Song, L.; Zhou, D.; Wang, T.; Wang, Y.; Wang, H. Fabrication and magnetic properties of NiFe2O4 nanocrystalline nanotubes. J. Mater. Sci. 2007, 42, 7214. [Google Scholar] [CrossRef]
- Giordano, M.C.; Hamdi, M.; Mucchietto, A.; Grundler, D. Confined spin waves in magnetochiral nanotubes with axial and circumferential magnetization. Phys. Rev. Mater. 2023, 7, 024405. [Google Scholar] [CrossRef]
- Sharif, R.; Shamaila, S.; Ma, M.; Yao, L.D.; Yu, R.C.; Han, X.F.; Khaleeq-ur-Rahman, M. Magnetic switching of ferromagnetic nanotubes. Appl. Phys. Lett. 2008, 92, 032505. [Google Scholar] [CrossRef]
- Shen, X.P.; Miao, H.J.; Zhao, H.; Xu, Z. Synthesis, characterization and magnetic properties of Co3O4 nanotubes. Appl. Phys. A 2008, 91, 47. [Google Scholar] [CrossRef]
- Pitzschel, K.; Montero Moreno, J.M.; Escrig, J.; Albrecht, O.; Nielsch, K.; Bachmann, J. Controlled introduction of diameter modulations in arrayed magnetic iron oxide nanotubes. ACS Nano 2009, 3, 3463. [Google Scholar] [CrossRef] [PubMed]
- Leighton, B.; Suarez, O.J.; Landeros, P.; Escrig, J. Magnetic pase diagrams of barcode-type nanostructures. Nanotechnology 2009, 20, 385703. [Google Scholar] [CrossRef]
- Zhu, C.L.; Zhang, M.L.; Qiao, Y.J.; Zhang, F.; Chen, Y.J. Fe3O4/TiO2 core/shell nanotubes: Synthesis and magnetic and electromagnetic wave absorption characterics. J. Phys. Chem. C 2010, 114, 16229. [Google Scholar] [CrossRef]
- Pitzschel, K.; Bachmann, J.; Montero Moreno, J.M.; Escrig, J.; Gorlitz, D.; Nielsch, K. Reversal modes and magnetostatic interactions in Fe3O4/ZrO2/Fe3O4 multilayer nanotubes. Nanotechnology 2012, 23, 495718. [Google Scholar] [CrossRef]
- Shumskaya, A.; Korolkov, I.; Rogachev, A.; Ignatovich, Z.; Kozlovskiy, A.; Zdorovets, M.; Anisovich, M.; Bashouti, M.; Shalabny, A.; Busool, R.; et al. Synthesis of Ni@Au core-shell magnetic nanotubes for bioapplication and SERS detection. Colloids Surf. A Physicochem. Eng. Asp. 2021, 626, 127077. [Google Scholar] [CrossRef]
- Pereira, A.; Escrig, J.; Palma, J.L.; López de Dicastillo, C.; Patiño, C.; Galotto, M.J. Magnetic nanotubes obtained from atomic layer deposition coated electrospun nanofibers. J. Vac. Sci. Technol. B 2018, 36, 061803. [Google Scholar] [CrossRef]
- Chen, A.P.; Usov, N.A.; Blanco, J.M.; González, J. Equilibrium magnetization states in magnetic nanotubes and their evolution in external magnetic field. J. Magn. Magn. Mater. 2007, 316, e317–e319. [Google Scholar] [CrossRef]
- Lee, J.; Suess, D.; Schrefl, T.; Oh, K.H.; Fidler, J. Magnetic characteristics of ferromagnetic nanotube. J. Magn. Magn. Mater. 2007, 310, 2445. [Google Scholar] [CrossRef]
- Escrig, J.; Landeros, P.; Altbir, D.; Vogel, E.E.; Vargas, P. Phase diagrams of magnetic nanotubes. J. Magn. Magn. Mater. 2007, 308, 233. [Google Scholar] [CrossRef]
- Chen, A.P.; Guslienko, K.Y.; Gonzalez, J. Magnetization configurations and reversal of thin magnetic nanotubes with uniaxial anisotropy. J. Appl. Phys. 2010, 108, 083920. [Google Scholar] [CrossRef]
- Chen, A.P.; Gonzalez, J.M.; Guslienko, K.Y. Magnetization configurations and reversal of magnetic nanotubes with opposite chiralities of the end domains. J. Appl. Phys. 2011, 109, 073923. [Google Scholar] [CrossRef]
- Landeros, P.; Allende, S.; Escrig, J.; Salcedo, E.; Altbir, D.; Vogel, E.E. Reversal modes in magnetic nanotubes. Appl. Phys. Lett. 2007, 90, 102501. [Google Scholar] [CrossRef]
- Landeros, P.; Núñez, A. Domain wall motion on magnetic nanotubes. J. Appl. Phys. 2010, 108, 033917. [Google Scholar] [CrossRef]
- Albrecht, O.; Zierold, R.; Allende, S.; Escrig, J.; Patzig, C.; Rauschenbach, B.; Nielsch, K.; Gorlitz, D. Experimental evidence for an angular dependent transition of magnetization reversal modes in magnetic nanotubes. J. Appl. Phys. 2011, 109, 093910. [Google Scholar] [CrossRef]
- Arciniegas Jaimes, D.M.; Raviolo, S.; Carballo, J.M.; Bajales, N.; Escrig, J. Wave reversion mode stability as a function of diameter and wall thickness for permaloy and nickel nanotubes. J. Magn. Magn. Mater. 2021, 523, 167578. [Google Scholar] [CrossRef]
- Raviolo, S.; Arciniegas Jaimes, D.M.; Bajales, N.; Escrig, J. Wave reversal mode: A new magnetization reversal mechanism in magnetic nanotubes. J. Magn. Magn. Mater. 2020, 497, 165944. [Google Scholar] [CrossRef]
- Escrig, J.; Allende, S.; Altbir, D.; Bahiana, M. Magnetostatic interactions between magnetic nanotubes. Appl. Phys. Lett. 2008, 93, 023101. [Google Scholar] [CrossRef]
- Suarez, O.J.; Vargas, P.; Vogel, E.E. Energy and force between two magnetic nanotubes. J. Magn. Magn. Mater. 2009, 321, 3658. [Google Scholar] [CrossRef]
- Landeros, P.; Guzmán, P.R.; Soto-Garrido, R.; Escrig, J. Magnetostatic fields in tubular nanostructures. J. Phys. D Appl. Phys. 2009, 42, 225002. [Google Scholar] [CrossRef]
- Morales-Concha, C.; Ossandón, M.; Pereira, A.; Altbir, D.; Escrig, J. General approach to the magnetostatic forcé and interaction between cylindrically shaped nanoparticles. J. Appl. Phys. 2012, 111, 07D131. [Google Scholar] [CrossRef]
- González, A.L.; Landeros, P.; Núñez, A.S. Spin wave spectrum of magnetic nanotubes. J. Magn. Magn. Mater. 2010, 322, 530. [Google Scholar] [CrossRef]
- Zhang, R.; Wang, L.; Xu, C.; Liang, C.; Liu, X.; Zhang, X.; Che, R. Vortex tuning magnetization configurations in porous Fe3O4 nanotube with wide microwave absorption frequency. Nano Res. 2022, 15, 6743. [Google Scholar] [CrossRef]
- Salazar-Cardona, M.M.; Korber, L.; Schultheiss, H.; Lenz, K.; Thomas, A.; Nielsch, K.; Kakay, A.; Otálora, J.A. Nonreciprocity of spin waves in magnetic nanotubes with helical equilibrium magnetization. Appl. Phys. Lett. 2021, 118, 262411. [Google Scholar] [CrossRef]
- Saavedra, E.; Castillo-Sepúlveda, S.; Corona, R.M.; Altbir, D.; Escrig, J.; Carvahlo-Santos, V.L. Influence of curvature on the dynamical susceptibility of bent nanotubes. Results Phys. 2022, 35, 105290. [Google Scholar] [CrossRef]
- Saavedra, E.; Vidal-Silva, N.; Escrig, J. Dynamic susceptibility of permaloy wire-tube nanostructures. Results Phys. 2021, 31, 104874. [Google Scholar] [CrossRef]
- Su, X.; Liu, Y.; Liao, Z.; Bi, Y.; Chen, Y.; Ma, Y.; Chung, K.L.; Wan, F.; Ma, M. A review of 1D magnetic nanomaterials in microwave absorption. J. Mater. Sci. 2023, 58, 636. [Google Scholar] [CrossRef]
- Vansteenkiste, A.; Leliaert, J.; Dvornik, M.; Helsen, M.; García-Sánchez, F.; Van Waeyenberge, B. The design and verification of MuMax3. AIP Adv. 2014, 4, 107133. [Google Scholar] [CrossRef]
- Gilbert, T.L. A phenomenological theory of damping in ferromagnetic materials. IEEE Trans. Magn. 2004, 40, 3443. [Google Scholar] [CrossRef]
- Kolhatkar, A.G.; Jamison, A.C.; Litvinov, D.; Willson, R.C.; Lee, T.R. Tuning the magnetic properties of nanoparticles. Int. J. Mol. Sci. 2013, 14, 15977. [Google Scholar] [CrossRef]
- Xiang, H.; Jiang, D.M.; Yao, J.C.; Zheng, Y.P.; Lu, W.; Li, G.Q.; Saito, H.; Ishio, S.; Tan, X.W.; Lin, Y.Q. Micromagnetic simulations of magnetization reversal of iron nanowire. J. Phys. Conf. Ser. 2011, 266, 012022. [Google Scholar] [CrossRef]
- Ruiz-Gomez, S.; Pérez, L.; Mascaraque, A.; Quesada, A.; Prieto, P.; Palacio, I.; Martín-García, L.; Foerster, M.; Aballe, L.; de la Figuera, J. Geometrically defined spin structures in ultrathin Fe3O4 with bulk like magnetic properties. Nanoscale 2018, 10, 5566. [Google Scholar] [CrossRef]
- Dao, N.; Donahue, M.J.; Dumitru, I.; Spinu, L.; Whittenburg, S.L.; Lodder, J.C. Dynamic susceptibility of nanopillars. Nanotechnology 2004, 15, S634. [Google Scholar] [CrossRef]
- Chen, W.B.; Han, M.G.; Zhou, H.; Yu, O.; Deng, L.G. Micromagnetic simulation on the dynamic susceptibility spectra of cobalt nanowires arrays: The effect of magnetostatic interaction. Chin. Phys. B 2010, 19, 087502. [Google Scholar]
- Lupo, P.; Kumar, D.; Adeyeye, A.O. Size dependence of spin-wave modes in Ni80Fe20 nanodiks. AIP Adv. 2015, 5, 077179. [Google Scholar] [CrossRef]
- Dobrovolskiy, O.V.; Bunyaev, S.A.; Vovk, N.R.; Navas, D.; Gruszecki, P.; Krawczyk, M.; Sachser, R.; Huth, M.; Chumak, A.V.; Guslienko, K.Y.; et al. Spin-wave spectroscopy of individual ferromagnetic nanodisks. Nanoscale 2020, 12, 21207. [Google Scholar] [CrossRef] [PubMed]
- Yang, J.; Kim, J.; Kim, B.; Cho, Y.J.; Lee, J.H.; Kim, S.K. Vortex-chirality-dependent standing spin-wave modes in soft magnetic nanotubes. J. Appl. Phys. 2018, 123, 033901. [Google Scholar] [CrossRef]






Disclaimer/Publisher’s Note: The statements, opinions and data contained in all publications are solely those of the individual author(s) and contributor(s) and not of MDPI and/or the editor(s). MDPI and/or the editor(s) disclaim responsibility for any injury to people or property resulting from any ideas, methods, instructions or products referred to in the content. |
© 2023 by the authors. Licensee MDPI, Basel, Switzerland. This article is an open access article distributed under the terms and conditions of the Creative Commons Attribution (CC BY) license (https://creativecommons.org/licenses/by/4.0/).
Share and Cite
Olea de la Hoz, F.; Saavedra, E.; Pereira, A.; Escrig, J. Static and Dynamic Magnetic Properties of Fe3O4 Nanotubes. Nanomaterials 2023, 13, 1265. https://doi.org/10.3390/nano13071265
Olea de la Hoz F, Saavedra E, Pereira A, Escrig J. Static and Dynamic Magnetic Properties of Fe3O4 Nanotubes. Nanomaterials. 2023; 13(7):1265. https://doi.org/10.3390/nano13071265
Chicago/Turabian StyleOlea de la Hoz, Francisco, Eduardo Saavedra, Alejandro Pereira, and Juan Escrig. 2023. "Static and Dynamic Magnetic Properties of Fe3O4 Nanotubes" Nanomaterials 13, no. 7: 1265. https://doi.org/10.3390/nano13071265
APA StyleOlea de la Hoz, F., Saavedra, E., Pereira, A., & Escrig, J. (2023). Static and Dynamic Magnetic Properties of Fe3O4 Nanotubes. Nanomaterials, 13(7), 1265. https://doi.org/10.3390/nano13071265

